当谈到复杂数学定理的证明时,很多人常常为之色变,认为这只是一个枯燥的公式堆砌和深奥的数学推导过程。这当然是一个让笔者感到纠结的误解。
因为数学证明中包含的美丽与精巧实在是一道亮丽的风景线,而这种亮丽甚至不需要用语言来描述。下面是数学里十大不需要语言的证明,绝对让你看了啧啧称奇!
1
勾股定理
这个大家小学就学过的古老定理,有着无数传奇故事。我可以很随意的写出她的10个不同的证明方法。而路明思在 《毕达哥拉斯命题》提到这个定理的证明方式居然有367种之多,实在让人惊讶。这里给出一个不需要语言的证明方法。
实际上勾股定理是余弦定理的一种特殊情况,而余弦定理的证明,同样可以不用语言。
2
关于反正切的恒等式
关于反正切,有如下两个很精彩的等式:
arctan1/2+arctan1/3=π/4acrtan1+arctan2+arctan3=π
它们的证明方法也同样精彩。
3
几何平均值小于算术平均值
这是不等式中最重要和基础的等式:
它也可以通过图形来证明。
注意到△ABC∽△DBA ,可以很轻松地得到AB=√ab。剩下的就显而易见了。
41+3+5+…+(2n-1)= n2
这是奇数的求和公式,下图是当n=8时的情形
5
平方数的求和公式
一个很漂亮的公式,证明的过程令人眼前一亮。
6
立方数的求和公式
立方数的求和证明与平方数的求和证明方法有些相像:
7
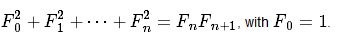
斐波那契数列的恒等式
可谓家喻户晓的斐波那契数列指的是这样一个数列:1、1、2、3、5、8、13、21 ……这个数列从第三项开始,每一项都等于前两项之和,即 Fn+1= Fn+ Fn-1。
它的通项公式是
有趣的是,这样一个完全是自然数的数列,通项公式居然是用无理数来表达的。
而且当n无穷大时,Fn-1/ Fn越来越逼近黄金分割数0.618。正因为它的种种神奇性质,美国数学会甚至从1960年代起出版了《斐波纳契数列》季刊。关于斐波那契数列,有一个恒等式是这样的。
这个等式很漂亮,不需要借助复杂的数学推导,它有一个很直观的证明方法:
8结果为1/3的一组分子式
下面是一组分子式,他们的结果都等于1/3:
让我们用若干个小球看待这个公式。
9
最受数学家喜爱的无字证明
1989 年的《美国数学月刊》(American Mathematical Monthly)上有一个貌似非常困难的数学问题:下图是由一个个小三角形组成的正六边形棋盘,现在请你用右边的三种(仅朝向不同的)菱形把整个棋盘全部摆满(图中只摆了其中一部分),证明当你摆满整个棋盘后,你所使用的每种菱形数量一定相同。
《美国数学月刊》提供了一个非常帅的“证明”。把每种菱形涂上一种颜色,整个图形瞬间有了立体感,看上去就成了一个个立方体在墙角堆叠起来的样子。三种菱形分别是从左侧、右侧、上方观察整个立体图形能够看到的面,它们的数目显然应该相等。
它把一个纯组合数学问题和立体空间图形结合在了一起,实在让人拍案叫绝。这个问题及其鬼斧神工般的“证明”流传甚广,深受数学家们的喜爱。死理性派曾经讨论过 这个问题 。同时它还是死理性派logo的出处。
10
棋盘上的数学证明
在一个8×8的国际象棋棋盘上,我们可以用32张多米诺骨牌(是两个相连正方形的长方形牌)覆盖整个棋盘上的64个方格。如果将对角线上的两个方格切掉,剩下来的62个格子还能用31张骨牌覆盖住吗?
答案是不能的。每一张骨牌在棋盘上必是覆盖住两个相邻方格,一白一黑。所以31张骨牌应该可以盖住31个黑格和31个白格。而这被切了角的棋盘上的方格有32个是一种颜色,另一种颜色是30个,因此是不能被31张骨牌覆盖的。
但是如果我们切掉的不是颜色相同的两个呢?假如我们从棋盘的任何部位切掉两个颜色不同的方格,那么剩下来的62格是否一定能被31张骨牌完全盖住?我可以告诉你这是一定能做到的,并且关于这个结论,存在一个非常漂亮的证明。建议读者在继续往下阅读前,可以先自行思考如何证明这个结论。
上图就是那个漂亮的证明。不妨对它再赘述两句。粗黑线条将整个棋盘转变为一条首尾相连、黑白格相间的封闭路线。从这棋盘上切掉任何两个颜色不同的方格,会让这个封闭线路变成两段线路(如果切掉的方格是相连的,那就是一条线路)。在这两段(或一段)线路中,两种颜色的格子数量都是偶数,故分别都可以被若干张骨牌覆盖。从而证明整个棋盘可以被31张骨牌完全覆盖。
这个著名的棋盘问题是数学游戏大师马丁•加德纳提出的,而上述精妙绝伦的证明则是数学家哥莫瑞(Ralph Gomory)找到的。它们后来被收录在《意料之外的绞刑和其他数学娱乐》这本书里。
上述是数学里十个很经典的例子。你还见过什么高明的吗,可以留言告诉大家哦!
关注后回复下方【红色关键词】领取福利
高考| 限时免费领取高考必备衡中绝密资料
开学丨免费领取1-9年级语文秋季开学大礼包
提分| 限时免费领取初中各年级提分资料
思维导图丨限时领取初中数学知识导图
版权声明:我们致力于保护作者版权,注重分享,被刊用文章【斐波那契数列证明(盘点)】因无法核实真实出处,未能及时与作者取得联系,或有版权异议的,请联系管理员,我们会立即处理! 部分文章是来自自研大数据AI进行生成,内容摘自(百度百科,百度知道,头条百科,中国民法典,刑法,牛津词典,新华词典,汉语词典,国家院校,科普平台)等数据,内容仅供学习参考,不准确地方联系删除处理!;
工作时间:8:00-18:00
客服电话
电子邮件
beimuxi@protonmail.com
扫码二维码
获取最新动态
