本次内容重点剖析考研线代里面常用的矩阵分解考法,穿插回顾:矩阵等价与向量组等价的关系,秩等内容。
在此仅谈考研数学中常用的矩阵分解的构思C=AB,将一个矩阵C拆分为两个矩阵的乘积AB,有时候方便研究问题,在求行列式,讨论秩,相似等均有应用和考察。
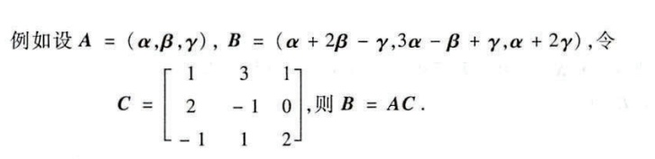
矩阵分解:若一个矩阵B的每一列向量都可以由另一个矩阵A的列向量组线性表示 (特征),则可对B进行矩阵分解为:B=AC,其中C是对应的表示系数矩阵(构思)。
截图来自尤承业老师线代讲义
例:如上图B的每一个列向量均可由A的列向量线性表示。
特征:回答了什么时候用的问题,构思:回答了怎么用的问题。
[相关知识链接]:向量β,α1,α2,···αn,若存在一组数k1,k2,···kn,使得β=k1α1+k2α2+···+knαn,则称β可以被α1,α2,···αn向量组表示。
α+2β=α+2β+0γ,向量 α+2β可被向量组:α、β、γ表示
请仔细观察下面例题,为什么想到想到用矩阵分解?
(一)、矩阵分解在行列式中的应用
例.设3阶矩阵A=(α1,α2,α3),|A|=1,B=(α1+α2+α3,α1+2α2+3α3,α1+4α2+9α3),求|B|=?
分析:抽象行列式,主要利用行列式、矩阵,相似的性质及结论来求解。
一眼可见B的每一列向量,都可以由A的列向量组表示,立马想到矩阵分解 B=AC
关于C=AB的理解:表示与秩的构思
理解角度1:C=AB表示角度结论
矩阵C=AB的列向量可由A的列向量线性表出;矩阵C=AB的行向量可由B的行向量线性表出。[对比记忆]:C=AB····即AB=C,对比向量方程:AX=C,C的列向量可以由A的列向量表示。亦可结合具体的例题来理解抽象的理论文字语言,如上题B的每一列向量都可由A的列向量线性表示。一个具体的解决解决几个问题。
同理:对B, C按行分块,可见:C的行向量可以由B的行向量组表示。
例2.由于AB=C,可见C的列向量可由A的列向量表示;又因为B可逆,故A=CB-,再利用一次结论,可见A的列向量可被C的列向量表示;进而C和A的列向量可相互表示,列向量组等价。故选B
定理:初等变换不改变矩阵的秩
结论:可逆矩阵A可以写成一系列初等矩阵的乘积
[α1 α2 α3,α1+2α2-α3]… → 初等列变换 → [α1 α2 α3,o]
故:R[α1 α2 α3,α1+2α2-α3]=R [α1 α2 α3,o]= R[α1 α2 α3]
[A,AB]→[A,O] 初等列变换;
[Aα1,Aα2]=A[α1,α2]
拓展点:矩阵等价与向量组等价的关系,两者没有必然关系(考生易混点)
1.向量组等价:向量组能互相表示
2.矩阵等价
定义:如果矩阵A经过有限次初等变换化为B,则矩阵A与B等价 。
(文字语言,相应的数学矩阵语言如何表达呢?)
