为了正式定义质数,我将使用戈弗雷·哈罗德·哈代(G. H. Hardy)和爱德华·梅特兰·赖特(E. M. Wright)的经典数论书《数论导论》中定义的“改进”版本。
我们只考虑正整数。一个数p被称为素数,如果:
p > 1:数字1既不是质数也不是合数。1不是质数的一个很好的理由是为了避免修改算术基本定理。这个著名的定理说:“整数只能用一种方式表示为质数的乘积。”假设1为质数,那么这个唯一性就会消失(例如,我们可以将3写成 1 x 3,1 x 1 x 1 x 3,1^12345 x 3,等等)。P除了1和P没有正因数质数的数目是无限的。前几个素数是:2、3、5、7、11、13、17、19、23、29、31、37等等。“素数有无限个”这个重要定理的第一个证明是由古希腊数学家欧几里得提供的。
瑞士伟大的数学家莱昂哈德·欧拉只用了基本微积分就证明了素数有无限多个。
我们首先考虑小于或等于某个x∈R的素数的个数,其中R表示实数集合:
这个函数称为素数计数函数。我们可以随便给质数编号,但这里我们还是按数值递增的顺序给它们编号:
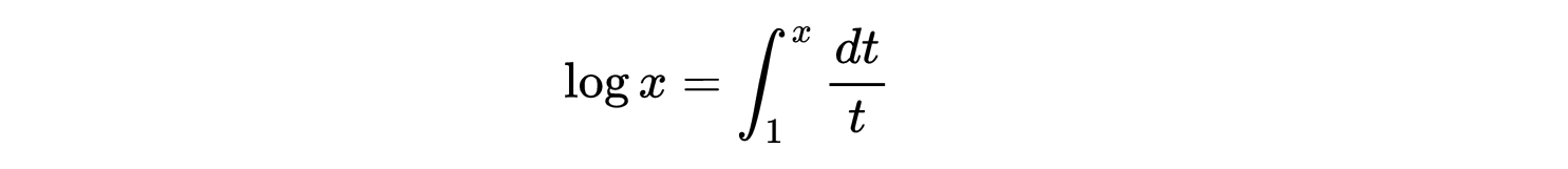
现在考虑下面所示的函数f(x)=1/x。
该函数在区间[1,∞]内的积分是x的对数:
现在将1/x以下的面积与图中显示的阶梯函数以下的面积进行比较。稍后我们将更仔细地验证整数。
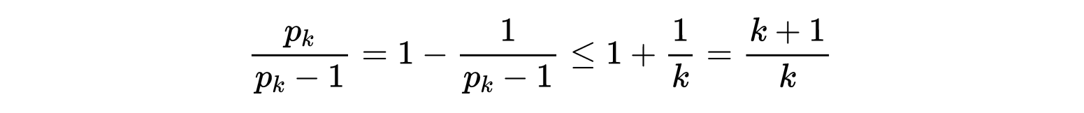
满足以下两个不等式:
其中,最后一个和扩展到所有m∈N,仅包含素数p,且:
为了便于理解,让我们考虑一个例子,比如n=6。在这种情况下,式4中的区间为x∈[6,7],不等式为:
第一个不等式可以从图4中看出。第二个呢?在这种情况下,在上面的不等式中m∈N的值是哪些?
2、3和5只有一个质数因子。因为它们是质数,所以它们唯一的因子小于6。合数4 = 2×2,6 = 2 × 3只有2和3为质数,且都小于6加上1后,上面列出的数的倒数(即2、3、4、5和6)的和已经等于式6中不等式之间的和,因为有无限多个m(调和级数发散到∞),满足式6中的第二个不等式。更正式的表达如下:
现在,算术的基本定理表明:“一个整数只能用一种方式表示为质数的乘积。”因此,式5中的每一个m都可以唯一地表示为以下形式的乘积:
其中,k为每个质因数在m的因式分解中出现的次数。因此,式5中1/m的和可以表示为:
读者可以通过一个例子来验证这一点。括号内的和是一个简单的几何级数:
式9中的乘积是除以所有小于或等于x的质数。因此,将式9与式1比较,可以得到式 5:
因为下面的不等式一般是成立的:
得到了:
这意味着:
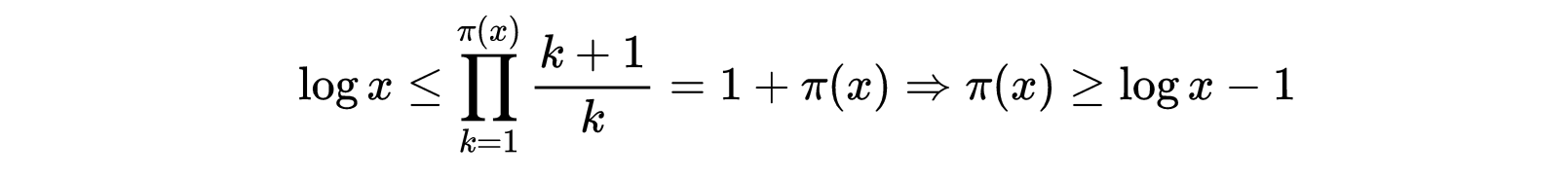
由于log(x)是无界的,如下图所示:
素数函数π(x)也没有界限。因此,我们得出结论,存在无数个质数。
想了解更多精彩内容,快来关注老胡说科学
版权声明:我们致力于保护作者版权,注重分享,被刊用文章【证明级数收敛的方法(欧拉方法)】因无法核实真实出处,未能及时与作者取得联系,或有版权异议的,请联系管理员,我们会立即处理! 部分文章是来自自研大数据AI进行生成,内容摘自(百度百科,百度知道,头条百科,中国民法典,刑法,牛津词典,新华词典,汉语词典,国家院校,科普平台)等数据,内容仅供学习参考,不准确地方联系删除处理!;
工作时间:8:00-18:00
客服电话
电子邮件
beimuxi@protonmail.com
扫码二维码
获取最新动态
