函数(function)是我们初中就开始接触的一个数学概念,也是高中阶段最核心的数学概念之一,我们通常用f(x)来表示一个函数。上了大学之后,我们会更加深入地研究函数的连续性,可微性,可导性等问题。但是对于绝大多数的同学,平时所接触的函数都只是所谓的初等函数。初等函数,指的是由5大类基本初等函数:
幂函数(power function),指数函数(exponential function),对数函数(logarithmic function),三角函数(trigonometric function)和反三角函数(inverse-trigonometric function)
经过有限次加减乘除与复合所得到的函数。比如我随手写一个函数:
它可就可以看成是一个三角函数与幂函数做复合,再和指数函数做除法得到的。
你可以搜罗一下你所见到的函数,基本上都是初等函数,那么这个“初等”又是怎么回事呢?难道还有“高等”的函数吗?
的确如此,初等函数都具有一些良好的性质,比如,所有初等函数在其定义域上都是连续的,并且是几乎处处可导的,即使有一些不可导点,那这些不可导点也是有限的、孤立的。也就是说,初等函数的图像都是我们可以想象出来的,就是一段儿除了个别点之外,其余都是连续的、光滑的曲线。比如我刚才随手写的函数,它的图像就是如下的样子:
那么是否会有一些函数,它有无穷多个不可导点,甚至每一点都不可导,更有甚者,图像我们连画都画不出来?这样的函数是有的,而它显然不是我们熟悉的初等函数,因为其性质太过诡异,我们称其为“病态函数”。最简单的一类病态函数就是大名鼎鼎的狄利克雷函数。在介绍它之前,我们先来介绍一下他的发明人——德国大数学家狄利克雷(Dirichlet)。
狄利克雷(1805-1859)
狄利克雷出生于1805年,他可谓是师出名门,曾经是“数学王子”高斯(Gauss,1777-1855)的学生,同时也参加过另一位法国大数学家傅里叶(Fourier,1768-1830)领导的小组活动。他于1829年到柏林大学任教,1831年被选为普鲁士科学院院士,并于1855年接替高斯成为哥廷根大学的教授,同年被选为英国皇家学会会员。
狄利克雷在数论、分析学和数学物理等多方领域做出了杰出贡献,是19世纪上半叶非常重要的一位数学家,同时也为19世纪下半叶哥廷根大学成长为世界数学中心奠定了基础。
十九世纪数学圣地——哥廷根大学
长久以来,人们只是把函数理解为两个变量之间的变化关系,并且通常用一个表达式来表示。1837年,狄利克雷突破了这个框架,认为函数就是集合中两个元素的对应关系,而不必非得有一个表达式,于是提出了函数就是x与y之间的一种对应关系的现代观点。我们现在教科书上的关于函数的定义,基本上就是沿袭了这种观点。
函数概念示意图
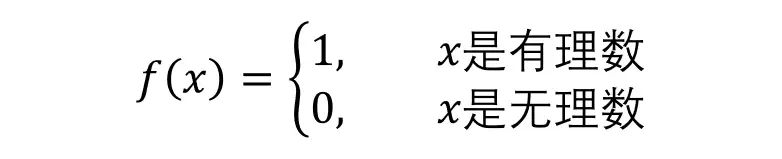
为了说明这一观点,狄利克雷就构造了一个人们以前从来没有见过的函数,就是我们现在被称之为狄利克雷函数的函数,它的函数表达式如下:
这个函数的图像让人想想就头皮发麻:在实数轴上有无数多个密密麻麻的有理数,同时还有无数多个密密麻麻的无理数。因此它的图像也是如此的诡异:在y=1的地方密密麻麻分布着无数个点,但是因为有无理数的存在,所以这些点彼此又存在无数多的空隙,不能连成一条连续的直线,同样道理,在x轴上也是如此!这样的图像我们想试用笔画出来是万万不可能的。
这里需要补充一句,有很多人说狄利克雷函数是不存在图像的,这种说法是错误的。它不是不存在图像,而是图像我们无法用笔画出。事实上,任何函数都是有图像的,对于给定的函数f(x),我们把集合
{ (x,f(x)) | x在定义域内}
称为这个函数的图像。
狄利克雷函数彻底颠覆了人们对函数的传统认识。通常人们想象出来的函数就是一段或者几段光滑的曲线,它或许有不连续点或不可导点,但都是有限多个、分散开的,但是狄雷克雷函数的图像,人们连画都无法画出来,甚至它在连续性与可导性上更加突破了人们的想象。我们就来看一下狄利克雷函数它具有哪些诡异的性质。
狄利克雷函数处处不连续
意思是所有的点都是间断点。我们在高等数学里面学过,函数f(x)在x=a处连续的定义是函数在该点的极限值等于该点的函数值,即它要满足
不满足的话,则是不连续的。我们就拿这个定义来检验一下狄利克雷函数。当a无论取何值时,在a的任意一个小的邻域内,都有无数多个有理点和无数多个无理点,有理点处函数值为1,无理点处函数值为0,因此在a的左边和右边函数都是无穷震荡的,所以x趋近a是f(x)的极限不存在,也就更无法等于f(a)了,因此是不连续的。因为a是任意取的一个值,所以狄利克雷函数在任意一点都是不连续的。