判别方法:
定理1:A,B是同型矩阵,且秩相等R(A)=R(B),则矩阵A与B等价
定理2:存在可逆矩阵P,Q使得,PAQ=B,则矩阵A,B等价→R(A)=R(B)
3.初等变换的几点补充
矩阵A经过初等行变换变成矩阵B,有以下结论:A,B的行向量组等价。 A,B的列向量组具有相同的线性关系 →求极大线性无关组会用到。 齐次方程组AX=0与BX=0是同解方程组
分析:表达为数学语言,再利用有关理论研究。
矩阵语言:存在初等矩阵P1,P2···Pn,使得:P1P2···PnA=B,由前文的解读分析,可知B的行向量可由A的行向量表示。又由于初等变换中初等矩阵是可逆的。
即A=Pn-····P2-P1-B,此时A的行向量又可由B的行向量表示,即A,B行向量能互相表示,进而A,B的行向量组等价。
解方程组是利用初等行变换:互换两行,某行K倍,把某一行加到另外一行(消元),不改变方程组的解。即初等行变换是同解变换。
A→初等行变换→B,AX=0与BX=0是同解,但AX=C,与BX=C不一定是同解,反例相信你能例举出来。
同理可得到初等变换有关结论。
4.矩阵等价与向量组等价无必然关系
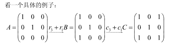
1.矩阵A经过初等变换得到B,C,因此矩阵A,B,C等价;亦可从A、B、C是同型3阶矩阵,且秩相等,故矩阵A、B、C等价。
2.矩阵A经过初等行变换得到矩阵B,此时A的行向量组与B的行向量组能互相表示,即行向量组等价,但B的第1列不可由A的列表示,可见他们的列向量组不等价,因此初等行变换不能推出列向量组等价,但A、B的列向量组线性关系相同,A的第一列和第二列线性无关,B同样。
3.矩阵B经过初等列变换得到矩阵C,此时B的列向量组与C的列向量组能互相表示,即列向量等价,但C的第一(三)行不可由B的行表示,可见行向量不等价。但行向量组间线性关系相同。
4.可见矩阵等价与向量组等价并没有直接关系。
相关链接回顾:利用秩判别向量组相关、无关
“三秩相等理论”:R(矩阵A)=R(A行向量组)=R(A列向量组)向量组相关无关秩的判别理论:若向量组的秩R(A)与向量组所含向量个数的关系,若相等则无关,若不等则相关。温馨提醒:判别前要先看好是行向量还是列向量
Am*n=[a1 a2 ····an],列向量个数为n个,判别列向量组是否线性无关,即:
判别R(A)与列向量组所含向量个数 n的关系:
① 若R(A)=n,则A的列向量组向量无关,
② 若R(A)<n,则A的列向量组向量相关
同理:判别R(A)与行向量组所含向量个数m的关系,若R(A)=m,则A行向量组无关,否则相关。
注意体会里面为什么是判别R(A)与n,R(B)与m?(二)、矩阵分解C=AB在讨论秩中的应用,引申讨论相关无关
1.若A是可逆矩阵,则R(AB)=R(ABE)=R(B) ;
证:单位矩阵召之即来,对比等价的定义;
存在可逆A,E使得,ABE=C,则矩阵B与C等价,进而:R(AB)=R(C)=R(B)
2.若Am×n矩阵的秩为R(A)=n,即A列向量线性无关,则R(AB)=R(B)
证明当A列满秩,则R(AB)=R(B)
秩的证明:大小夹或转化为方程组问题(同解问题)
只要证明:ABX=0 与BX=0同解→ 解向量含线性无关向量个数相等→秩相等
证:设Am×n,Bn×s
显然BX=0的解都是ABX=0的解,又因为A列满秩,故齐次方程组AY=0仅有零解,即BX=0,即ABX=0的解也全是BX=0的解,进而同解。
S-R(AB)=S-R(B),证毕。
行的时候,转置即列
3. R(AB)≤min{R(A),R(B)} R(A)≤min{m n} “矩阵的秩越乘越小”
思考2:ABX=0与BX=0的关系,显然BX=0的解都是ABX=0的解,
(部分解不多于全部解),n-R(AB)≥n-R(B)
又因为R(A)=R(AT),转置可得另外一边。
#题外话#:≤min{m,n} 小于等于最小的,意味着它小于等于每一个,≤m 且 ≤n 抽象结合具体理解:3≤min{5,4},无论4与5谁大,3≤4,3≤5是必然都成立的。[见C=AB秩的构思]:拿到矩阵先看行列数,确定是几阶。先看A,B是否有可逆矩阵(列满秩),若有可逆矩阵(列满秩),则可以得到:C与A或B的确切秩的关系。若A,B条件没有可逆矩阵,则想到“越乘越小理论”:R(AB)≤min{R(A),R(B)}再利用条件和矩阵本身的秩与行列数的性质,R(Am×n)≤min{m,n},一大一小夹,往往可确定秩的信息。实在不行的时候转为等价方程问题,示AX=C;
由此:若C的每一列向量都可以由A的列向量表示,进行矩阵分解C=AB,此时若A列线性无关或可逆,则R(C)=R(AB)=R(B),而其中B是具体的表示系数矩阵,容易判别出秩,由此就可讨论矩阵C的秩,相关无关,可逆与否,行列式。有时候要先做一步拼矩阵的工作。
有关C=AB秩的结论,理解记忆即可
分析:B的每一列都可由A的列表示,因此可矩阵分解为B=AC,要判别B线性无关,即判别
R(B)=3与否?,根据前面定理可知晓:当A列线性无关的时候,R(B)=R(AC)=R(C)
当然注意体会证明过程中的越乘越小等结论的运用。
例3.分析本题B选项,要判别相关无关,即判别R(····)=4 (向量个数)?
