2014年,一部由英国鬼才导演克里斯托弗·诺兰(Christopher Nolan)执导的科幻电影《星际穿越》(Interstellar)引爆了全球科幻界。电影以其超凡的想象,逼真的画面,以及严密的科学知识让无数科幻迷如痴如醉,尤其是其中关于黑洞与四维空间的刻画,让坐在电影院中的观众叹为观止。
我们生活的宇宙到底是几维的?相信很多人都思考过这个问题。中学讲立体几何时我们知道,就触觉所能感知到的空间而言,它是三维的。因此当我们要定位空间中一点的时候,需要使用三维坐标系,即由x轴、y轴,z轴三个坐标轴组成的坐标系。
1905年,随着爱因斯坦狭义相对论的提出,人们开始关注时间在我们这个宇宙中的度量作用。由德国数学家闵可夫斯基(Hermann Minkowski,1864-1909)提出了所谓的“时空”(space-time)的概念,将时间纳入到宇宙的维度当中,于是我们的宇宙就变成了四个维度——x、y、z再加一个时间轴i,这就是我们熟悉的四维空间的概念。
闵可夫斯基,德国伟大的数学家
那么,在这四个维度之外还有没有其它的维度?物理学家曾提出“超弦理论”,认为宇宙总共有10个维度,但是其中6个维度是蜷曲在普朗克长度之下的,因此我们感知不到。后来又提出“M理论”,将宇宙空间扩展为11维。
但无论如何,上面的理论都缺乏有力的证据。其实别说10维或者11维,就人类目前能理解和感知到的,仅仅是4维空间,4维以上的空间我们连想象都无法想象。
物理学家眼中的四维空间
这时数学家们可要偷着乐了,因为数学研究的是纯粹的形式与关系,所以可以不必拘泥于现实生活,仅利用演绎推理就可以随心所欲地构造出新的研究对象。想象不出来不要紧,只要你能推导出来就可以了。因此在数学家眼中,不只是4维、5维、6维,甚至100维、1000维、10000维,再甚至于无穷维的空间,都是可以构造和研究的。
1949年,美国经济学里昂惕夫为了研究经济运行,将500个生产部门指标输入计算机,相当于构建了500维的空间
当然按照数学中一贯的传统,为了研究高维空间,就得定义什么叫“空间”,什么叫“维数”,以及它们所满足的性质。我们今天就来看一下数学家们是如何工作的。
我们常说,直线是1维的,平面是2维的,立体是3维的。那么我们凭什么这么说呢?2维的“维”又是什么意思呢?这就要回顾一下我们高中学过的有关向量的知识。
比如二维向量,它的几何解释就是平面上带箭头的线段:
我们已经学过,向量与位置无关,就是说它可以自由移动,同时我们还可以定义向量的运算,最基础的就是加减运算和数乘运算:
加减运算和数乘运算我们一般称之为线性运算(linear operation),线性运算是整个空间理论的基础。为了计算的方便,我们把向量放到坐标系里面来研究,因为它可以平移,我们把所有的向量起点都平移到坐标原点,那么就用它的终点坐标来表示这个向量:
可以看出,平面上所有向量的终点就铺满了整个平面,因此我们得到了一个核心的观点:
平面就是所有二维向量的集合,即
所以我们研究空间理论的核心思想就是把空间看成是向量的集合,这其实就是线性空间(linear space)的概念。自然地,三维空间就是所有三维向量的集合。
那么以此类推,四维空间就是所有四维向量的集合喽,n维空间就是所有n维向量的集合,等等,那n维向量又是什么呢?
