史上最聪明的华裔数学家
陶哲轩是华裔数学天才、目前数学界响当当的人物,也是极受学生欢迎的UCLA数学教授, 31岁即获菲尔兹奖。目前主要研究调和分析、偏微分方程、组合数学、解析数论和表示论。
下文节选自《陶哲轩教你学数学》, 已获图灵许可, [遇见数学] 在此特别表示感谢!
千里之行,始于足下。—— 老子
不管你认不认同这句格言,求解一个题目总是从富有逻辑性的简单步骤开始(然后继续这样进行下去,直到最后得出答案)。但是,只要我们有敏锐的目光,并沿着清晰的方向坚定不移地大踏步前进,那么我们完成千里之行根本就不需要走上百万步。抽象的数学并不存在实体的限制;人们总是可以重新回到问题的开始,尝试寻找新的突破口,抑或随时返回上一步。但在解决其他类型的问题时,我们或许就不能这样随意地操作了(例如,当你迷路时试图找到回家的路)。
当然,这并不代表我们一定能够容易地求解出问题的答案。如果问题都变得容易解决,那么本书的内容将会减少很多。但让解题变得容易起来也是有可能的。
存在一些正确解题的一般性策略和角度。波利亚的经典文献(波利亚,1957)介绍了很多这方面的内容。接下来,我们将讨论其中的一些策略,并简短地阐述在下面这个问题中,每一种策略是如何应用的。
G. 波利亚世界数学名著《怎样解题》思维导图
▌问题 1.1
一个三角形的三条边长构成公差为 d 的等差数列。该三角形的面积为 t。求该三角形的边长和角度。
理解问题 这是什么类型的题目?一般存在三种主要的题目类型。
“证明……”或者“推算……”的题目。这类题目要求证明某个特定的命题为真,或者推算出某个特定表达式的值。“求一个……的值”或者“求所有……的值”的题目。这类题目要求我们求出满足特定条件的一个(或者所有)值。“是否存在……”的题目。这类题目要求你要么证明一个命题为真,要么给出一个反例(于是这类题目就变成了前两种类型题目中的一个)。题目的类型是非常重要的,因为它决定了解题的根本方法。“证明……”或者“推算……”的题目要从给定的信息入手, 目标是推导出某个命题为真或者求出某个表达式的值。一般来说,这类题目要比另外两类题目更容易些,原因在于这类题目有一个明确可见的目标,从而让我们能够有意识地根据这个目标来求解。“求一个……的值”的题目则更具有偶然性, 我们通常必须先猜出一个可能正确的答案,然后对它进行适当的调整,从而使其更接近正确答案;我们也可以改变目标对象必须满足的条件,从而使改变后的条件更容易满足。“是否存在……”的题目一般难度最大,因为必须先确定这样的对象是否存在。如果存在这样的对象,那么要给出证明;否则,就给出一个反例。
当然,并不是所有的题目都可以简单地划分到这三种类型中。但是,当求解一个题目时,一般的题目分类有助于我们选择合适的基本解题策略。例如,如果试图解决“在这个城市中找一家旅馆过夜”这样一个问题,那么应当把要求改为“在5 公里范围之内,找到一家有空闲房间的旅馆,并且住一晚的房费不能超过100 美元”,接下来使用排除法去找满足条件的旅馆就行了。这种策略要比证明这样的旅馆存在或不存在好得多;同时,这种策略可能也比随便找一家旅馆,然后试图证明可以在该旅馆中过夜要好。
在问题1.1 中,我们遇到的是一个“推算……”类型的题目。这需要在给定若干变量的前提下求出几个未知量。这就提示我们应当使用代数方法而非几何方法来求解。通过建立关联 d、t 以及三角形边和角的多个方程,最终求解出未知量。