因此先表达,拼矩阵,再发现矩阵分解的特征,进而B=AC,利用前面的结论:因为A列线性无关,故R(B)=R(AC)=R(C)=4,也可用R(B)=R(EAC)=R(A)=4
证明抽象矩阵的秩:一大一小夹法,要会这个定秩。
思考题:
1.特征值与行列式,矩阵迹,可逆,齐次方程组,二次型的标准型,规范性,正负惯性指数,秩的关系是什么?
2.秩可以确定那些东西,与各章如何联系的?具体的怎么求,抽象的怎么求?
3.常见的等价表述有哪些?
- 向量与方程如何联系的?
-同一个问题的不同表述有哪些常见的?
-常见的文字语言翻译为数学语言:二次型A经过可逆(正交)或初等变换化为二次型B
4.思考题5:线性代数中常见的参数预处理有哪些、怎样预处理的?
(三)、矩阵分解思想在求特征值特征向量中的应用:An×nα=λα,α≠0的理解
思维:只要出现该等式An×nα=λα,α≠0,则立马读出:A的一个特征值是λ,对应的特征向量是α。
常见条件设置:方阵A的每一行元素之和为K。
(四)、矩阵分解在相似中的应用,P-AP=B,AP=PB
读一段评注分析,记一类构思:以后见到此结构要会这种处理。
问题:已知抽象可逆P=[α1α2 α3],且f(A)=0关于A的多项式,求P-1AP=B,AP=PB中的B?分析:由于P抽象,坐标未给非具体,因此P逆不可求,故在求B的过程中,要绕开它不求P逆。那又怎样求B呢?答案当然是矩阵分解,实际这个过程的思路是论证如何找到可逆P使得P-AP=对角矩阵过程中用到的。
P-AP=B→ 绕开P逆→变形:AP=PB
程序:表达→ 代入已知条件→ 矩阵分解为:P?,进而?=B
Step1:先表达AP=C
Step2:带入已知条件f(A)=0
Step3:对C进行矩阵分解为:C=P?,则?=B,C的列向量都可由P的列向量表示,B此时往往就是具体的表示系数矩阵。
进而再利用A与B相似,B具体,通过讨论具体B,研究抽象A的行列式,特征值,特征向量,是否可相似对角化问题。
例4.2001年数一考题
第二问:本题A抽象未给元素,要求抽象矩阵的行列式,利用行列式,矩阵,相似的性质;第一问为第二问服务,提供了A与B相似,若B是具体矩阵,则问题就非常常规基础了,
第一问:已知抽象可逆P,其逆无法求,A不知,条件有f(A)=0,要求P-1AP=B的B,要绕开P逆不求。
解答:先表达AP=···→带入已知条件f(A)=0→分解出:P?,此时?=B,往往即具体的矩阵。
例题5.2005年数四考题
例题6.2008年数2、3
例题7,2020年数三
例题8-例题12相似定参数
已知相似定参数→利用好相似的必要条件:2个未知数需要2个有效方程。
优先用迹,再行列式→结合一个特征值的特征多项式(不行再换个特征值)→特征多项式相同
通过上面两组题可见:历史在吟唱着一个永恒的主题:“经典的考题不会规避,会反复出现”,切记做好、做透彻真题、尽量做全面。(五)、特殊对角矩阵的分解,当对角元素均正时候,对角阵可写成另一个对角阵的次幂
对角阵乘积:对角元素对应相乘。因此正对角阵可写成一系列对角的次幂
思考题
为了节省时间,因此有些题目就直接截图用了一些参考书的题,在此表示感谢。本文档仅为分享,希望能理解。由于篇幅有限,就不再设置课后习题了,自行真题,资料里面寻找类似的,结合具体的例题去理解复习。希望对大家有所帮助。
版权声明:我们致力于保护作者版权,注重分享,被刊用文章【证明向量组等价(矩阵分解在考研线代中的应用)】因无法核实真实出处,未能及时与作者取得联系,或有版权异议的,请联系管理员,我们会立即处理! 部分文章是来自自研大数据AI进行生成,内容摘自(百度百科,百度知道,头条百科,中国民法典,刑法,牛津词典,新华词典,汉语词典,国家院校,科普平台)等数据,内容仅供学习参考,不准确地方联系删除处理!;
工作时间:8:00-18:00
客服电话
电子邮件
beimuxi@protonmail.com
扫码二维码
获取最新动态
