当一个事件的发生满足以下条件时,可以认为这个事件在某一固定时间段内的发生次数满足柏松分布。
事件是独立发生的事件发生的概率在给定的固定时间内不随时间变化总结起来就是,事件的发生是随机且独立的。
泊松分布的概率质量函数:
x表示一段时间内事件发生的次数,λ表示一段时间内事件发生的平均次数。
举个例子:
假设某媒体平台一天的用户广告转化数平均为1次,每天的广告转化数就满足泊松分布。
那么根据泊松分布,我们想知道该媒体平台每周广告转化数为10次的概率,应该怎么算?
首先,固定时间由一天增加到一周,一周的平均点击则为7次,泊松分布的λ为7,要求转化数为10次的概率,泊松分布的概率质量函数的输入x为10,代入公式可以求出:
可以得出该媒体每周广告的转化数为10次的概率为0.070983。
根据上例,将时间考虑进泊松分布的概率质量函数,可以得到:
x表示单位时间内事件发生的次数,λ表示单位时间内事件发生的平均次数,t表示t个单位时间,N(t)表示关于时间的某种函数。
回顾二项分布的概率质量函数:
我们依然拿上面举的例子来探索泊松分布与二项分布的关系。
假设某媒体平台一天的用户广告转化数平均为1次,一天广告点击的次数平均为1000次,那么广告的点击转化率为0.1%,我们现在根据二项分布来计算,该媒体平台每周广告转化数为10次的概率。
首先,时间范围是一周,那么一周的广告的平均点击数为7000次,广告的点击转化率依然是0.1%不会随时间变化而改变,那么将n为7000,x为10,p为0.1%代入二项分布的概率质量函数求出:
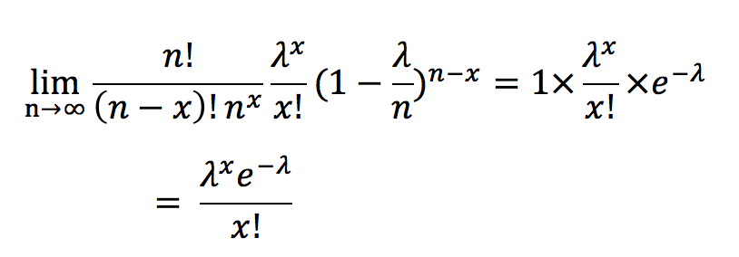
可以看出该媒体每周广告的转化数为10次的概率为0.070988。对比上面利用泊松分布的公式计算的值,发现二者值非常的接近,这是一种巧合还是一种必然?下面我们从二项分布的概率质量函数着手,由于二项分布中λ=np,将p=λ/n代入看看能有什么发现。
当n趋近于正无穷时,
惊奇的发现当n趋于正无穷时,二项分布的概率质量函数和泊松分布的概率质量函数相同。看来在例子中的结果非常接近不是巧合。所以我们可以利用泊松分布来估算二项分布。这样做的原因主要有两个:
简化计算一个问题可以在概念上用二项分布去理解,但是二项分布的具体n和p未知,而是已知λ指数分布针对两个事件发生的时间间隔,与泊松分布不同,泊松分布是离散型分布,指数分布是连续型分布。如果单位时间内事件的发生次数满足泊松分布,那么事件发生的时间间隔满足指数分布。指数分布的概率密度函数是:
概率分布函数则为:
λ表示单位时间内事件发生的平均次数,t表示t个单位时间。
可以从泊松分布来理解指数分布。对于泊松分布,t时间内事件发生次数为0的概率为:
t时间内事件发生次数为0的另外一种理解可以是,事件第一次发生的时间T要大于t。
即
那么事件在t时间内发生的概率为:
与指数分布的概率分布函数保持一致。
同一个例子,假设某媒体平台一天的用户广告转化数平均为1次,我们想知道该媒体平台在第2天到5天内完成一次转化的概率,就可以根据指数分布来计算。
首先,一天内的平均转化数为1,则λ为1。要在第2天与第5天之间完成一次转化,利用P(T<= 5) - P(T<= 2)来计算概率,得:
版权声明:我们致力于保护作者版权,注重分享,被刊用文章【泊松分布可加性证明(10分钟了解泊松分布)】因无法核实真实出处,未能及时与作者取得联系,或有版权异议的,请联系管理员,我们会立即处理! 部分文章是来自自研大数据AI进行生成,内容摘自(百度百科,百度知道,头条百科,中国民法典,刑法,牛津词典,新华词典,汉语词典,国家院校,科普平台)等数据,内容仅供学习参考,不准确地方联系删除处理!;
工作时间:8:00-18:00
客服电话
电子邮件
beimuxi@protonmail.com
扫码二维码
获取最新动态
