斐波那契(1170-1250)是欧洲数学复兴的先驱,是13世纪最著名的意大利数学家.他在青少年时期游历许多国家,学习了许多国家的数学知识并在回国后整理研究,于1202年写成名著《算盘书》.此书把阿拉伯数字介绍到欧洲,为阿拉伯数字在欧洲的流行起到了重要作用,是欧洲数学在经历漫长黑夜之后走向复兴的号角。
斐波那契在1228年的修订版中记载着有趣且后来成为著名问题的"兔子繁殖问题"
兔子在出生两个月后就具有生殖能力,设有一对兔子每个月都生一对兔子,生出来的兔子在出生两个月之后,每个月也可以生一对兔子.那么,从一对小兔开始,满一年可繁殖多少对兔子?
按这种规律,可得每个月的兔子数构成一个数列:1,1,2,3,5,8,13,21,34,55,89,144M这是《算盘书》中最著名的一道趣题,随后广泛流传于世界各地.
后人发现斐波那契数列揭示了自然界中的增长模式,广泛存在于动植物中,许多花朵的花瓣数、部分植物叶序等都与这一数列存在着关联,这一数列被称为斐波那契数列,容易看出斐波那契数列
斐波那契数列从第3项开始,每一项都等于前两项之和。
所谓递推,就是在归纳的基础上,发现每一步与前一步或前几步之间的联系,更容易发现规律或证明通过归纳所猜测的规律的正确性。
《算盘书》改变了欧洲数学的整个面貌,成为欧洲各民族通用的"百科全书",被作为教材使用了200多年。
2006年4月,幽默的史密斯法官在《达·芬奇密码》案判决书中故意设置的The密码,应用的也是斐波那契数列。用斐波Da Vinci那契数列破译后为:"Jackie Fisher;who are you?Dreadnaught.(杰基·费希尔,你是怎样一个人呢?一个大无畏的人.)"
例1. (江苏省初中数学竞赛题)如图所示的跳格游戏:人从格外只能进入第一格;在格中,每次可向前跳1格或2格.那么,人从格外跳到第6格可以有____种方法。
解法一(枚举法)将问题转化如下:从第1格进入第6格,走了5格,把数字5表示成若干个1或2的和,1和2的不同顺序表示不同的方法(如5=1+1+1+1+1).为方便,把式子缩略为5=11111,则可以对5进行分解,有如下的方法:5=11111=1112=1121=1211=2111=122=221=212,共有8种方法.
例2(湖北省高考数学试题)给n个自上而下相连的正方形涂上黑色或白色,当n≤4时,在所有不同的涂色方案中,黑色正方形互不相邻的涂色方案如下图所示:
由此推断,当n=6时,黑色正方形互不相邻的涂色方案共有_____种.(结果用数值表示)。
解析:问题表面上是一道"涂色问题",实质上是通过创设一个斐波那契数列的情境,考查归纳猜想和合情推理意识,通过增加新的元素,进行整合与创新。
例3.在贝那勒斯(佛教圣地,位于印度北部)的圣庙里,安放着一块黄铜板,板上插着三根金刚石针(如图).
传说开天辟地的神——梵天(印度教主神)在创造世界的时候,在其中的2一根针上从下到上放置了由大到小的64片金片,这就是所谓的汉诺塔。A BC不论白天黑夜,都有一名值班的僧侣根据梵天的旨意,按照规定的方法,把这些金片在三根针上移来移去:一次只能移一片,并且要求不论在哪一根针上,小片永远在大片的上面。当所有的64片金片都从梵天创造世界时所放的那根针上移到另一根针上时,"世界末日"即到来.假设每次移动需要1秒的时间,"世界末日"何时到来?
解决这一类与自然数n相关的问题或涉及操作次数较多的问题时,通过寻找递推关系式,运用初始条件,化难为易,是一种从有限认识无限的重要方法.
