重庆2020届一诊已然落下帷幕。
他们说世界越来越无常,就连雨水也跟着受伤。
与往年一样,心花怒放有之,喜极而泣有之,欣喜若狂有之,潸然泪下有之,悲痛欲绝有之。
有人实绩在手,自然也就有人,无论转发了多少独角兽,仍卡在某个关口。
题嘛,我是看了的,没有传言的那么恐怖。
无论考成什么样子,一觉醒来,心远地自宽。
你是说不要太在意成绩?
不,我是说,今天是腊月二十三。
所以呢?
一碗清汤诗一篇,灶君今日上青天。
双曲线的中点弦,题意明确,表述简洁,没有为难你的意思。
如果说本题还有难度,那么一定是难在了计算上。
计算不牢,地动山摇。
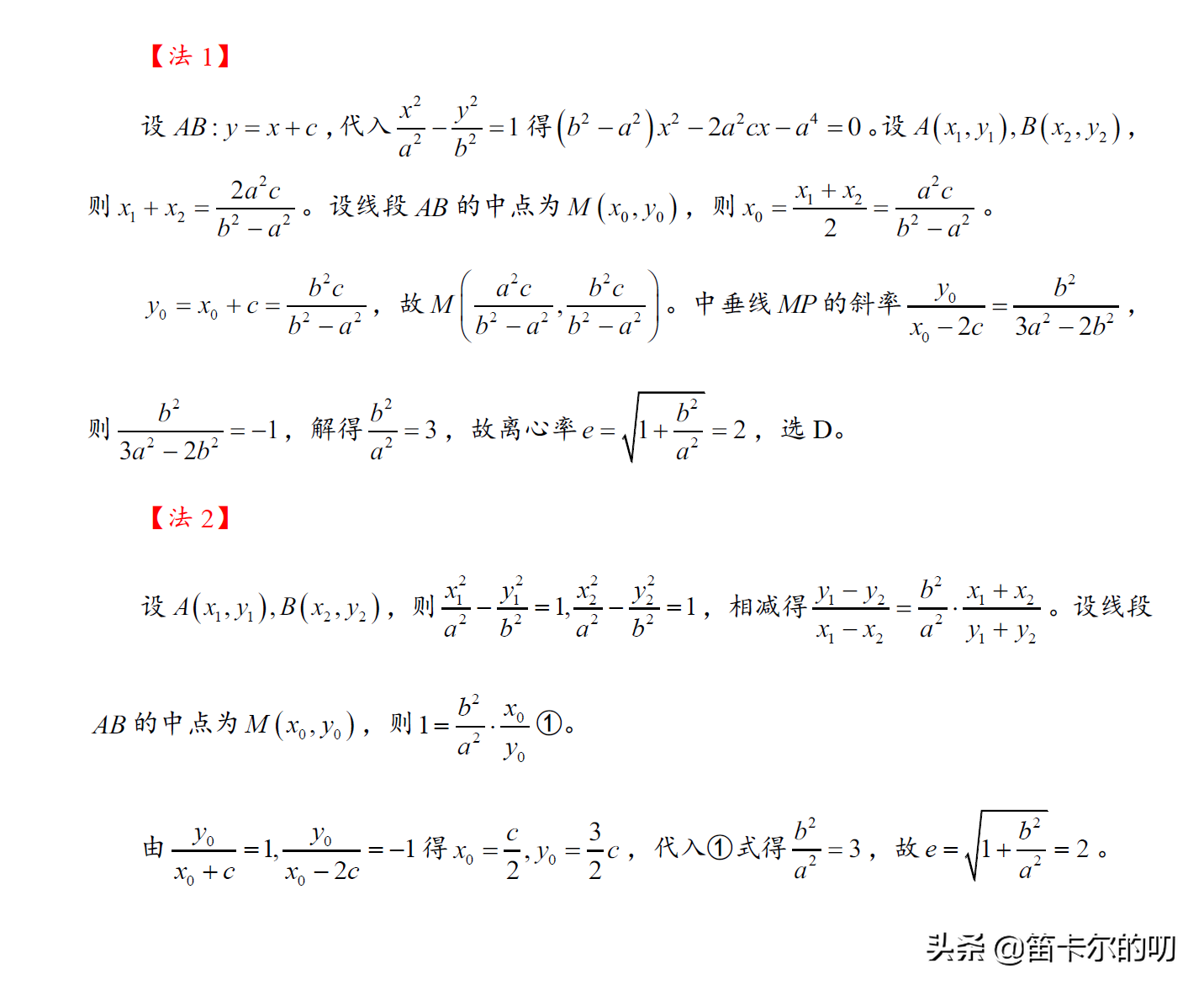
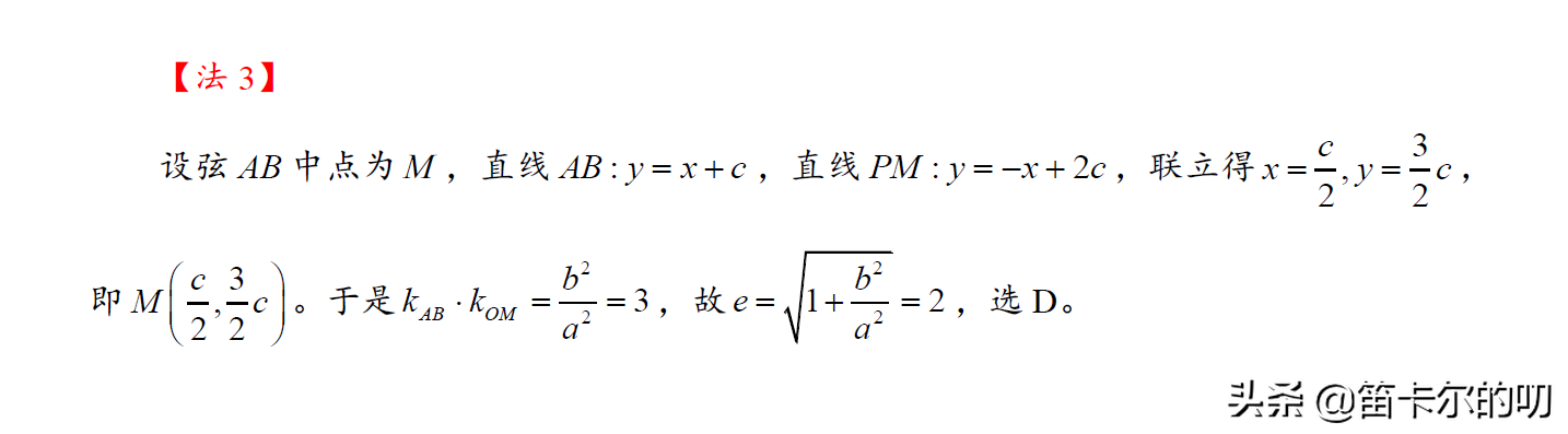
中点弦问题,线代法、点差法,都可以。
法1,线代法。联立直线与双曲线的方程,求得弦中点M的坐标,利用垂直建立a,b的关系即可求得离心率。
法2,点差法。涉及中点弦的问题,点差法不妨试试。
当然,并非只有中点才能使用点差法,定比分点也未尝不可,不妨称之为“定比点差”,但运算不一定占优势。
所谓“垂径定理”并不垂直,这里只是借用这个名字而已。定理的证明即是点差法的变形,不作赘述。
不要问是否可直接应用,我永远都是这句话——小题随意,大题禁止。
下面操作中的第4题与此如出一辙,还说什么呢?
什么也不用说了。
那就愿好风凭借力,送你上青云。
兴来一挥百纸尽,骏马倏忽踏九州。
我书意造本无法,点画信手烦推求。
版权声明:我们致力于保护作者版权,注重分享,被刊用文章【如何证明中垂线(第一百八十夜)】因无法核实真实出处,未能及时与作者取得联系,或有版权异议的,请联系管理员,我们会立即处理! 部分文章是来自自研大数据AI进行生成,内容摘自(百度百科,百度知道,头条百科,中国民法典,刑法,牛津词典,新华词典,汉语词典,国家院校,科普平台)等数据,内容仅供学习参考,不准确地方联系删除处理!;
工作时间:8:00-18:00
客服电话
电子邮件
beimuxi@protonmail.com
扫码二维码
获取最新动态
