1.空间向量及其运算
(1)了解空间向量的概念,了解空间向量的基本定理及其意义,掌握空间向量的正交分解及其坐标表示.
(2)掌握空间向量的线性运算及其坐标表示.
(3)掌握空间向量的数量积及其坐标表示,能运用向量的数量积判断向量的共线与垂直.
2.空间向量的应用
(1)理解直线的方向向量与平面的法向量.
(2)能用向量语言表述直线与直线、直线与平面、平面与平面的垂直、平行关系.
(3)能用向量方法证明有关直线和平面位置关系的一些定理(包括三垂线定理).
(4)能用向量方法解决直线与直线、直线与平面、平面与平面的夹角的计算问题,了解向量方法在研究立体几何问题中的应用.
一、空间直角坐标系及有关概念
1.空间直角坐标系
在空间直角坐标系中,让右手拇指指向x轴的正方向,食指指向y轴的正方向,如果中指指向z轴的正方向,则称这个坐标系为右手直角坐标系,如图所示.
2.空间一点M的坐标
3.空间两点间的距离公式、中点公式
4.空间向量的有关概念
二、空间向量的有关定理及运算
1.共线向量定理
对空间任意两个向量a,b(b≠0),a∥b的充要条件是存在实数λ,使得a=λb.
牢记两个推论:
2.共面向量定理
3.空间向量基本定理
如果三个向量a,b,c不共面,那么对空间任一向量p,存在有序实数组{x,y,z},使得p=xa+yb+zc.其中,{a,b,c}叫做空间的一个基底,a,b,c都叫做基向量.
注意:(1)空间任意三个不共面的向量都可构成基底.
(2)基底选定后,空间的所有向量均可由基底唯一表示.
(3)0不能作为基向量.
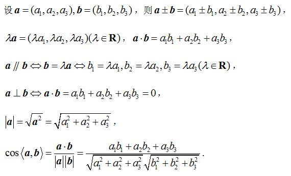
4.空间向量的运算
(1)空间向量的加法、减法、数乘及数量积运算都可类比平面向量.
(2)空间向量的坐标运算
三、利用空间向量解决立体几何问题
1.直线的方向向量和平面的法向量
2.利用空间向量表示空间线面平行、垂直
3.利用空间向量求空间角
4.利用空间向量求距离
(1)两点间的距离
考向一 空间直角坐标系
对于空间几何问题,可以通过建立空间直角坐标系,把空间中的点用有序实数组(即坐标)表示出来,通过坐标的代数运算解决空间几何问题,实现了几何问题(形)与代数问题(数)的结合.
考向二 共线、共面向量定理的应用
考向三 利用向量法证明平行问题
1.证明线线平行:证明两条直线的方向向量平行.
2.证明线面平行:
(1)该直线的方向向量与平面的某一法向量垂直;
(2)证明该直线的方向向量与平面内某直线的方向向量平行;
(3)证明该直线的方向向量可以用平面内的两个不共线的向量线性表示.
3.证明面面平行:两个平面的法向量平行.
考向四 利用向量法证明垂直问题
1.线线垂直:证明两直线所在的方向向量互相垂直,即证它们的数量积为零.
2.线面垂直:证明直线的方向向量与平面的法向量共线,或将线面垂直的判定定理用向量表示.
3.面面垂直:证明两个平面的法向量垂直,或将面面垂直的判定定理用向量表示.
考向五 用向量法求空间角
1.用向量法求异面直线所成的角
(1)建立空间直角坐标系;
(2)求出两条直线的方向向量;
2.用向量法求直线与平面所成的角
(1)分别求出斜线和它所在平面内的射影直线的方向向量,转化为求两个方向向量的夹角(或其补角);
(2)通过平面的法向量来求,即求出斜线的方向向量与平面的法向量所夹的锐角,取其余角就是斜线和平面所成的角.
3.用向量法求二面角
求二面角最常用的方法就是分别求出二面角的两个面所在平面的法向量,然后通过两个平面的法向量的夹角得到二面角的大小,但要注意结合实际图形判断所求角是锐角还是钝角.
考向六 用向量法求空间距离
1.空间中两点间的距离的求法
两点间的距离就是以这两点为端点的向量的模.因此,要求两点间的距离除使用距离公式外,还可转化为求向量的模.
2. 求点P到平面α的距离的三个步骤:
考向七 用向量法求立体几何中的探索性问题
1.通常假设题中的数学对象存在(或结论成立),然后在这个前提下进行逻辑推理,若能推导出与条件吻合的数据或事实,说明假设成立,即存在,并可进一步证明;若推导出与条件或实际情况相矛盾的结论,则说明假设不成立,即不存在.
2.探索线段上是否存在点时,注意三点共线条件的应用,这样可减少坐标未知量.
版权声明:我们致力于保护作者版权,注重分享,被刊用文章【怎么证明三个向量共面(高考考纲与考向分析)】因无法核实真实出处,未能及时与作者取得联系,或有版权异议的,请联系管理员,我们会立即处理! 部分文章是来自自研大数据AI进行生成,内容摘自(百度百科,百度知道,头条百科,中国民法典,刑法,牛津词典,新华词典,汉语词典,国家院校,科普平台)等数据,内容仅供学习参考,不准确地方联系删除处理!;
工作时间:8:00-18:00
客服电话
电子邮件
beimuxi@protonmail.com
扫码二维码
获取最新动态
