自从我们发布阿蒂亚爵士以及北京大学82岁退休教授李忠宣布证明黎曼猜想的消息(实锤!北大退休教授已于13日在中科院报告黎曼猜想的证明)后,有不少网友问什么是黎曼猜想? 我们不揣浅陋,试着介绍一点皮毛。
关于黎曼猜想的一个热门评论是:一脸懵逼地进来,一脸懵逼地出去。
为了避免这一点,我们尽可能通俗地讲点数学,讲点故事。
没有数学内容,就很难对黎曼猜想有好的了解,就像欣赏音乐,如果不讲点音乐知识,可能不易使读者真正对音乐有真正的欣赏。
当然,我们也有故事。这样,如果有我们没讲清楚数学的地方,希望故事还有点趣,读者跳着读读还会有些收获。
怎样了解黎曼猜想呢?黎曼猜想经过159年的研究,自然有不少故事。我们不妨从源头开始看起,看黎曼为什么要提出这样一个猜想。很多时候,问题的起源可能是最重要的。
黎曼和他的函数
黎曼猜想是历史上最伟大数学家之一的黎曼在1859年在一篇名为《论小于给定数的素数的个数》文章中提出的。
波恩哈德·黎曼(Bernhard Riemann, 1826—1866年)是德国著名的数学家,受过高斯的指导。黎曼一生只活了40岁,论文也不多,但他的每一篇论文几乎都开创了一个学科一个方向。特别是他开创了黎曼几何,给后来爱因斯坦的广义相对论提供了数学基础。
如果你只想在一分钟之内了解黎曼猜想,黎曼猜想那就是下面这段话:
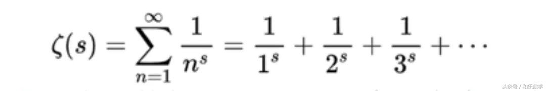
黎曼在这篇文章中注意到函数
ζ函数
与素数分布有关,并猜测该函数的非平凡零点恰好在实部为1/2的直线上。这个函数现在称为黎曼ζ(zeta)函数。
黎曼提出这个猜想不是瞎想,他老老实实地算了很多值。当然他没有发表。一个又名的传奇故事是,有人从黎曼留下的草稿中发下了黎曼的一个计算公式,还得了,这就是现在称为黎曼-西格尔公式的计算公式。
如果你想多了解一点,且容我们慢慢道来。
素数(这里的英文定义有个错误,也是常见的错误)
黎曼的研究源于数论。数论是数学的女王。素数性质的研究一直是数论研究的要点和难点,最近张益唐有关孪生素数猜想的突破就曾引起轰动。
所谓素数就是只有1和自身为因子且大于1的正整数(小学中一般称为质数),如2,3,5,7,11,13,17,19,23等。(大于1就排除1是素数)
素数表
素数为什么重要呢?一个原因是它是构造所有整数的基础材料。任何一个整数都可以唯一地分解为素数的乘积,这叫做素数基本定理。例如,72=2^3*3^2.
素数是整数的基石
72的素数分解
为了素数基本定理的简洁叙述或许是规定1不是素数的一个原因:这样将一个整数表示为素因子之乘积的时候,有唯一表示,例如 18=2*3*3,避免另一种“素因子”表示:18=1*2*3*3)。
早在古希腊时期,亚历山大城的欧几里得已经指导如何用反证法证明了素数有无穷个多个(顺便说一句,这是有史记载的第一个反证法证明的例子)。欧几里得说,如果只有有限个素数,设为p1,p2,...,pn,则它们的乘积与1之和p1*p2*...*pn+1不能不是素数,因为如果不是素数,应该能被p1,p2,...,pn中至少一个整除,但事实上,用p1,p2,...,pn中任意一个数除p1*p2*...*pn+1时,总有余数1。但p1*p2*...*pn+1是一个新的素数,从而矛盾。
欧几里得
关于素数的一个首当其冲的问题就是素数是如何分布的,如何产生的。
有没有一个产生素数的公式呢?这可能是许多人都会想起的问题。事实上,欧拉也想到了,而且发现了一个很好的公式,可惜的是,并不能产生所有的素数,这个公式产生的数也不全是素数。如果很幸运,恰好是素数,就称这个数为欧拉素数。
欧拉像
欧拉提出的公式是 n^2+n+41. 我们可以检测下:
0^2+0+41=41
1^2+1+41=43,
2^2+2+41=47,
3^2+3+41=53,
4^2+4+41=61
都是素数。这个公式足够神奇了。然而,当n=40时,
40^2+40+41=1681
不是素数:1681=41*41.
为了研究素数有多少个,数学家们研究小于给定数的素数的个数,并直接定义了一个素数计数函数π(x),用它表示小于或等于x的素数的个数。
例如,小于或等于3的素数只有2个,即2和3,所以π(3)=2;小于或等于10的素数有4个:2,3,5,7,所以π(10) = 4; 小于或等于20的素数有2,3,5,7,11,13,17,19,一共8个,所以π(20)=8.
