在数学中,我们通过证明或已有的结果推导出我们并不完全理解的东西。下面我用四个简单而有趣的例子来解释。
这就是众所周知的欧拉恒等式。对我来说,数学最有趣的地方是发现我们并不完全理解的事物。欧拉恒等式是其中之一。
对于超越数(比如,e和π包含在这个公式中),我们发现它经常出现在我们的现实生活中。比如计算半衰期,或者计算房子的利率,或者计算圆周与直径的比率。我们知道数字1的必要性,当它与自身相减时,结果是0。有了0,1,和- 1的平方根的定义,再加上我们关于唯一性的规则公理,我们就可以构造出整个数字系统。所有的知识都在这个方程里。但很多人并不真正理解它,想要深入了解欧拉恒等式,可以阅读我的这篇文章:数学界最著名、最伟大、最美丽的公式之一——欧拉公式
这有点像重力,因为牛顿知道有一个力作用在从树上落下的苹果上。但是,直到今天,我们仍然对它到底是什么有争议。
斯坦福大学的基思·德夫林教授(1947-)这样评价欧拉恒等式:
欧拉恒等式就像莎士比亚的十四行诗捕捉到了爱的精髓,也像一幅画展现了不仅仅是肤浅的人体之美,它触及到了存在的最深处。
哲学家、数学家、哈佛教授本杰明·皮尔斯(Benjamin Peirce)也说过:
这绝对是荒谬的,我们无法理解它,也不知道它意味着什么,但我们已经证明了它,因此我们知道它一定是事实。
这就是欧拉恒等式的核心。事实上,它是很多数学的核心(对证明工作的严格要求,完成和组织正确的逻辑)。但是,即使有了所有的逻辑思维和精准性,它仍然缺乏真正的意义。就像万有引力一样,欧拉恒等式确实存在。它无疑是真理。
我们使用这个恒等式中涉及的元素,让它们出现在许多应用程序中。我们发现它们存在于与纯数学相去甚远的学科中。我们知道它们对我们所知的现实进行了高度精确的解释。它们几乎对我们遇到的所有东西进行建模。它们改善了绝大多数人的生活却没有得到社会的认可。它们是世界上看不见的真理。你不需要了解他们,就能从中获益。
但是,如果有人问我,为什么是欧拉恒等式,我不能告诉你。这就是它的有趣之处。这是一个如此强大的等式,将数学中如此多的元素联系在一起,但我们并没有真正理解它。
关于复利最著名的话莫过于爱因斯坦的:
宇宙间最大的能量是复利,世界的第八大奇迹是复利。
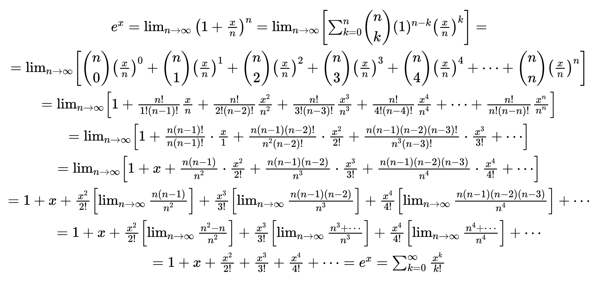
还记得我们在欧拉恒等式中看到的e吗?它与很多东西都有联系,但让我们从它的发现开始,然后看看它的怪异之处。
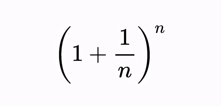
1683年,雅各布·伯努利提出了一个关于复利的问题:
一个账户从$1.00开始,每年支付100%的利息。如果一年计息一次,在年底,这个账户在年底的余额将是2美元。如果一年计息n次(每次利率为1/n),年底账号余额是多少?
意思是,如果一年计息2次,每6个月你可以得到50%的收益。也就是说,年底有:
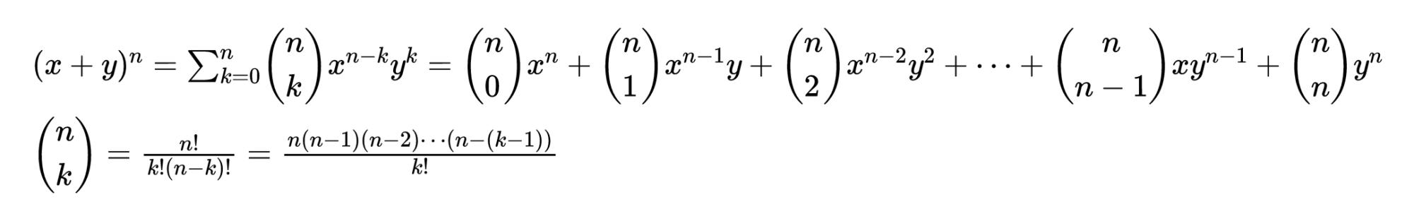
复利n次的复利公式为:
n是复利的次数。换句话说,你会在一段时间内把100%的利息分成你想要的次数。例如,在这个案例中,复利两次后,获得的本金加利息为:
对于伯努利来说,有趣的是如何在n很大的情况下解答这个问题。
n = 12时,得到2.613035美元。n = 52时,得到2.692597美元。n = 365时,得到2.714567美元。然后,对于n为无穷大时,得到:
2.71828182845904523536028747135266249775724709369995……
无穷大与数学有着奇怪的关系。一方面,它使人类有能力更深入地了解世界的内部运作。
另一方面,它回避了一个问题,为什么?