而太阳系的寿命是100亿~150亿年,等到那时宇宙早已毁灭。
自然界的许多现象都与斐波那契数列有关,自然界的奇妙从来逃不过科学家的眼睛。大多数植物的花,其花瓣数都恰好是斐波那契数。例如,兰花、茉莉花、百合花有3个花瓣,毛茛属的植物有5个花瓣,翠雀属植物有8个花瓣,万寿菊属植物有13个花瓣,紫菀属植物有21个花瓣,雏菊属植物有34、55或89个花瓣。
如图所示,例如,树木的生长,由于新生的枝条,往往需要一段"休息"时间,供自身生长,而后才能萌发新枝。所以,一株树苗在一段间隔,例如一年,以后长出一条新枝;第二年新枝"休息",老枝依旧萌发;此后,老枝与"休息"过一年的枝同时萌发,当年生的新枝则次年"休息"。这样,一株树木各个年份的枝桠数,便构成斐波那契数列。这个规律,就是生物学上著名的"鲁德维格定律"。
向日葵的花盘上,种子的排列组成了两组嵌在一起的螺旋线,它们一般是34根、55根、89根、144根.
数学家发现:向日葵中心种子的排列图案,树木随年期长出的分枝的规律等都遵循斐波那契数列。斐波那契数列矗立在雄伟的建筑上,辉映于葱茏成蕤的草木间,盛开在嫣红姹紫的花丛中。
20世纪60年代,成立了斐波那契学会,创办了《斐波那契季刊》,专门发表与斐波那契数列相关的研究成果。斐波那契还著有许多关于数论与方程的书籍,在以后的数个世纪里,这些书一直都是欧洲数学重要的知识宝库。
仔细观察:1,1,2,3,5,8,13,21…可以发现:每3个连续的数中只有一个能被2整除;每4个连续的数中只有一个能被3整除;
你还能发现什么奇妙的性质?斐波那契数列的有趣之处在于它的通项公式:
在资本市场上,斐波那契数列似乎也很神奇,例如许多重大的行情之间间隔正好是斐波那契数列,如股票指数增减的"波浪理论":
1.如图,是一个树形图的生长过程,依据图中所示的生长规律,第15行的实心圆点的个数为____个(江苏省竞赛题)
2.阳明山万寿寺前有11级台阶,小敏一步只能上1级台阶或2级台阶,那么:1级台阶只有1种走法:记为(1);2级台阶有两种走法:记为(1、1)、(2);3级台阶有3种走法:记为(1、1、1)、(1、2)、(2、1);4级台阶有5种走法:记为(1、1、1、1);(1、1、2)(1、2、1);(2、1、1);(2、2),小敏发现当台阶数分别为1级、2级、3级、4级、5级、6级、…逐渐增加时,上台阶的不同方法的种数依次为1、2、3、5、8、13、…这就是著名的斐波那契数列.那么小敏上这11级台阶共有( )种不同走法.
A.34 B.89 C.144 D.233
【解析】根据斐波那契数列的特点:数列从第三项开始,每一项都等于前两项之和,据此可得答案.
根据题意知第7级的走法由8+13=21种,第8级的走法由13+21=34种,第9级的走法由34+21=55种,第10级的走法由55+34=89种,第11级的走法由89+55=144种,故选:C.
变式. 一楼梯共有n级台阶,规定每步可以迈1级台阶或2级台阶或3级台阶,设从地面到第n级台阶所有不同的走法为M种.
(1)当n=2时,M=_____种;
(2)当n=7时,M=______种.
解:如果用n表示台阶的级数,an表示某人走到第n级台阶时,所有可能不同的走法,容易得到:
(1)根据题意得:当n=1时,显然只要1种跨法,即a₁=1.
当n=2时,可以一步一级跨,也可以一步跨二级上楼,因此,共有2种不同的跨法,即M=2.
(2)由(1)可得:
当n=3时,可以一步一级跨,也可以一步三级跨,还可以第一步跨一级,
第二步跨二级或第一步跨二级,第二步跨一级上楼,
因此,共有4种不同的跨法,即a3=4.
④当n=4时,分三种情况分别讨论:
如果第一步跨一级台阶,那么还剩下三级台阶,由③可知有a₃=4(种)跨法.
如果第一步跨二级台阶,那么还剩下二级台阶,由②可知有a₂=2(种)跨法.
如果第一步跨三级台阶,那么还剩下一级台阶,由①可知有a₁=1(种)跨法.
根据加法原理,有a4=a₁+a₂+a₃=1+2+4=7,类推,有a5=a₂+a₃+a4=2+4+7=13;a6=a₃+a4+a5=4+7+13=24;a7=a4+a5+a6=7+13+24=44,即M=44;故答案为:2,44.