下面的表格的第2列列出了π(x)的一些取值。有了计算机,是不难算出这个函数的一些取值的。读者可以想想在高斯那时代是如何计算的呢?
素数计数函数表
让我们且将素数计数函数按下不表,先回到黎曼ζ函数。这里要仔细了解几点:
黎曼ζ函数中的自变量s是复数,即x+iy这样的复数。零点就是指使得ζ函数取值为0的s的值。黎曼注意到ζ函数有平凡的零点,就是负偶整数:-2,-4,-6,-8......。了解黎曼猜想的一个难点是要了解这个函数的定义,也就是这个无穷和是什么意思。
我们先从s是实数时的ζ函数谈起。
当s时实数时,这个无穷和(级数)只有当s>1时才是收敛的,也就是说,这个求和才有意义。例如,当s=1是,这个求和就是著名的调和级数
1+1/2+1/3+1/4+...
这个求和的量虽然积累起来很慢,当加到足够多的项时,这个和可以超过任何预先给定的数,也就是说这个和时无穷大的。数学上讲,就是说这个级数发散。
又如,当s=-1时,这个和显然就是
1+2+3+4+5+...
显然,这个和是无穷大。
在黎曼之前,数学巨匠欧拉已经发现了调和级数与素数奥秘。欧拉用调和级数发散证明了素数有无穷多个。计算如下:
其中p表示素数。因为调和级数是发散的,所以所有素数的倒数和也必定是发散的。否则,如果素数个数有限,就有矛盾,所以素数有无穷多个。
欧拉的发现打开了用分析方法研究素数之门,也启发了黎曼的研究。(将另文介绍欧拉的研究)
黎曼将欧拉研究过的级数加以推广。
他说变量s可以是复数,通过解析延拓,函数对所有复数都有了定义。特别,ζ函数在s=-1时的值为-1/12。粗略地说,就是所有正整数的和为-1/12.
解析延拓是数学上将解析函数从较小定义域拓展到更大定义域的方法。透过此方法,一些原先发散的级数在新的定义域可具有迥异而有限的值。其中最知名的例子为Γ函数与黎曼ζ函数。解析函数是局部上由收敛幂级数给出的函数。
三、素数定理
从黎曼文章的标题可见,黎曼猜想与素数在自然数中的分布有关。高斯通过统计,曾正确地猜测:当x充分大时,小于或等于给定数x的素数个数π(x)近似为x/log(x)。
用公式表示就是:
素数定理
这就是所谓的素数定理。请大家复习上面的素数计数函数表。
高i斯
伟大的数学家高斯亲手计算了很多值(这是高斯最可怕之处,不但天才,而且还能动手做常人不愿意做的事情),但他并没有能给出证明——可见其难。德国有本畅销书,有中译,叫《丈量世界》(从数学名词的翻译看,该书翻译不佳),讲述高斯与洪堡的故事。其中一个故事讲高斯小时候去见资助人斐迪南公爵时,还在心底默默数数,数素数。
勒让德
另一位数学家,勒让德,也在1798年猜测到了这个素数定理结果。
数学家的一大悲剧是碰到像高斯这样的高手:既生瑜何生亮。勒让德在正态分布上也由重要发现,但最终,正态分布仍常被称为高斯分布。另一个悲情如勒让德的还有发现非欧几何的匈牙利年前天才数学家鲍耶·雅诺什。雅诺什也是发现高斯早就发现了非欧几何的存在。
俄罗斯著名数学家切比雪夫是彼得堡数学学派的第二创始人(第一人是欧拉)。概率论中有个切比雪夫不等式,
就是以他的名字命名的。 他对数论颇有研究,例如他曾证明,在n和2n之间必有素数。
1851年/52年,切比雪夫证明,如果极限
存在,则这个极限一定是1,而且还证明了
切比雪夫的结果
但他仍然没能证明。
阿达马
直到1896年,法国数学家雅克·阿达马(Jacques-Salomon Hadamard )和比利时数学家德拉瓦莱普森(Charles Jean de la Vallée-Poussin)才先后独立给出素数定理的证明证明。
我们对阿达马应该感到亲切。1935年,受熊庆来的邀请,阿达马与美国著名数学家、现代控制论创始人维纳(N. Wiener)到清华大学讲学。在阿达马的影响下,许多人赴法留学。
阿达马还向华罗庚介绍了苏联的维洛格拉朵夫及韦尔和方法。阿达马告诉华罗庚,维诺格拉朵夫对华林问题的研究非常出色,该问题是这方面研究的主要方向,从此华罗庚进入了研究堆垒数论的主流。在以后相当长的时间中,华罗庚的工作受到维诺格拉朵夫的影响。阿达玛讲学时,最后只有华罗庚坐在下面听讲从这个方面说,黎曼猜想的研究与中国数论的研究有密切的渊源。
阿达马等人的证明用到了复分析,尤其是黎曼ζ函数。
塞尔伯格
因为人们对黎曼ζ函数感到不可捉摸,毕竟其零点还不清楚。所以,人们一直希望有个初等的证明。几十年之后的1949 年,年仅 31 岁的赛尔伯格就用初等方法重新证明了素数定理——此前的证明用到了复分析方法。他的证明立即轰动了数学界,并使他 1950 年荣获了菲尔兹奖以及1986 年的沃尔夫奖。今年的菲尔兹奖获得者舒尔兹已经是逆天的年轻了,但还是没能打破塞尔伯格的纪录。
