作者 | 刘洋洲
来源 | 转自知乎专栏《万物皆数也》,“数学英才”获授权转载,在此感谢!
质数(prime number),又称为素数:
质数是只有1和自身两个因子的自然数。大于1的非质数是合数,1既不是合数也不是质数。
质数无法摆成矩形
算术基本定理体现了质数的地位。
定理1(算术基本定理)对于正整数,都可以表示为质数的乘积,
不考虑质数排列顺序,这样的分解是唯一的。如果把1也算作质数,则质因数分解不唯一。每个正整数就像是一个由质数构成的化合物,都可以被分解成最简的质数原子,每个正整数的“化学式”都是唯一的。事实上,由算术基本定理,我们可以把正整数写为如下形式:
于是我们可以只通过指数列就可以表示任意正整数。质数的概念至少在古希腊时期已经出现,然而两千年过去了,质数的规律依然没有完全昭示世人。因为质数的规律近乎于随机行为,没有人能准确预言下一个质数落在什么地方。古希腊数学家埃拉托斯特尼的筛法是判定质数最基本的工具:
定理2(埃氏筛法)若不能被之前的所有质数整除,那么是一个质数.
之所以只需检验之前的质数,是因为反比例函数关于轴对称.
质数是否是有无穷个?欧几里得给出了一个鬼斧神工的证明:假如有有限个质数,那么考虑数,显然不能被已知的所有质数整除。此时分两种情况:
若是质数,但(因为比已知的质数都大),这与假设矛盾;
若是合数,由算数基本定理,必然存在某质数是的质因数,然而(因为已知的质数都不能整除),矛盾。
于是假设不成立——
定理3质数有无穷个!
质数是整数乘法系统的基石,很多命题只要质数成立,则对于一般的整数自然成立。
质数如此不规律,相邻质数间距也是数学家关心的问题。事实上质数间距可以任意大,只需要注意到下面这个连续的合数列
如果把质数的间距视为一个数列,那么这个数列中存在子列(所谓子列从集合的角度就是一个无穷元素的子集,但是新数列的排序依然按照原数列下标的从小到大排列,例如奇数列就是自然数列的子列,并且奇数按照由小到大的顺序排列),这个子列趋于正无穷。这个现象我们表示为:
孪生质数是指相差为2的质数对。我们把从项以后最小的质数间距列出来,
但是无人知晓这个数列的2是否有尽头,也有可能随着项数充分大后,质数间距不再小于等于4,6,8,……甚至会趋于无穷。2013年,张益唐给出一个令人安心的答案:这个数列不会超过七千万,即
而孪生质数猜想则等价于:
质数和等差数列也有着独特的缘分。
定理4(狄利克雷定理) 形如的等差数列中包含无数个质数,当 .
2004年,格林和陶哲轩还证明了,质数中存在任意长度的等差数列。
图片背景是质数螺旋图
我们把满足如下性质的数论函数命名为乘性函数:若,则
由于大于1的正整数都可以质因数分解,于是对于乘性函数而言,
于是求函数值可以转化为求 的值。
例如欧拉函数表示不超过的正整数中,与互质的个数。欧拉函数就是一个乘性函数:
引理5若,则
证明:设是不超过、与互质的数全体;是不超过、与互质的数全体。因为,有
于是至少有个数与互质,即.
反过来,与互质的数,一定与和互质,用同样的方式可以构造出,中的数同时与和互质,并且,则可以说明.
容易计算
于是利用欧拉函数的乘性,可得
推论6,
关于欧拉函数有著名定理
定理7,则
只需令即有
推论8(费马小定理) ,则
证明很简单,但需要补充缩剩余系的内容,故省略。顺便一提——
定理9(威尔逊定理) 是质数的充要条件
威尔逊定理也有很多变体
<公式左右滑动可见>
但是并不实用。目前计算机快速判别质数的方法基于费马小定理的逆命题,然而逆命题不成立存在反例——伪质数,只不过它出现的概率极低。
就连欧拉也感慨:“世界上有许多人类智慧无法解释的奥秘,看一眼质数表就会发现,它是如此毫无秩序,毫无规则可言。”不过欧拉还是凭借他非凡的洞察力,发现了如下公式:
定理10
<公式左右滑动可见>
证明:证明只需要用到等比级数公式:
然后展开括号,
<公式左右滑动可见>
比较原式左右两边的项,不重不漏一一对应。(绝对收敛级数的求和顺序不影响最后结果)
事实上,利用该式也可以证明素数有无穷个,假设质数有限,则
然而令,
调和级数发散。于是等式左右两边同时取极限不相等,矛盾。
利用高等数学的技巧,我们可以得到时的特例:
推论11
质数、自然数、圆周率被奇妙地联系在一起。
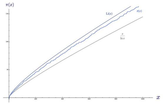
当时的人们并没有意识到欧拉这个恒等式有何作用。另一方面,高斯和勒让德猜测了质数渐进公式:
定理12(素数定理)
值得一提的是勒让德关于素数计数函数的公式:
定理13(勒让德),
<公式左右滑动可见>
这个公式实际上和欧拉函数公式(推论5)有一定的关联性。假如上面的公式等号右边取整号全部去掉,则
其中. 于是得到
这该怎么理解呢?因为对于而言,之前的数都可以被整除,也就是与都不互素;之后与互素的只能是新的质数了。当然,这个有趣的推理其实非常不严谨,它基于一个难以实现的前提——能整除之前的所有质数。
直到黎曼将欧拉定义的函数解析延拓到复平面(挖掉这个奇点),一切变得明朗起来。黎曼甚至给出更精确的素数定理的猜想,它等价于我们现在所说的黎曼猜想:的非平凡零点全部分布在这条直线上。
而原始的质数定理只需要证明:上无零点。这个事实最终在1896年由阿达马和德·拉·瓦莱布桑按照黎曼的思路,各自独立地利用高深的整函数理论证明。1949年,塞尔伯格和埃尔德什分别独立地给出素数定理的初等证明。
质数定理的证明
质数的研究或许永远没有尽头。质数就像是一群调皮的孩子,任意对他画出种种条条框框,都不能尽皆约束;然而他偶尔也有听话可爱的一面,在你不知道的地方,零零散散站立着,等待数学家去发现。
数学英才
中学生英才计划
数学学科官方公众号
推送数学微慕课和学习资料
版权声明:我们致力于保护作者版权,注重分享,被刊用文章【威尔逊定理证明(质数是一群调皮的孩子)】因无法核实真实出处,未能及时与作者取得联系,或有版权异议的,请联系管理员,我们会立即处理! 部分文章是来自自研大数据AI进行生成,内容摘自(百度百科,百度知道,头条百科,中国民法典,刑法,牛津词典,新华词典,汉语词典,国家院校,科普平台)等数据,内容仅供学习参考,不准确地方联系删除处理!;
工作时间:8:00-18:00
客服电话
电子邮件
beimuxi@protonmail.com
扫码二维码
获取最新动态
