文章来源:沪江高考
高考的题目中,有80%都是中低档难度,也就是说,要想脱颖而出成为佼佼者,压轴题是无论如何都要攻克的难关!
压轴题目一般是开放型的题目,每年都是会变化。但大概率题目是函数、数列、圆锥曲线、不等式等知识的综合问题。
今天,我就来总结一下不等式的证明方法。
所谓比较法,就是通过两个实数a与b的差或商的符号(范围)确定a与b大小关系的方法,即通过
来确定a,b大小关系的方法。前者为作差法,后者为作商法。
但要注意作差法适用范围较广;作商法再用时注意符号问题,如果同为正的话是没有问题的,同为负的话记得改变不等式的符号。
这两个方法我们一般会一起使用。
分析法是从求证的不等式出发,分析这个不等式成立的充分条件,把证明这个不等式的问题转化为证明这些条件是否具备的问题。
如果能够肯定这些条件都已具备,那么就可以判定所证的不等式成立。
综合法是从已知或证明过的不等式出发,根据不等式的性质及公理推导出欲证的不等式。
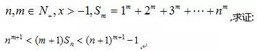
我们来看一个例题,已知
如果要用综合法或者分析法的话,对于过程上需要写明,即证,所以要证,也就是说,即等价于……一些转化的语句来过渡我们的题目。
当然这两个方法我们经常一起用,因为分析完条件,分析结论,两个一起分析做题速度更快一些呢。
从否定结论出发,经过逻辑推理,导出矛盾,证实结论的否定是错误的,从而肯定原结论是正确的。
这个方法其实是按照集合的补集理论来的,正难则反,但是要注意用反证法证明不等式时,必须将命题结论的反面的各种情形都要考虑到,不能少的。
反证法证明一个命题的思路及步骤:
1) 假定命题的结论不成立;
2) 进行推理,在推理中出现下列情况之一:与已知条件矛盾;与公理或定理矛盾;
3) 由于上述矛盾的出现,可以断言,原来的假定“结论不成立”是错误的;
4) 肯定原来命题的结论是正确的。
在证明过程中,利用不等式的传递性,作适当的放大或缩小,证明有更好的不等式来代替原不等式。
放缩法的目的性强,必须恰到好处,。同时在放缩时必须时刻注意放缩的跨度,放不能过头,缩不能不及,灵活性很大。
这个方法比较尴尬,容易的题目很好用,难的题目不好用,但是其实可以用。
它的基本思路是对于含有n(n∈N)的不等式,当n取第一个值时不等式成立,如果使不等式在n=k(n∈N)时成立的假设下,还能证明不等式在n=k+1时也成立,那么肯定这个不等式对n取第一个值以后的自然数都能成立。
比如下边这个例题,我们可以用数学归纳法,但是重点是放缩和转化求解,这也是难点,所以数学归纳法的尴尬就在这个位置了呢,对于这个方法只能说能用就用,不能用不要勉强。
对于其他的方法,有换元法,均值不等式法,求导法,不一一说明,因为这几个都很常见。
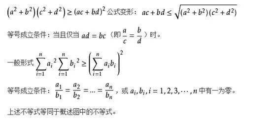
还有一个要重点说明一下就是柯西不等式,这个是大学才学的内容,但是有些压轴题目就是用这个不等式求解的,所以咱们介绍一下这个方法。
柯西不等式可以说是我们均值不等式的高级一些的形式,证明思路也是和我们的均值不等式差不太多,所以大家对于一些知识的来源要注重一下,因为这是我们创新的基础。
好啦,不等式的证明方法很多种,本文仅仅总结一些常见的方法,大家做题的时候要好好思考,好好的做一下,才能真正的学有所得。
版权声明:我们致力于保护作者版权,注重分享,被刊用文章【用反证法证明我爱你(高中数学)】因无法核实真实出处,未能及时与作者取得联系,或有版权异议的,请联系管理员,我们会立即处理! 部分文章是来自自研大数据AI进行生成,内容摘自(百度百科,百度知道,头条百科,中国民法典,刑法,牛津词典,新华词典,汉语词典,国家院校,科普平台)等数据,内容仅供学习参考,不准确地方联系删除处理!;
工作时间:8:00-18:00
客服电话
电子邮件
beimuxi@protonmail.com
扫码二维码
获取最新动态
