在高中学习不等式的时候,我们学到很多大招—比如柯西不等式、拉格朗日乘数法。今天我们再教一个大招—权方和不等式,虽然做不到一剑光寒定九州,但是还是可以让同学惊讶于你的博学多识。
我们知道柯西不等式是这个样子的↓
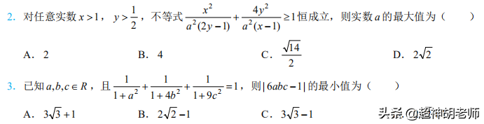
所以,我们就很容易的推导出了权方和不等式的结论,接下来我们要进行针对性训练。你准备好了吗??
通过上面的题目,你学会(fei)了吗?那么第二弹训练题目来了[狗头][狗头]
会做的朋友,记得答案打在评论区哦
我是超神胡老师,一个喜欢分享观点的老师,喜欢我的文章记得关注和点赞[心][心][心]
版权声明:我们致力于保护作者版权,注重分享,被刊用文章【证明柯西不等式(不等式中的王者出击)】因无法核实真实出处,未能及时与作者取得联系,或有版权异议的,请联系管理员,我们会立即处理! 部分文章是来自自研大数据AI进行生成,内容摘自(百度百科,百度知道,头条百科,中国民法典,刑法,牛津词典,新华词典,汉语词典,国家院校,科普平台)等数据,内容仅供学习参考,不准确地方联系删除处理!;
工作时间:8:00-18:00
客服电话
电子邮件
beimuxi@protonmail.com
扫码二维码
获取最新动态
