(作者:刘岳老师)
当我们认识自然数之后,我们就会从1开始数数,1、2、3、4……,于是我们发现,这么数下去永远数不到头啊,无穷无尽,因而诞生了一个叫做“无穷”的概念,那无穷是什么?
其实古人也早就提出过关于无穷的思考,庄子曾经说过:一尺之木,日取其半,万世不竭。
一尺长的木头,每天砍一半,那么将取之不尽用之不竭,永远都用不完,听起来好像是这么回事,我每天只取一半,虽然会越来越小,却始终会有。
就在差不多同时代的西方,古希腊数学家芝诺也提出过类似这个问题的悖论,以其名字命名故而称为“芝诺悖论”,芝诺一生提出过40多个悖论,其中也有一些涉及到无穷的概念,举两例。
1、二分法
在一个移动的物体在到达终点之前,必须得到达这段路程的中点,接着以中点为新的起点,在到达终点之前必须达到新的中点,以此类推,这个物体只能不断地到达中点却永远也到达不了终点。
按照这么个理论,我永远出不了我家大门,地铁永远到不了下一站,甚至降雨永远落不到地上,那这个世界不乱套了嘛,显然这并非是事实,所以才叫悖论。不用惊慌,真实的世界好着呢。
2、阿基里斯与乌龟
阿基里斯是古希腊的英雄,以长跑著称,芝诺表示,兄弟不是我磕碜你,你连一只乌龟都追不上,他解释到,假如乌龟在阿基里斯前方,两者同时开始赛跑,如果阿基里斯想追上乌龟,就必须先到乌龟的位置,而这段时间乌龟必然会向前跑一段距离,如果阿基里斯又跑到那个位置,乌龟又会往前挪一点点。
以此类推,虽然说两者之间的距离不断缩小,但是阿基里斯永远追不上乌龟。
两者的共同之处在于,需要在有限的时间内完成无数个运动的过程,虽然芝诺也知道这个说法肯定不对,但他并不明白为什么可以这样,于是索性让大家也一块不明白。
我们先从第二个问题着手,假设乌龟领先阿基里斯1米,阿基里斯速度为2米每秒,乌龟速度为1米每秒,为了方便计算所以如是设计数据,
第一个运动过程需要½秒(阿基里斯到达龟神的起点,乌龟前进½米),
第二个运动过程需要¼秒(阿基里斯到达龟神运动一的地点,乌龟前进¼米)
第三个运动过程需要⅛秒(阿基里斯到达龟神运动二的地点,乌龟前进⅛米)
以此类推,
阿基里斯需要多久才能追上乌龟呢?
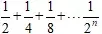
先把这些时间加起来:
½+¼+⅛+……
这么一直加下去会等于多少呢?会是无穷大还是会等于一个数值?这是芝诺无法解决的问题,也是他提出这个悖论的依据,那么这个结果到底会是什么样呢?
先考虑
的结果,根据等比数列的求和公式,可知结果为
秒,那么一直加下去结果会等于多少呢?
其实距离正确答案已经非常接近了,但差的这点却等到好久之后才真正解决——极限思想的出现。
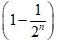
当n趋近于无穷大的时候,我们会认为
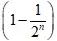
等于0,所以
等于1。
运用极限的思想,我们可以将有限求和
拓展到无限相加
所以无穷相加的结果并非也是无穷,可以是个确定的数!!
然而这放在芝诺的时代,由于这方面的理论基本为零,因此他才能以此来忽悠大众,因为理论的缺失使得无法给他正面一击。
当然,也不是所有人都束手无策,最早作出这方面探索的应属阿基米德。
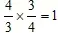
两个世纪后,阿基米德在求证抛物线面积的时候,得出:抛物线围成的面积正好等于内接三角形面积的三分之四倍。
阿基米德说道,三角形面积会近似等于抛物线围成的面积,通过不断取中点的方式不断逼近抛物线围成的面积,而每次增加的面积都是前一次的四分之一(红色部分面积为绿色部分面积的四分之一),所以,假设△ABC的面积为1,那整个面积便是:
在论述最后结果的时候,同样因为没有极限的理论,面对质疑,阿基米德解释道,你无法说明
也无法证明
所以结果只能是
虽然并没有解释明白,但阿基米德肯定了这个计算的结果,在正确的方向迈出了坚实的一步。
还是借助图形来解释问题吧,这样看图就行了,如下,作边长为1的正方形,随后不断对其进行切割,
于是便有了:
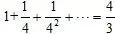
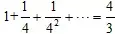
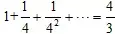
同样阿基米德的问题也可以作去下设计,
作一个面积为三分之四的正方形,如下:
第一块面积占整体的¾,
所以第一块面积为:
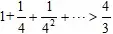
第二块面积为:
第三块面积为
以此类推,再把每块面积相加,
我们可以推出:
为纪念这一和式的几何图形解读,我们也将其称为几何级数,一般式:
有限可以相加,无限同样也可以,芝诺悖论给我们展示了最早对于无穷的思考,虽然其结果看似荒谬,也正因如此,才激励着后代不断地投身其中。2000后,希尔伯特、康托尔等一批数学家再次将无穷摆在世人眼前,连续统假说也位列20世纪待解决的23大数学问题之首。
而悖论,其本身可能并没有多大的意义,但总能催促着我们思考。
世上没有绝对的真理。
不知道这句话,是不是绝对的真理?
谢谢阅读,以上都是瞎编的。
#疫情期间一起学#
图片来源于网络,如需转载请后台联系,否则侵权必究!
版权声明:我们致力于保护作者版权,注重分享,被刊用文章【级数证明题(有一点数学悖论)】因无法核实真实出处,未能及时与作者取得联系,或有版权异议的,请联系管理员,我们会立即处理! 部分文章是来自自研大数据AI进行生成,内容摘自(百度百科,百度知道,头条百科,中国民法典,刑法,牛津词典,新华词典,汉语词典,国家院校,科普平台)等数据,内容仅供学习参考,不准确地方联系删除处理!;
工作时间:8:00-18:00
客服电话
电子邮件
beimuxi@protonmail.com
扫码二维码
获取最新动态