其实很简单,二维向量就是有两个坐标,三维向量有三个坐标,那么n维向量自然就有n个坐标了。所以我们定义:一个由n个实数排列在一起组成的有序串,就称为一个实数域上的n维向量:
横着写的话称为行向量,有的时候为了形式上的好看,我们也把它竖过来写,称为列向量,行向量与列向量本质上是一样的。
那么由所有n维向量组成的集合就称为n维空间,更准确地讲叫做n维线性空间(n-dimensional linear space)或向量空间(vector space),因为对于n维向量也可以进行加减运算和数乘运算,其规则和二维向量是一样的。
当然,当n大于4时,我们就很难从直观上去想象这个空间长什么样子了,于是只能利用数学工具来对其进行形式上的处理。
我们已经知道了n维线性空间是由什么东西组成的,但是还远远不够。n维空间作为对我们熟悉的二维空间和三维空间的抽象,内部还具有一定的结构。为了弄清楚它的结构,我们先来回顾一下高中学过的平面向量基本定理:
这个定理被称为“基本定理”,可见其重要地位。但是我们在学习的时候并没有感觉到它有什么特殊的,因为这个定理的结论很显然,平平无奇。但实际上,这个定理在揭示n维空间内在结构的过程中起到了决定性的作用。
我们来反思一下这个定理,它究竟说了一件什么事情。我们知道,向量的数乘运算就相当于若干个相同的向量加在一起,比如3a就相当于3个a加在一起,或者说把a延长3倍,当然这个系数有可能不是整数,但道理是一样的。而平面向量基本定理告诉我们,不共线的两个向量e1和e2就相当于是一种最基础的“元素”,或者说最基础的“计量单位”,平面上每一个向量都可以表示成若干个e1加上若干个e2,用更专业的语言讲,边上每一个向量都可以表示成e1和e2的线性组合。但是因为e1和e2不共线,所以它们之间又不能互相表示。
研究水流,使用的工具就是向量场(Vector field)
这样一来,e1和e2能表示出整个平面,但是彼此又不能互相表示,所以我们把e1和e2称为平面的一组基(base)。
我们还可以看出,平面上的一组基不只有一种,因为任意两个不共线的向量都可以构成一组基,所以平面上的一组基有无数多个。那么为了计算上的方便,我们取一组最特殊的基,就是与坐标轴垂直的两个单位向量。
这样一来,用代数的语言写出来就是:
同样地,对于三维空间,我们可以找到三不共面的向量e1,e2,e3,使得三维空间中任意一个向量都能表示成这三个向量的线性组合,并且这三个向量彼此之间不能互相表示。因此三维平面的一组基就包含三个向量,当然,最简单的一组基就是三个与坐标轴平行的单位向量:
其实这种现象非常常见。
比如学化学中我们知道一个原子是由和质子,中子和电子组成的,那么一个质子,一个中子和一个电子就构成了原子的一组基。因为任何一个原子都是这三个东西的线性组合。比如氢原子就是1个质子+0个中子+1一个电子;碳原子就是6个质子+6个中子+6个电子;氧原子就是8个质子+8个中子+8个电子,同时质子,中子,电子之间互相又不能表示。
这种例子在现实生活中也可以找到,比如一家水果店只卖4种水果:苹果,橘子,桃子,梨,那么它们就构成了顾客所买的商品的一组基。比如张阿姨买了3个苹果4个橘子1个桃子2个梨,李阿姨买了2个苹果2个橘子4个桃子3个梨,诸如此类。
我们可以看到,二维空间的一组基包含两个向量,三维空间的一组基就包含三维向量,这是巧合吗?当然不是的。因为我们就是用基的向量个数来定义空间的维度的:
一个线性空间的一组基包含的向量的个数,称为这个空间的维数(dimension)。
好了,到这里我们终于揭开了“维数”这个我们从小就耳熟能详的概念的神秘面纱。从这个过程我们也可以体会到,数学是一门非常严谨的学科,任何一个概念我们都需要给出明确的定义。就连“维数”这样一个我们在物理课上已经嚼烂的词,其实在数学上也有着复杂且严格的定义的。
我们小时候所看到的三维立体画或者现在在电影院看到的三维电影里面的“维”,就是这个意思。
有了维数的概念,我们就可以来研究n维空间的内在结构了。按照前面给出的定义,我们来看一下,为什么有所有n维向量组成的线性空间,它的维数就是n?
