导数是函数值相对于自变量的瞬时变化率,求导数是一个取极限的过程。对于一个连续且可导的函数,其导数的定义如下
函数可导的前提是函数必须连续,对于连续函数,有下列等式成立
上式是函数在x处连续的定义。结合连续函数的定义和极限的运算性质,我们接下来推导导数运算法则。
假设F(x)为两个可导函数的和
那么根据导数定义,F(x)的导数为
即两个可导函数的和的导数等于导数的和,导数运算减法同理。
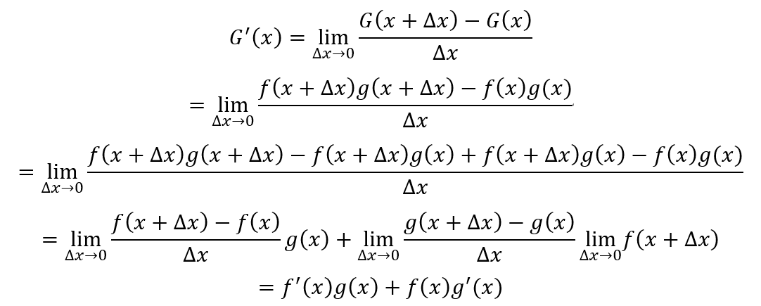
假设G(x)为两个可导函数的和
根据导数定义,G(x)的导数为
两个可导函数的乘积的导数的结果为
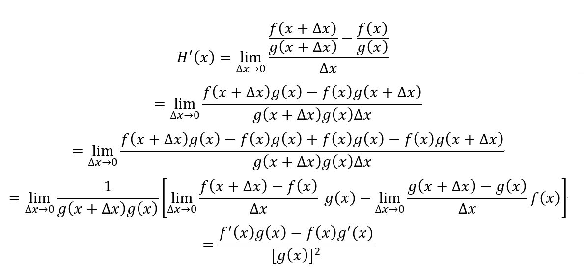
假设H(x)为两个可导函数的比值
根据导数定义,那么H(x)的导数为
两个可导函数的比值的导数结果为
掌握推导过程可以帮助理解导数的定义和运算。
本文由小朱与数学原创,欢迎关注,带你一起长知识!
版权声明:我们致力于保护作者版权,注重分享,被刊用文章【证明可导一定连续(导数运算法则推导过程)】因无法核实真实出处,未能及时与作者取得联系,或有版权异议的,请联系管理员,我们会立即处理! 部分文章是来自自研大数据AI进行生成,内容摘自(百度百科,百度知道,头条百科,中国民法典,刑法,牛津词典,新华词典,汉语词典,国家院校,科普平台)等数据,内容仅供学习参考,不准确地方联系删除处理!;
工作时间:8:00-18:00
客服电话
电子邮件
beimuxi@protonmail.com
扫码二维码
获取最新动态