另一个超越数也同样通过“无限”的使用而出现:
其中C是周长,d是直径。
但是我们是怎么想到这个的呢?为什么这个形状是圆的?圆到底是什么?
从一个正方形开始,不断地增加边的数目。一直到无穷大,得到3.1415926……
所以,当你看一个圆的时候,你实际上是在看一个有无数条边的物体。
如果我们重新审视对欧拉数(e),我们会发现更多令人挠头的问题。比如:
我们用伯努利复利的例子展开取幂。也就是说,我们把e看作一个超越常数,它是指数函数的底。而且,即使作为一个函数,它也有神奇之处。
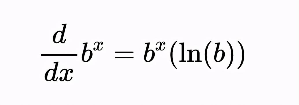
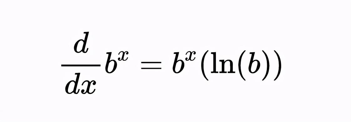
指数函数的定义几乎每个人都遇到过。你在中学的时候就会学到:
对其求导,得到:
从指数函数中可以看出它们增长的速度有多快。速度和加速度是取幂的核心。
当我们对它求导时:
我们需要找到常数b,使ln(b)= 1。我们要找出一个常数,使增长率成为原始函数。这意味着对原始函数n次求导,结果仍然是原始函数:
常数e是比例常数为1的唯一底数,使以e为底数的指数函数的导数等于它自己。
对超越常数e的处理是很奇怪的。与其他指数函数不同的是,它在各个领域都有很多推导,有着同样复杂的解释和含义。
这里:
这个极限涉及伯努利方程和复利方程(对于x = 1的特殊情况,得到e)。
毫无疑问,这些特殊的无理数(e和π),给了我们对世界的本质以及物质和物体的行为的深刻理解。从声波,原子和亚原子行为到生物,化学和物理等各个领域,这些特殊数字都扮演着非常重要的角色。这一切都来自于一个最初想要回答一个简单复利问题的人。
这些数字(e和π)是通过人类的好奇心和意志力发现的。今天我们对这两个数字的了解和以往一样多。实际上,每一个都可以计算到小数点后几万亿位。
在我们试图理解它的存在时,会产生更多的问题。
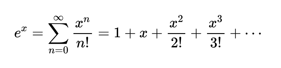
对于上面的e,泰勒级数为:
e的一次方等于多少:
我们知道这个级数是收敛的,收敛于超越常数e。另一个类似的级数是调和级数:
你可能会觉得这个级数也是收敛的。前一百万项的总和大约是14.8。但是如果我们假设调和级数收敛,收敛于S:
那么:
但:
因此:
这是不可能的。因此,我们知道这个级数是发散的。然而,在1914年,A.J.肯普纳(A.J. Kempner)发表了一篇题为“一个奇怪的收敛级数”的论文,证明了调和级数:
稍微修改一下,实际上是收敛的。即去掉分母中包含“9”的值的调和级数。起初,肯普纳认为这个级数的上限应该在80以下。从那时起,进一步研究表明该序列收敛到略低于23的值,约为22.92067。当你第一次思考它的时候,这是非常奇怪的。
从发散的级数中删除一些元素,最终会使级数收敛。但是,大多数三位数的分母值都包含“9”,这使得这个级数的收敛速度还不够快。但这显然引出了一个问题,你能从调和级数中删除的最小元素的数量是多少才能使它收敛?
如果你用计算器,开始加1 + 2 + 3 + 4 + 5,一直加下去,你会认为你会得到一个非常大的正数。
但让我告诉你一些完全违背直觉的事情:
这意味着,如果你把所有自然数相加,你会得到:
首先,我们需要一些铺垫:
让我们从第三个求和N₂(N_2,下标可能不显示)开始。如果1和-1个数的和是偶数,从对称性得知N₂=0;如果是奇数,结果就是1,然后我们取平均值,是1/2。
现在让我们来看看我们的N_1,也就是上面的第二个求和。具体来说,我们把和乘以2:
正如你所看到的,如果我们把上面的计算式上下一一相加,我们得到:
我们已经知道N_2= 1/2 ,所以N_1= 1/4,所以现在我们基本上有了所有我们需要的东西来实现这个数学奇迹。
让我们看看第一个求和N,从N_1中减去它,得到:
我们已经知道N_1=1/4,所以:
所有自然数的和是-1/12!(当然,这是荒谬的),欢迎留言指出这个推导过程的问题所在。
版权声明:我们致力于保护作者版权,注重分享,被刊用文章【欧拉恒等式证明(四个反直觉的数学真理)】因无法核实真实出处,未能及时与作者取得联系,或有版权异议的,请联系管理员,我们会立即处理! 部分文章是来自自研大数据AI进行生成,内容摘自(百度百科,百度知道,头条百科,中国民法典,刑法,牛津词典,新华词典,汉语词典,国家院校,科普平台)等数据,内容仅供学习参考,不准确地方联系删除处理!;
工作时间:8:00-18:00
客服电话
电子邮件
beimuxi@protonmail.com
扫码二维码
获取最新动态