读懂信息 题目中给出了哪些信息?一般来说,在一个题目中会给出若干个满足某些特定条件的对象。想要读懂这些信息,需要弄清楚这些对象和条件之间是如何相互作用的。集中精力选择合适的技巧和符号,对解题来说是非常重要的一件事。例如在问题1.1 中,能够获取的信息有:这是一个三角形,三角形的面积以及该三角形的三条边长构成了一个公差为 d 的等差数列。因为已知的是一个三角形,而要考察的是该三角形的边长和面积,所以需要使用与边长、角度和面积相关的定理来处理这个题目:比如正弦法则、余弦法则以及面积公式。另外,由于题目涉及等差数列,于是我们将使 用一些符号来说明该数列。譬如,三角形的三条边长可以分别表示成 a、a + d 和 a + 2d。
明确目标 我们想要达到的目标是什么?这个目标可能是求出某个对象的值,证明某个命题为真,确定某个具有特殊性质的对象是否存在,等等。就像在“读懂信息”这个策略中提到的那样,明确目标有助于我们集中精力选取出最好的解题工具。此外,明确目标对于确立战术目的同样有很大的帮助,这能使我们更加接近问题的答案。这个例题的目标是“求出该三角形所有的边长和角度”。正如前文中所说的,这意味着我们需要的是关于边长和角度的定理及结论。这同时也明确了“找出涉及三角形的边长和角度的等式”这个战术目的。
选取恰当的符号 有了信息和目标,还必须采用一种高效的方法,把它们尽可能简单地展现出来。这通常会涉及前文中谈到的两种策略。在这个样题中,我们已经考虑到了建立关于 d、t 以及三角形边长和角度的等式。三角形的边长和角度还需要使用变量来表示:可以把边长分别取作 a、b 和 c,同时把角度表示为α、β和 γ。然而,利用题目中的信息可以进一步地简化这些符号:由于三角形的边长构成一个等差数列,于是我们可以使用 a、a + d 和 a + 2d 来代替 a、b 和c。但是使用形式上更加对称的符号 b-d、b 和 b+d 来表示边长要比上述符号更好。这种表示的唯一小缺陷是 b 必须大于 d。但经过进一步的思考,我们发现这算不上限制。实际上,b > d 只不过是一个额外的信息。还可以把三个角度分别取作α、β 和180°-α-β ,进而对符号做出更大的调整,但这种表示并不美观,并且在形式上也不对称,所以保持之前的符号可能是更好的选择,不过要记住 α + β + γ = 180°。
用选取好的符号写下你所知道的信息;绘制一张图表 把所有的信息都写在纸上,有如下三方面的帮助。
你之后可以方便地参阅纸上的内容。当遇到困难时,你可以盯着这张纸进行思考。把知道的信息写下来能够激发你新的灵感和联想。要注意的是,你没必要写过多的信息,不需要把细枝末节都写在纸上。一个折中的办法是:重点强调那些你认为最有用的内容,并把存在更多疑点的、冗余的或是疯狂的想法记录在另一张草稿纸上。我们能从样题中提取出下面这些等式和不等式。
在上面这些事实中,可能有许多结论被证明是无用的,或者会导致人们的注意力分散。但是通过利用某种判别法,可以把有价值的信息从那些无用的内容中分离出来。由于目标和信息都是以等式的形式给出的,等式可能要比不等式更加有用。此外,海伦公式看起来将大有用处,原因在于三角形的半周长被简化成了s = 3b/2。由于“海伦公式”是可能有用的信息,我们可以对它进行着重强调。
当然也可以画一张示意图。这通常对求解几何问题有非常大的帮助。但在这个样题中,示意图好像并没有提供太多的帮助:
对问题稍做修改 存在很多修改问题的方法,它们能使问题变得更容易处理。
考虑该问题的一个特殊情形,比如极端情形或退化的情形。求解简化了的问题。建立一个蕴含着该问题的猜想,并尝试先证明这个猜想。从问题中推导出某个结论,并尝试先证明这个结论。重新表述该问题(例如,证明其逆否命题,使用反证法,或者尝试采用某种替换说法)。考察类似问题的解答。推广该问题。当你不知道该如何着手处理一个问题时,这些方法将会很有帮助。其原因在于,解答一个与原问题相关但更简单的题目,有时会带给我们求解原问题的灵感。类似地,考察问题的极端情形以及求解带有附加条件的问题同样可以为解答原问题带来帮助。但这里要提醒一句,特殊情形本身就具有特殊性,某些用来证明特殊情形的巧妙方法在证明一般情形时可能毫无用处。这通常会发生在特殊情形过于特殊的状况下。为了保证尽可能与原问题的本质接近,你应该从适当地修改假设条件入手。