我们只需要证明它的一组基包含n个向量就可以了,是比较容易的,因为我们可以在n维空间中取如下n个向量,就是依次让每个分量为1,剩下的分量为0:
我们说它是一组基,这是显然的,因为每一个n维向量都可以表示成它们的线性组合:
同时它们彼此之间又不能相互表示。这就说明了这个空间一定是n维的。
到此为止,我们终于说清楚了n维空间以及它的维数n究竟是什么。但我相信肯定还有很多小伙伴并不满意,我们可以想象三维空间是什么样,并且可以想象在三维空间中运动。我闭上眼睛,想象着自己驾驶着一架战斗机,在蓝天上自由地飞翔,滑跃,翻转。但是,一个物体在高维空间中运动起来又是什么样子呢?你给了我一大堆乱糟糟的字母与数字,说这就是一个高维空间,但是我完全想象不出物体在这个空间中运动是什么含义。
美军的最强战机,装备了矢量发动机的F-35
是的,的确会有这个问题,因为空间本身是抽象的,所以运动形式也是抽象的。物体运动会涉及到长度,距离,角度等概念,那么高维空间中也会有抽象的长度,抽象的距离和抽象的角度。
而定义其实这一系列概念的基础,就是向量的数乘运算。
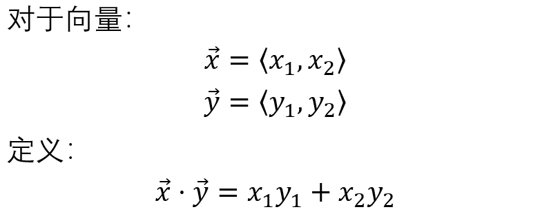
还是先来回顾一下二维向量的点乘是如何定义的:
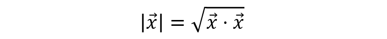
而一个向量的长度其实也是利用点乘表示的:
同时两个向量之间的夹角也可以利用点乘和长度来计算:
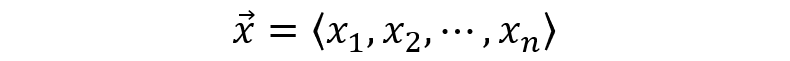
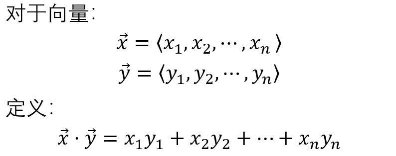
我们把这套关于二维向量的理论,可以完全照搬到n维向量上。两个n维向量的点乘就是:
同样的方法,我们利用点乘运算来定义n维向量的长度,以及两个n维向量之间的夹角:
讲到夹角公式,我们还需要再多说一些。从上面的式子可以看出来,cosθ的值是我们定义的,然后利用反三角函数就可以求出角度θ来。但学过三角函数我们知道,cos任意角的值始终位于-1到1之间,那如果右边那个式子算出来的时候超出这个范围怎么办?这样一来θ不也就不存在了吗。
这一想法是非常必要的,因为我们但凡定义一个东西,它得有意义才行,如果没有意义的话就不能定义了,幸运的是我们可以解决这个问题。这就要用到大名鼎鼎的柯西不等式,很多人在上奥数的时候肯定都学过这个不等式:
由这个定理保证,右边式子的分子的绝对值一定是小于等于分母的绝对值的,因此整个分数算出来一定是位于-1到1之间的,这样一来,我们的定义也就是有意义的了。
再多说一句,柯西不等式其实是更广泛意义上的一个不等式的特例,1821年,柯西首次提出了这个不等式,1859年,俄国数学家布涅科夫斯基提出了它的积分形式,而到了1888年,法国数学家施瓦茨给出了积分形式的证明,因此这个不等式的全称就叫做柯西-布涅科夫斯基-施瓦茨不等式(Cauchy-Buniakowsky-Schwarz inequality)。
柯西(Cauchy,Augustin Louis 1789-1857),近代分析学的奠基人
有了线性运算,我们就可以得到运算结构,有了长度与夹角,我们就可以得到几何结构。既有运算结构,也有几何结构,那么我们对高维空间的认识就比较清楚了。当然这个认识仍然是高度抽象的,不过数学本来就是研究抽象形式的学科,剥离掉表象只保留形式,这在数学中是普遍存在的。
数学的发展是无穷无尽的,数学家们在研究完n维空间之后,又将目光投向了更高的维数——无穷维空间。提到这个词,估计很多小伙伴就更懵了:天呐,维数还能是无穷吗?无穷维空间长什么样子,又如何理解呢?其实这个道理很好理解,既然维数的定义是一组基包含的向量的个数,那如果一组基中包含无穷多个向量,它不就是无穷维的吗。
