根据代数基本定理,每个多项式在其定义域内的某个点上都有一个根。虽然这个定理早在18世纪初就已经被提出(由三位数学家,彼得·罗斯,艾伯特·吉拉尔和勒内·笛卡尔提出),但是第一个(非严格的)证明是在1746年由法国博学家让·勒朗·达朗贝尔在他的著作《关于卡尔库尔积分的研究》中发表的。该定理第一个严格证明的作者是卡尔·弗里德里克·高斯,他是历史上最杰出的数学家之一。
图1:法国博学家让·勒朗·达朗贝尔和德国著名数学家卡尔·弗里德里克·高斯。
让我们先讨论一些将在证明中使用的相关概念。
复数z是具有以下形式的数:
其中x和y是z的实部和虚部。i是虚数单位,它是二次方程的解:
16世纪著名的意大利数学家卡尔达诺(他同时还是一名医生、生物学家、物理学家、化学家、哲学家等)在他的三次方程的根研究中引入了复数。
通过复数平面,我们可以用几何形式表示复数。横轴包含实数,纵轴包含虚数。下图显示了复平面中的想象单元i。这个圆叫做单位圆。
换句话说,利用复平面,我们可以用几何来解释复数。例如,在加法下,它们表现为向量:
为了更好地表达复数乘法,用极坐标代替笛卡尔坐标更方便。
这里我们用:
利用公式3,可以将复数相乘写成如下形式:
象征性地我们有:
多项式和根
根据维基百科,“多项式f是一个由变量和系数组成的表达式,它只涉及加、减、乘运算,以及变量的非负整数指数。如果f(x) = 0,则x是该多项式的根。
一个实数多项式方程的例子如图5所示。
为了绘制具有复杂参数的多项式的图,我们遇到了一个问题:复数是2D的,因此定义在复数上的复数值函数的图将是4D。一种可能的解决方案是使用颜色来表示尺寸。这里的想法是这样的(见图6a)。选择原点为黑色,然后绕着它逆时针旋转,通过色轮的颜色(红、黄、绿、青色、蓝、品红,然后回到红色)。当z接近原点时,指定的颜色z接近黑色。相比之下,当|z|→∞时,其颜色趋于白色。注意,每个z都有一个不同的颜色,因此它的颜色唯一地指定了它。我们在图6b中绘制一个函数f: C→C的图,我们用与f(z)的值相关联的颜色对每个点z∈C着色。因此,通过确定点z的颜色,再与图6a比较,可以得到任意点z的f(z),然后用颜色表示哪个复数。这种技术叫做区域着色。
6a
6b
图6a:复杂的平原(左)。图6b(右):f(z)的域着色坐标。代数基本定理指出,每一个多项式p(z)都有一个复根。下面由数学家林赛·蔡尔兹证明。它是基于瑞士业余数学家让-罗伯特·阿根德在他1814年发表的著作《关于新理论分析的反身性》中给出的结论。
更正式地说,我们的目标是证明对于任何具有复系数的多项式p(z)
有一个复数Ç ∈ Ç(其中c是复数的集合)使p(C ^)= 0,或:
为了证明FTA我们需要以下辅助结果:如果K→R是连续的,那么f (x, y)上有一个最小值和最大值。
实际上,FTA依赖于两个更简单的引理,为了避免混乱,将省略这些引理。
现在考虑定义集合K:
符号|,|代表复数的绝对值
因为K是连续的函数
如果R足够大,我们有:
现在,上述不等式等于:
注意,这个不等式不仅在某些圆盘内,而且在所有的复平面C上都是有效的。
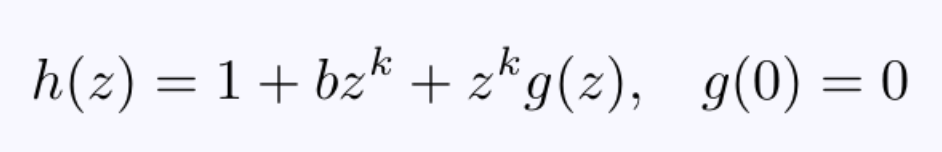
下一步是假设p(c)≠0,定义如下函数:
并证明存在一个复数u,使得|h(u)|<1或者等价地:
函数h的形式为:
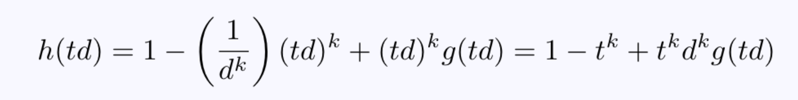
其中g(z)为连续多项式。然后定义d:
然后我们写出h(td)对于t∈(0,1)。我们得到:
三角不等式告诉我们:
对于足够小的t,由于多项式g是连续的,我们得到:
这个结果与我们在式12和13中的假设相矛盾。这就是证明!
版权声明:我们致力于保护作者版权,注重分享,被刊用文章【欧拉恒等式证明(代数基本定理)】因无法核实真实出处,未能及时与作者取得联系,或有版权异议的,请联系管理员,我们会立即处理! 部分文章是来自自研大数据AI进行生成,内容摘自(百度百科,百度知道,头条百科,中国民法典,刑法,牛津词典,新华词典,汉语词典,国家院校,科普平台)等数据,内容仅供学习参考,不准确地方联系删除处理!;
工作时间:8:00-18:00
客服电话
电子邮件
beimuxi@protonmail.com
扫码二维码
获取最新动态