3.我们把1,1,2,3,5,8,13,21,…组数称为斐波那契数列,为了进一步研究,依次以这列数为半径作90°圆弧,弧P₁P₂,弧P₂P₃,弧P₃P4,…得到斐波那契螺旋线,然后依次连接P₁P₂,P₂P₃,P₃P4得到螺旋折线(如图),已知点P₁(0,1),P₂(﹣1,0),P₃(0,﹣1),则该折线上P10的点的坐标为_______.
【解析】我们把1,1,2,3,5,8,13,21,34,…组数称为斐波那契数列,观察图象,推出P10的位置,即可解决问题.
由题意,P5在P₂的正上方,推出P9在P6的正上方,P10在P7的正左方,
且P10的横坐标为:﹣34﹣6=﹣40,P10的纵坐标与P7的纵坐标相等是﹣9,
所以P10的坐标为(﹣40,﹣9),故答案为:(﹣40,﹣9).
5.意大利著名数学家斐波那契在研究兔子繁殖问题时,发现有这样一组数:l,1,2,3,5,8,13,…其中从第三个数起.每一个数都等于它前面两个数的和.现以这组数中的各个数作为正方形的边长值构造如下正方形:
再分别依次从左到右取2个、3个、4个、5个…正方形拼成如下长方形并记为①、②、③、④…
相应长方形的周长如表所示:
(1)仔细观察图形,求出上表中的x与y的值?
(2)若按此规律继续作长方形,则序号为⑨的长方形周长是 .
【解析】(1)如图③,x=2×(2+3+3)=16,
如图④,y=2×(3+5+5)=26;
(2)由分析知:第1个长方形的周长为6=(1+2)×2,
第2个长方形的周长为10=(2+3)×2,第3个长方形的周长为16=(3+5)×2,第4个长方形的周长为26=(5+8)×2,第5个长方形的周长为42=(8+13)×2,第6个长方形的周长为68=(13+21)×2,
第7个长方形的周长为110=(21+34)×2,
第8个长方形的周长为178=(34+55)×2,
第9个长方形的周长=(55+89)×2=288;
故答案为:288;
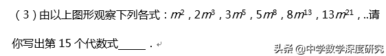
(3)系数与m的次数都是斐波那契数列,指的是这样一个数列 1,2,3,5,8,13,21,34,55,89,144,233,377,610,987,1597,…
∴第15个代数式是987m^1597,
本题是对图形变化规律的考查,读懂题意"从第三个数起,每一个数都等于它前面两个数的和"是解题的关键,也是本题的难点.
6.由于斐波那契的数学才能受到当时罗马帝国皇帝弗里德里希二世的垂青,因此他常被邀请到宫廷组织数学竞赛.大约公元1225年,久负盛名的斐波那契应召入宫.
在宫廷举办的数学竞赛中,斐波那契曾提出过如下的"苹果问题":一个人经过七道门进入苹果园,摘了许多苹果。离开果园时,给第一个守门人一半苹果加1个;给第二个守门人余下的一半苹果加1个;对其他五个守门人也是如此这般,最后他带1个苹果离开果园.请问他当初一共摘了多少苹果?
解答:运用逆推法:如果把第七个守门人的苹果拿回来1个,此时摘苹果的人有2个苹果,而这2个苹果恰恰是给第七个守门人之前的一半,因而给第七个守门人之前有(1+1)×2=4(个)苹果;同样,把给第六个守门人的苹果拿回来1个,此时摘苹果的人有(4+1)个苹果,而这5个苹果恰恰是给第六个守门人之前的一半,因而给第六个守门人之前有(4+1)×2=10(个)苹果……依次类推,给第一个守门人之前有(190+1)×2=382(个)苹果,这正是他当初摘的苹果数.
版权声明:我们致力于保护作者版权,注重分享,被刊用文章【斐波那契数列证明(走进斐波那契数列问题)】因无法核实真实出处,未能及时与作者取得联系,或有版权异议的,请联系管理员,我们会立即处理! 部分文章是来自自研大数据AI进行生成,内容摘自(百度百科,百度知道,头条百科,中国民法典,刑法,牛津词典,新华词典,汉语词典,国家院校,科普平台)等数据,内容仅供学习参考,不准确地方联系删除处理!;
工作时间:8:00-18:00
客服电话
电子邮件
beimuxi@protonmail.com
扫码二维码
获取最新动态