狄利克雷函数处处不可导
我们高中时都学过,可导一定连续,连续不一定可导,并且不连续一定不可导,狄利克雷函数在任意一点都不连续,因此它在任意一点都不可导。
这里顺便提一下,狄利克雷函数处处不可导,是因为处处不连续。不连续导致不可导,这没什么大不了的,但在1872年,被誉为“近代分析之父”的德国数学家魏尔斯特拉斯(Weierstrass,1815-1897)构造出了一个处处连续但无处可导的函数,又进一步颠覆了人们对导数概念的理解,这是后话。
狄利克雷函数在任意闭区间上不可积
我们在高等数学中学过,一个函数f(x)在闭区间[a,b]上的定积分,它的定义就是如下的极限:
右边这个极限如果存在,则称f(x)在[a,b]上是可积的,极限如果不存在则称为不可积。
事实上,想构造出一个不可积的函数非常地困难。回想一下你在高等数学里面接触过的所有有界函数,其实都是在闭区间上可积的。而不可积的函数则只能从“病态函数”里面寻找,狄利克雷函数就是其中一个最典型的例子。
我们来说明一下为什么狄利克雷函数不可积,就拿[0,1]这个闭区间举例子。我们做定义定积分的关键一步是要把[0,1]这个闭区间分割成若干小段,然后再让这些小段的长度趋近于0。因为有理数和无理数是密密麻麻的排列在实数轴上的,所以一个小区间无论多么的短,它里面都包含着无数多有理数和无理数。我们可以这样来取x*的值:对于任意短的小区间,
第一个方法:我把所有的x*都取成无理数,于是所有的f(x*)都等于0,因此第二个方法:我们把所有的x*都取成有理数,于是所有的f(x*)都等于1,因此
由此可以看出,无论你你这个区间长度多么的短,都可以想方设法让求和式子等于0,同时也可以想方设法让求和式子等于1,于是这也相当于是一个无穷震荡,因此它的极限也不存在。所以我们就说明了狄利克雷函数在[0,1]闭区间上不可积。
黎曼和与定积分示意图
上面三条就是狄利函数所具有的,而你在初等函数中又无法看到的诡异的性质。狄利克雷函数可以说是最简单的一类病态函数,以它为思想我们可以构造出很多其他类型的病态函数,比如说我们可以把0和1变成任意两个不同的数:
可以看出这样构造出来的函数,同样具有上述三个诡异的性质。同时我们还可以对它进行改造,构造出一些更为诡异的函数,例如只在一点处连续的函数,只在一点处可导的函数等等。
上面狄利克雷函数的表达式是利用分段函数写出的,那么它有没有单个的表达式呢?数学家们发现狄利克雷函数可以利用下面这个式子来表示
小伙伴们可以思考一下,为什么它就表示狄利克雷函数。
发展
狄利克雷函数的发现在20世纪有了更为重大的意义。20世纪初,法国数学家勒贝格(Lebesgue,1875-1941)通过对传统积分理论的研究,提出了一种新的定积分理论——勒贝格积分。他发现,勒贝格积分是比传统的定积分更为进步的积分,它囊括了更多的函数形式,而狄利克雷函数就是一个最典型的在传统意义下不可积,但却是勒贝格可积的函数。用更专业的语言来讲,勒贝格积分是传统积分理论的完备化,它使得人们对函数与积分的认识更上一层楼,而勒贝格积分也取代了传统的定积分理论,成为当代数学研究里面通用的积分理论。而如果想要学习勒贝格积分,就需要进一步学习测度论,这将又是一个很漫长的过程。
最后,就拿勒贝格大神的照片来镇楼吧!相信每个学习过实变函数的人看到这张照片的人都会瑟瑟发抖。
参考文献
[1] 《高等数学》,第七版,同济大学数学系,北京,高等教育出版社
[2] 《数学分析(下册)》,第三版,华东师范大学数学系,北京,高等教育出版社
[3] Calculus, early transcendentals, 7ed, James Stewart, Brook/COLE
版权声明:我们致力于保护作者版权,注重分享,被刊用文章【证明可导一定连续(上了大学才知道还有这样的函数存在)】因无法核实真实出处,未能及时与作者取得联系,或有版权异议的,请联系管理员,我们会立即处理! 部分文章是来自自研大数据AI进行生成,内容摘自(百度百科,百度知道,头条百科,中国民法典,刑法,牛津词典,新华词典,汉语词典,国家院校,科普平台)等数据,内容仅供学习参考,不准确地方联系删除处理!;
工作时间:8:00-18:00
客服电话
电子邮件
beimuxi@protonmail.com
扫码二维码
获取最新动态
