第一部分 高中基础知识
1.函数的单调性:
(1)确定单调区间的方法:(1)定义法;(2)导数法;(3)图象法。
(2)复合函数
在公共定义域上的单调性:同增异减。
2.函数的奇偶性:
(1)偶函数:
,图象关于y轴对称;
(2)奇函数:
,图象关于原点对称。
3.周期性:
,T叫作这个函数的一个周期。
4.对称性:
函数
关于直线
对称。
5.函数的凹凸性:
①凸:
;
②凹:
。
第二部分 大学基础知识
一、极限与连续
1.求极限的方法:
(1)最高次幂法:
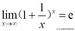
(2)两个重要极限公式:
①
;
②
或
。
(3)常用等价无穷小:
当
时的常用的等价无穷小量有:
,
,
,
;
。
(4)洛必达法则:
①法则1(
型);
②法则2(
型)。
2.函数在一点的连续
在点
处连续
在
处既是左连续,又是右连续。
二、导数与积分
1.求导法则:
2.导数的应用
3.积分公式:
三、线性代数
1.行列式的计算
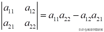
(1)二阶行列式:
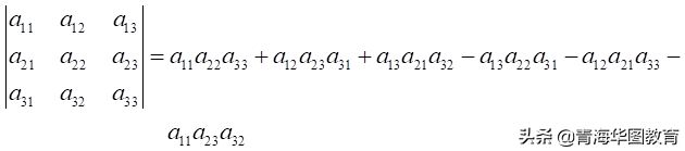
(2)三阶行列式:
2.代数余子式法:将行列式按某一行(或列)展开,达到降阶的目的。
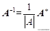
3.求逆矩阵:
,其中
为矩阵
的伴随矩阵。
4.齐次线性方程组的解有两种情况:(1)只有零解;(2)有非零解。
四、二次型矩阵正负定性的判定
五、空间线面及其方程
第三部分 数学教学知识
1.数学学科核心素养包括:
数学抽象、逻辑推理、数学建模、直观想象、数学运算和数据分析。这些数学学科核心素养既相对独立、又相互交融,是一个有机的整体。
2.四基:
基础知识、基本技能、基本思想、基本活动经验;四能:发现和提出问题的能力、分析和解决问题的能力。
3.评价的原则:
①重视学生数学学科核心素养的达成;
②重视评价的整体性与阶段性;
③重视过程评价;
④关注学生的学习态度。
4.中学数学教学过程要处理好以下几种关系:
①间接经验和直接经验的关系;
②数学知识技能的掌握与能力发展的关系;
③数学知识技能的掌握和数学观形成的关系;
④数学认知活动与非认知因素的关系;
⑤教师主导作用与学生主体性的关系。
5.中小学数学教学的一些基本原则:
①抽象与具体相结合的原则;
②严谨性与量力性相结合的原则;
③培养“双基”与策略创新相结合的原则;
④精讲多练与自主建构相结合的原则。
6.常用的教学方法:
①讲授法;
②谈话法;
③讲练结合法;
④自学辅导法;
⑤发现法;
⑥小组教学法;
⑦探究性数学教学;
⑧情境教学法。
7.学习概念
主要有概念形成与概念同化两种基本形式。
8.概念之间的关系分为:
相容关系和不相容关系。其中相容关系包括同一关系,交叉关系,从属关系,不相容关系包括矛盾关系和对立关系。
9.常见数学定义的方法
(1)原始概念;
(2)属加种差定义:发生式定义和关系定义法是比较特殊的两种定义方法;
(3)外延定义法;
(4)词语定义法;
(5)递归定义法。
10.中学常见的数学思想主要归纳为以下几个方面内容:
符号思想、集合思想、数形结合思想、函数与方程思想、转化与化归思想、分类与整合思想、特殊与一般思想、有限与无限思想、或然与必然思想、归纳思想、类比思想、演绎思想、模型思想等。
教学设计
一、教学目标:
1.知识技能目标:学生能认出、了解、理解、描述、会运用,会写,会算,能证明……(概念、性质、含义、定理、公式等)
2.过程与方法目标:经历、体验、探索 (观察、猜想、动手操作、推理论证等)过程;提高(观察分析、分析问题解决问题能力、逻辑推理能力、归纳总结能力、空间想象能力等);培养(数感、符号意识、模型思想、数形结合思想、分来讨论思想等)
3.情感态度与价值观:通过感受******,培养******的情感。
二、教学重难点:
1.教学重点:根据本节课的内容,找出重要的知识点
2.教学难点:结合学生的学情,分析本节课哪些知识学生比较难掌握
三、教学过程:
1.引入新课(谈话引入、情景引入等)
①教师活动:播放根据教材内容自制多媒体动画(或展示***、创设****等),引出课本主题图。接着引导学生认真观察,提出与有关的数学问题。
②学生活动:就教师的提问展开独立思考或讨论得出****
③设计意图:精彩的开头,不仅能使学生很快由抵制状态进入兴奋状态,还能使学生把知识的学习当成自我需要,使教学任务顺利完成。
2.新授环节
环节①:动手操作,锻炼能力
环节②:团队合作,得出结论
环节③:****
3.巩固练习
本环节依据教学目标和学生在学习中存在的问题,设计有针对性、层次分明的练习题组(基本题、变式题、拓展题、开放题)。
4.归纳小结
让学生以小组为单位,每位学生充分发言,交流学习所得。
5.布置作业
尽量选一些开放性的题目,例如实践活动等。
6.板书设计
XXXX(题目)
计算推导等(教学过程)
青海华图教育(http://qh.huatu.com/)。青海华图教育为您提供笔试公告、成绩查询入口、面试公告、面试名单等;
关注“青海华图”官方微信公众号"htqh0258",获取更多招考资讯!
加老师咨询,公职考试面面观!
联系方式0971-8253117,地址:青海省西宁市西门王府井A馆7楼。
版权声明:我们致力于保护作者版权,注重分享,被刊用文章【两个重要极限公式证明(教资)】因无法核实真实出处,未能及时与作者取得联系,或有版权异议的,请联系管理员,我们会立即处理! 部分文章是来自自研大数据AI进行生成,内容摘自(百度百科,百度知道,头条百科,中国民法典,刑法,牛津词典,新华词典,汉语词典,国家院校,科普平台)等数据,内容仅供学习参考,不准确地方联系删除处理!;
工作时间:8:00-18:00
客服电话
电子邮件
beimuxi@protonmail.com
扫码二维码
获取最新动态
