梦晨 发自 凹非寺 量子位 报道 | 公众号 QbitAI
n阶矩阵乘法最优解的时间复杂度再次被突破,达到了O(n^2.3728596)。
按定义直接算的话,时间复杂度是O(n³)。
光这么说可能不太直观,从图上可以看出,n足够大时优化后的算法就开始表现出明显优势。
矩阵乘法在深度学习中有着广泛的应用,像卷积神经网络(CNN)中最耗时间的卷积计算,就经常被映射成矩阵乘法。
△图源:DOI 10.3390/electronics8010065
虽然在具体实现上还有很多障碍,但矩阵相乘底层算法的优化,至少在理论上为深度学习节省时间提供了可能性。
而科学家们努力的目标,是使n阶矩阵乘法的时间复杂度尽可能接近理论上的最快速度O(n²)。
本次研究共同作者是一对师徒。
△左:Alman 右:Vassilevska Williams
Josh Alman目前是哈佛大学的博士后研究员,主要研究方向是算法设计和复杂度理论。
Virginia Vassilevska Williams是他在MIT读博士期间的导师,研究方向是组合数学和图论在计算领域的应用。
Strassen:用加法替代乘法
矩阵乘法的时间复杂度直到1969年才第一次被Volker Strassen降至O(n³)以下。
看过《算法导论》的同学应该很熟悉Strassen算法。
以2阶矩阵相乘为例,总共需要进行2³=8次乘法,而2ⁿ的高阶矩阵相乘可以用分块法不断迭代细分解成若干个2阶子矩阵相乘。
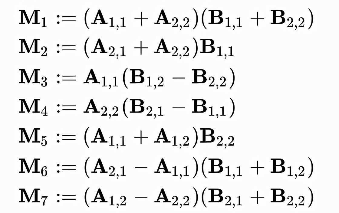
Strassen巧妙地通过构造7个中间变量,用增加14次加法为代价省去了一次乘法。
对于
定义
则有
像这样,在M₁-M₇的计算中只有7次乘法操作。由于矩阵乘法计算中乘法的复杂度是O(n³),而加法的复杂度只有O(n²),n越大时此方法的收益就越大。
且分块后每个子矩阵相乘都可以省去一次乘法操作,最终把时间复杂度降低到O(n^2.807)。
这么绕的算法到底怎么想出来的?可惜Strassen在论文中并没有说明这一点。
Strassen算法在实际应用时受到很大限制,如运行时会创建大量的临时变量,在n不够大时反倒更耗费时间。
还有只适用于稠密矩阵,针对稀疏矩阵有更快的专门算法。
但最重要的是,Strassen的办法让学界意识到,原来矩阵乘法问题还有优化空间啊!
激光法:用张量替代矩阵
20世纪70年代末期,科学家们找到了解决问题的新思路,将矩阵计算转换为张量计算。
1981年,Schonhage将此方法优化到O(n^2.522)后,Strassen把这个方法命名为“激光法(Laser Method)”,因为和正交偏振激光有相似之处。
在后来的几十年中,矩阵乘法的每次优化都来自激光法的优化,即如何更有效地把矩阵问题转换成张量问题。
Alman和Williams的优化算法只比14年LeGall的O(n^2.3728639)减少了4e^(-6)。
从历次优化的幅度来看,似乎已逼近激光法的极限。
能算得更快了吗?
激光法很少在实际中应用,因为它只在n足够大,大到现代计算机硬件几乎无法处理的时候才能提供优势。
这样的算法被称作“银河算法(Galatic Algorithm)”。
在业界使用最多的还是通过分块法和并行处理控制矩阵的规模。当n不大时,再通过循环展开,内存布局优化等办法针对直觉算法的优化。
还有一点,现实中由于浮点数精度的限制,Strassen法和激光法在计算大规模矩阵时都会产生不小的误差。
△图源:DOI 10.1109/ICPADS.2011.130
矩阵乘法的加速,看来还没那么容易。
论文链接https://arxiv.org/abs/2010.05846
参考链接:[1]https://www.quantamagazine.org/mathematicians-inch-closer-to-matrix-multiplication-goal-20210323[2]https://en.wikipedia.org/wiki/Matrix_multiplication_algorithm[3]https://www.researchgate.net/publication/330315719_A_Uniform_Architecture_Design_for_Accelerating_2D_and_3D_CNNs_on_FPGAs[4]http://www.theoryofcomputing.org/articles/gs005/gs005.pdf[5]https://www.youtube.com/watch?v=J5LK1SChxGs[6]http://www.cs.toronto.edu/~yuvalf/AmbFilLeG14.pdf
— 完 —
量子位 QbitAI · 头条号签约
关注我们,第一时间获知前沿科技动态
版权声明:我们致力于保护作者版权,注重分享,被刊用文章【证明矩阵相似(矩阵乘法计算速度再次突破极限)】因无法核实真实出处,未能及时与作者取得联系,或有版权异议的,请联系管理员,我们会立即处理! 部分文章是来自自研大数据AI进行生成,内容摘自(百度百科,百度知道,头条百科,中国民法典,刑法,牛津词典,新华词典,汉语词典,国家院校,科普平台)等数据,内容仅供学习参考,不准确地方联系删除处理!;
工作时间:8:00-18:00
客服电话
电子邮件
beimuxi@protonmail.com
扫码二维码
获取最新动态