在问题1.1 中,可以试着考察 d = 0 这种特殊情形。在这种情形下,需要求出面积为t 的等边三角形的边长是多少。此时,用标准方法来计算可以得到b = 2t^(½)/3^(¼)。这表明 了一般情形下的答案也应当包含平方根或者四次方根,但这并没有告诉我们该如何求解原问题。考察类似的问题不会带来太大的帮助,但却使我们进一步确信,解决这个问题需要一个强有力的代数工具。
对问题做出较大修改 在这种更具挑战的策略中,对问题做出的修改主要有:删除题目中给出的条件,交换已知条件和要求的结论,或者否定目标结论(例如,试着证明某个命题不成立,而非成立)。从根本上说,我们试着一步步地去说明修改后的问题是不成立的, 进而找到问题的突破口。这种方法明确了题目给出的关键信息,同时也告诉我们求解该问题的主要困难是什么。这些练习同样有助于我们培养判断哪些策略可行以及哪些策略行不通的直觉。
就这个特定的样题而言,可以把三角形替换成四边形、圆形等,但这样做并没有什么帮助:问题只会变得更加复杂。另一方面,可以看出,解决这个问题真正需要的不是三角形所在的位置,而是该三角形的尺寸。那么据此可以进一步地确定,应当把注意力集中在边长和角度(即a、b、c、α、β 和γ)上,而不是去考虑使用解析几何或者类似的方法。
可以忽略掉一些目标。例如,不必计算出三角形所有的边长和角度,而只需要求出三条边长就可以了。接下来会发现,利用余弦法则和正弦法则完全能够确定三角形的三个角度。因此只需要计算出三角形的边长。又因为三条边长 分别是b-d、b 和 b+d,所以只要能够求出 b 的值,那么这个问题就解决了。
也可以忽略像公差 d 这样的信息,但这会导致出现多个可能的解,而我们却没有足够的信息来解决这个问题。类似地,忽略面积t 同样会造成因信息不足而无法求解的状况。(有时可以忽略部分信息。例如,只规定面积大于或小于某个阈值t0,但这会让问题变得更加复杂。因此,应当坚持先尝试简单的选择。)把问题反过来(交换已知条件和要求的结论)考虑能够激发一些有趣的想法。假设你有一个三角形,它的三条边长构成一个公差为 d 的等差数列;你希望缩小(或其他任何处理)该三角形,从而使其面积等于 t。不难想象这个过程是在保持三角形的边长始终构成公差为 d 的等差数列的同时,三角形不断缩小而使其形状发生改变。同样地,也可以考察具有固定面积t 的一切三角形,并从中找出一个,使其三条边长构成满足条件的等差数列。这些想法终究会发挥其作用,而我会采用另外一种方法来解答这个问题。请不要忘记,一个问题可能有许多种解法,但没有哪一种解法可以被看作绝对最好的。
证明与问题相关的结论 题目中给出的条件是要被用到的,所以应当重视这些条件并试着去使用它们,看看这些已知条件能否提供更多有价值的信息。另外,在试图证明主要结论或者求解答案的过程中,证明一些小结论或许会对后面解题产生帮助。不管这是多么小的一个结论,都不要把它忘 掉——可能稍后它就会发挥作用。此外,当你遇到困难时,它也能让你有事可做。