著名的流浪数学家爱多士也曾在素数定理的初等证明方面有重要贡献。这方面曾有过争论,这里不再细说。
这个故事看起来很精彩?但这是因为人们对黎曼的函数,黎曼的零点还不清楚。
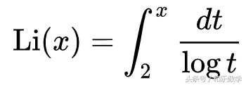
黎曼猜想所描述的的有关素数分布的性质描述比素数定理还要细致。
为了说明这一点,让我们引入对数积分:
对数积分
可以证明:
由此可见,素数定理说的就是π(x) ~ Li(x)。
从下面的图片可以看到素数计数函数是如何被逼近的:
1899,独立证明了素数定理的德拉瓦莱普森还证明了
1901年瑞典数学家海里格·冯·科赫(Helge von Koch)证明黎曼猜想等价于更精细的估计:
强条件下的素数定理
这是比素数定理更精细的余项估计。这就是所谓的强条件下的素数定理。
读者应该注意的是余项的阶。
粗略地说,黎曼猜想等价的素数计数函数的估计可以保证:误差在10000倍的估计可以精确到100倍。
科赫
熟悉数学的同学对这位科赫老兄其实并不陌生。数学中著名的分析Koch曲线就是他提出来的。
科赫雪花
因此,我们说一旦黎曼猜想获证,便能大大改进素数定理的误差估计。
有兴趣的读者可以进一步阅读其他科普图书来了解黎曼猜想的历史。中文中,卢昌海博士的《黎曼猜想漫谈》曾获吴大猷科普金奖,自是有其道理。新浪微博“南方科技大学”转述“数学文化”汤涛院士的话说,卢昌海是黎曼猜想科普世界第一,此话有待商榷。如果是说时间第一,自燃不对;汤院士应该是指该书的质量吧?
我们想介绍,国外也有些优秀这方面的科普图书,例如:
1. 德比希尔 (John Derbyshire) 的 Prime Obsession: Bernhard Riemann and the Greatest Unsolved Problem in Mathematics (Joseph Henry Press, 2003)
2. 索托伊 (Marcus du Sautoy) 的 The Music of the Primes: Searching to Solve the Greatest Mystery in Mathematics (Harper, 2003)
3. 萨巴 (Karl Sabbag) 的 The Riemann Hypothesis: The Greatest Unsolved Problem in Mathematics (Farrar, Straus and Giroux, 2003)
《黎曼博士的零点》有中译:
黎曼猜想一直被视为数学界最伟大、最有价值的问题。它在1900年被希尔伯特列为23个待解决的问题之一,继而又在2000年被克雷数学研究所列为7个悬赏100万美元求解的问题之一。
猜想源于对一个很有意义的问题,即素数的分布的探索。因为问题有意义,很自然地,后来人们又发现有许许多多难题可在黎曼猜想成立的条件获证。特别是人们还发现它不仅是一个纯数学问题,还发现它与和现实世界紧密相关的随机矩阵的特征值分布有关。
黎曼猜想就像一个目标,激发了人们的无穷的探索精神。在寻求证明的过程中,人们可以对数学有更深刻的理解,可以产生新的理论。
我们曾转述阿蒂亚爵士的话说,证明黎曼猜想,如果你还不有名,就会声名鹊起;而过是有名的人,将变得“不著名”。有网友指正说,原文的infamous不是不著名,是声名狼藉。我们实在不愿意将声名狼藉用到勇于探索的斗士身上。
但另一方面,黎曼猜想有如一位冷峻的美人,静待英雄的出现。任何人胆敢染指亵渎,将会声名狼藉——这或许可以说得通。
作为外行,就先介绍这么多。敬请批评指正以加改进。
黎曼猜想的美,等着你们去进一步探索哦。
版权声明:我们致力于保护作者版权,注重分享,被刊用文章【用反证法证明我爱你(什么是黎曼猜想)】因无法核实真实出处,未能及时与作者取得联系,或有版权异议的,请联系管理员,我们会立即处理! 部分文章是来自自研大数据AI进行生成,内容摘自(百度百科,百度知道,头条百科,中国民法典,刑法,牛津词典,新华词典,汉语词典,国家院校,科普平台)等数据,内容仅供学习参考,不准确地方联系删除处理!;
工作时间:8:00-18:00
客服电话
电子邮件
beimuxi@protonmail.com
扫码二维码
获取最新动态
