关于欧拉公式,我写了很多文章,但这是一个百谈不厌的话题,因为它确实太美丽,太吸引人了。一个只有四个字符的等式,包含的信息量是惊人的,并且意义也非常深刻。这篇文章,我们将一起看看欧拉公式是如何扩展e的定义的。
很多人第一次看到这个公式都会感到震惊。为什么这个等式可以成立?这几乎就是复数的定义,我们可以这样写:
它扩展了e的定义,使之对复数有意义,同时对实数仍然有意义。首先,让我们先理解方程的右边,它与初级几何学有很好的联系。
我们可以把复数看作二维平面上的一个点,用半径和角度来描述,或者用x坐标和y坐标来定义。Y轴对应的是 "虚轴",X轴对应的是 "实轴"。所以点(2,3)对应于2+3i,其中i是-1的平方根。
两个复数相加对应的只是将它们的实部和虚部相加。例如,(2+3i)+(1+5i)=(3+8i)。
复数的乘法可以用一种有趣的方式来形象化:它对应于旋转和半径的变化。在这里,-1的平方根是完全有意义的,因为我们已经扩展了乘法的定义。点i的角是90度,长度是1。所以,当点z乘以i时,相当于将点z旋转90度,并将长度扩大1倍。当然,半径乘以1还是不变的。如果用2i乘以z,它就会旋转90度,向外拉伸2倍。
现在,我们做一件有趣的事情,把定义在实数上的e的规则也用在复数上,看看会发生什么!让我们把两个数字相乘。然而,我们做的事情有点奇怪。我们把复数写成下面的形式:
z_1是蓝色的线,角度和半径较大,z_2是红色的线,角度和半径较小。
现在我们将它们相乘,同时显示出视觉上和代数上的情况。
从视觉上看,当我们把红线和蓝线(或 "向量")"相乘 "时,会得到紫色的线。
在复数乘法中,我们将角度相加,并将半径相乘。紫线的角度是红线的角度和蓝线的角度之和。紫色线的长度是红色线的长度与蓝色线的长度的乘积。
现在让我们直观地看看,当旋转红线时,紫线会发生什么变化。下图显示,它的长度保持不变,但紫线的旋转量与红线的旋转量相同。
现在,让我们用一些代数来正式说明这一点:
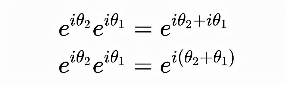
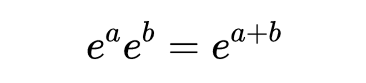
我们看到有两个e乘在一起,对于实数:
所以我们试试用同样的规则来处理复数(还没有正式证明)。对复数使用同样的规则:
所以总的来说,我们得到了这个结果:
因此,在代数上我们得到了我们所看到的视觉效果!为了算出两个复数的乘积,我们把它们的角度相加,再乘以它们的半径。
现在我们来看看我们是如何写复数的。我们可以用实部和复部来表达,也可以用半径和角度来表达。我们如何将这两者联系起来呢?
我们先写z = x + iy
现在,看看这两种表示方法。
左边的图片是把复数写成实部和虚部之和。右边的图片,用三角函数的定义将其转换为用cos和sin来写这两个部分。
这看起来很简单。现在,神奇的一幕出现了。
这就是欧拉的天才之处。他扩展了e的定义,使之与定义在复数上的运算自然地配合。(如果你学习了关于幂级数的课程,就会更加明白他的想法有多么不可思议)。
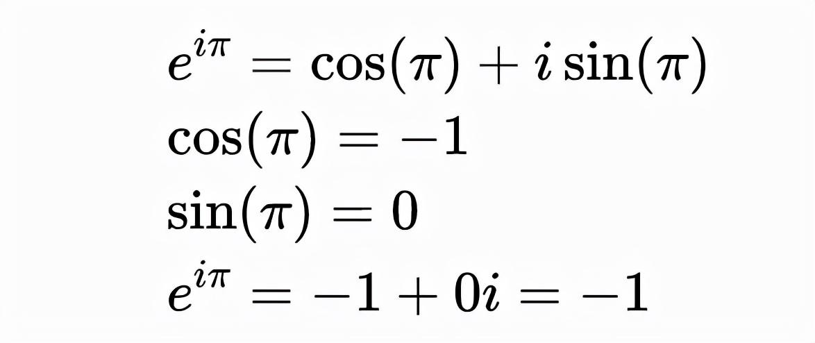
现在,我们来看一下数学中最著名的一行文字(符号):
让我们用我们的新工具来解读它:
这个公式突出了欧拉在e和复数之间的联系之美,但实际上,一旦我们理解了定义和符号,就不会觉得那么复杂了。我们所做的只是将一个数字从半径和角度的表示转换为实部+虚部的表示。
故事并没有到此结束。这个公式暗示了复数世界将是多么的神奇。然而,直到19世纪,数学家(特别是柯西和黎曼)才揭开了复数中微积分的秘密。
幂级数提供了一个很好的方法来扩展e、sin和cos的定义,从它们作为实数到实数的函数的定义,扩展到它们在复平面上的定义。
这表明欧拉的定义确实与实数的定义完美地结合在一起。
e^x、sin(x)和cos(x)都可以被定义为一个幂级数。
这意味着,对于每一个点x,这些函数的值都可以通过上面的无限级数来估算。
现在,回想一下,i^2=-1,是我们研究复数的开端。那么我们为什么不试试下面的方法呢?
我们需要简化i的所有幂:
这个规律会重复出现。例如:
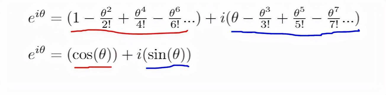
所以我们要进行化简:
现在我们把实部和虚部分开:
记得sin和cos的幂级数定义吗?如果我再写几个术语,你就会想起我在本节开始时写的幂级数。
我再给你最后一次机会来发现它:
太神奇了!!
事实证明,有了我们对i的定义,有了我们对cos、sin和e的幂级数定义,这个公式就非常合理了。复数乘法的几何定义不仅看起来很酷,而且惊人地将e的值与cos和sin联系起来。
谁能想到呢! 希腊人创造的描述圆上坐标的函数(cos和sin)与e有神秘的联系,一旦我们把数字扩展到包括负1的平方根,它就会向自身微分。
这是个奇妙的世界。
版权声明:我们致力于保护作者版权,注重分享,被刊用文章【欧拉公式证明(很多人真正爱上数学)】因无法核实真实出处,未能及时与作者取得联系,或有版权异议的,请联系管理员,我们会立即处理! 部分文章是来自自研大数据AI进行生成,内容摘自(百度百科,百度知道,头条百科,中国民法典,刑法,牛津词典,新华词典,汉语词典,国家院校,科普平台)等数据,内容仅供学习参考,不准确地方联系删除处理!;
工作时间:8:00-18:00
客服电话
电子邮件
beimuxi@protonmail.com
扫码二维码
获取最新动态
