今天我们来学习拉格朗日中值定理。
如果函数f(x)满足
(1)在闭区间[a,b]上连续;
(2)在开区间(a,b)上可导。
那么至少存在一点ε∈(a,b),使得
我们先来回顾下罗尔定理:
再来看看拉格朗日中值定理:
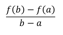
通过比较上面的两幅函数图像,我们可以发现拉格朗日中值定理就是把罗尔定理斜过来看,f(a)与f(b)不在同一条水平的直线上(f(a)≠f(b)),直线AB的斜率为
图中的曲线在区间(a,b)内处处连续可导,从而这条曲线在(a,b)内至少产生一个点ξ,曲线在该点处切线的斜率等于直线AB的斜率。
而罗尔定理就是当f(a)=f(b)时的情况,可以说罗尔定理是拉格朗日中值定理的特例。
谢谢观看
版权声明:我们致力于保护作者版权,注重分享,被刊用文章【拉格朗日中值定理证明(高等数学)】因无法核实真实出处,未能及时与作者取得联系,或有版权异议的,请联系管理员,我们会立即处理! 部分文章是来自自研大数据AI进行生成,内容摘自(百度百科,百度知道,头条百科,中国民法典,刑法,牛津词典,新华词典,汉语词典,国家院校,科普平台)等数据,内容仅供学习参考,不准确地方联系删除处理!;
工作时间:8:00-18:00
客服电话
电子邮件
beimuxi@protonmail.com
扫码二维码
获取最新动态