在“推算……”类型的问题中,比如该三角形问题中,这种策略并不一定奏效,但不妨试一试。例如,我们的战术目的是求出 b 的值。解决这个问题需要用到参数 d 和 t。换句话说,b 实际上是一个函数:b = b(d, t)。(如果说把这个符号用在几何问题中看起来并不恰当的话,那么原因仅在于,在几何中,对象之间的函数关系通常都会被忽略。例如,海伦公式给出了一个用三角形边长 a、b 和 c 来表示三角形面积A的显式表达:换言之,它给出的是一个函数 A(a,b,c)。)现在就可以证明与函数 b(d, t) 有关的一些小结论,比如 b(d, t) =b(-d, t)(这是因为对于任意一个等差数列,总是能够找到一个与它等价的等差数列,并且两个数列的公差互为相反数)或者 b(kd,k²t) = kb(d, t)(把满足 b(d, t) 的三角形放大 k 倍就得到了这个结果)。我们甚至可以试着求 b 关于 d 或 t 的导数。就这个特定的问题而言,这些策略使我们能够进行一些正规化处理,例如令 t = 1 或者 d = 1,同时还为我们提供了一种检验最终结论是否正确的方法。不过在该问题中,这些策略并不能展现出太大的优势,所以这里不用它们来求解。
简化、利用题目中的信息,实现战术目的 现在已经引入了符号并建立了一些等式,接下来就应该认真地考虑如何实现已经确定的战术目的。对于一些简单的问题,我们通 常可以按照某种标准化方法来操作。(例如,在高中阶段,我们常使用已经得到充分讨论的代数化简法。)通常,这是解题过程中最长、最困难的部分,但是只要我们记住相关定理、题目中给出的信息以及如何使用这些信息,并且牢记想要实现的目标,那么就不会迷失方向。另外,不要盲目地使用任何已知的技巧或方法,而应该事先考虑一下在哪些地方可能会用到这种技巧。这将有助于排除干扰性的解题方向,避免精力的耗费并节省大量时间,从而使我们能够在最正确的解题方向上前进。
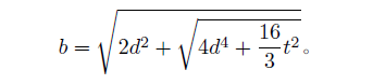
在问题1.1 中,我们集中考虑了海伦公式。利用这个公式,能够实现求 b 这一战术目的。此外还知道,一旦求出 b 的值,利用正弦法则和余弦法则就可以确定 α、β 以及 γ 的值。接下来,又注意到海伦公式涉及 d 和 t —— 它实际上使用了题目中给出的所有信息(“三角形的边长构成一个等差数列”这一事实已经体现在引入的符号当中)。总而言之,用 d、t 和 b 来表述海伦公式就是
这个式子可以简化成
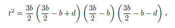
接下来,我们求 b 的值。上式右端是一个关于 b 的多项式(把 d 和 t 看作常数),实际上它是关于 b² 的一个二 次多项式。此时能容易地求出这个二次方程的解:如果把分母去掉,并把所有项都挪到等号左端,那么就得到
于是,利用二次方程的求根公式可得
为了验证这个结果,可以证明当d = 0 时,上式就等于前面计算得到的 b = 2t^(½)/3^(¼)。只要算出三条边长 b - d、b 以及 b + d 的值,三角形的角度 α、β 和 γ 就可以利用余弦法则求出,这样就完成了对整个题目的求解!
(第一章 解题的策略 完)
《陶哲轩教你学数学》
作者:陶哲轩
译者:李馨
出版社:人民邮电出版社图灵新知
遇见数学, 遇见更精彩的自己! 转发既是鼓励, 让我们努力走的更远一点!
版权声明:我们致力于保护作者版权,注重分享,被刊用文章【海伦公式证明(天才数学家陶哲轩教你聪明解数学)】因无法核实真实出处,未能及时与作者取得联系,或有版权异议的,请联系管理员,我们会立即处理! 部分文章是来自自研大数据AI进行生成,内容摘自(百度百科,百度知道,头条百科,中国民法典,刑法,牛津词典,新华词典,汉语词典,国家院校,科普平台)等数据,内容仅供学习参考,不准确地方联系删除处理!;
工作时间:8:00-18:00
客服电话
电子邮件
beimuxi@protonmail.com
扫码二维码
获取最新动态