或者换一种更专业的说法:若一个空间中任意有限多个向量都不能构成该空间的一组基,则该空间是无穷维空间。
那么真的存在无穷维空间吗?物理上当然是无法想象的,但是数学上这种例子随处可见。比如我们在高等数学里面学过所谓的傅里叶级数(Fourier series)。
傅里叶级数来源于对波的研究
其中的所有三角函数:
其实就是一组基,因为它们之间不能够相互表示。
当然,无穷维空间中最著名的还是所谓的希尔伯特空间(Hilbert space)。
希尔伯特(David Hilbert,1862~1943)出生于德国,是20世纪最伟大的科学家之一,他因1900年提出著名的23个“数学问题”被誉为20世纪“数学的指路人”。希尔伯特在研究积分方程的时候,专门研究了一类无穷维的线性空间。1929年,美籍匈牙利数学家冯·诺依曼(John von Neumann,1903~1957)首次在其著作中使用了“希尔伯特空间”这个词,从此便被广泛应用。
希尔伯特空间的思想其实也是很容易理解的,它利用公理化的方法定义了两个向量的数乘,称为“内积”(inner product),并利用和上面提到的完全相同的方法,定义了长度和夹角,从此使整个空间具有了几何结构,同时这种空间又摆脱了维度的限制,因此将无穷维空间也纳入进来。希尔伯特空间在量子力学中有着非常重要的应用。
人们对维数的研究似乎可以到此为止了,长久以来数学家和物理学家也是这么想的,但是故事还远远没有结束。
20世纪70年代,法国数学家曼德布罗(Benoit B. Mandelbrot,1924~2010)发现并创立了一种全新的几何学——分形几何(fractal geometry),打开了一扇新世界的大门。
分形几何图形被誉为人类所发现的最美妙的几何图形
在分形几何中,图形的维数甚至可以不是整数,比如分数,无理数等等。我们甚至创造出了1.5维,根号2维,ln3维的图形,不得不让人感叹,数学世界真奇妙!
数学家对高维空间的研究依然遵循了数学中的传统套路,即从具体到抽象,从感性到理性,从现实到形式。从一般的看得见摸得着的二维三维空间入手,往上发展出了高维甚至无穷维与分数维空间,到这一步的时候,数学已经高度抽象化与形式化。而处理抽象与形式对象使用的最好的方法便是公理化,这是从古希腊时期欧几里得的《几何原本》继承下来的,一直到今天依然发挥着巨大的威力。
参考文献
[1] Linear Algebra and Its Applications,David C. Lay,Pearson.
[2] Precalculus, Tenth Edition, Michael Sullivan, Pearson.
[3] 《高等代数》,第三版,北京大学数学系代数与几何教研室前代数小组,北京,高等教育出版社
[4] 《工程数学线性代数》,第五版,同济大学数学系,北京,高等教育出版社
本文参加【科学V计划】,内容为作者原创
版权声明:我们致力于保护作者版权,注重分享,被刊用文章【施瓦茨不等式证明考研(数学家是如何研究高维空间的)】因无法核实真实出处,未能及时与作者取得联系,或有版权异议的,请联系管理员,我们会立即处理! 部分文章是来自自研大数据AI进行生成,内容摘自(百度百科,百度知道,头条百科,中国民法典,刑法,牛津词典,新华词典,汉语词典,国家院校,科普平台)等数据,内容仅供学习参考,不准确地方联系删除处理!;
工作时间:8:00-18:00
客服电话
电子邮件
beimuxi@protonmail.com
扫码二维码
获取最新动态
