1905年,大约在他向苏黎世大学提交博士论文的六周之前,爱因斯坦在3月18日向《物理学年鉴》(当时最重要的物理学杂志)提交了这篇论文《关于光的产生与转化的启发式观点》(On a Heuristic Viewpoint Concerning the Production and Transformation of Light)。在这篇论文中,爱因斯坦首先提出了能量量子的概念以及现在称为光子的光粒子概念(受马克斯·普朗克对黑体辐射定律的推导所启发)。
爱因斯坦当时26岁。
虽然到1905年粒子物理学的实验技术仍处于初级阶段,什么仍然被认为是已经做出的重要发现。其中光电效应便是其中之一,这是海因里希·赫兹(Heinrich Hertz,1857-94)在1887年研究光的电磁波性质时偶然发现的:
赫兹研究由两种金属表面的电位差产生的火花放电。从一个表面产生的主火花在另一个表面产生了次火花。由于后者更难看到,赫兹在它周围建了一个外壳来消除外界光干扰。接着,他发现这种效果是由于插在两个火花之间的那部分围栏造成的。这不是静电效应,因为无论插入的表面是导体还是绝缘体都没有质的区别。——“爱因斯坦和量子理论”,亚伯拉罕派斯(1979)
赫兹开始怀疑次级火花可能是由于主火花发出的光,并进行测试来证实他的怀疑。他发现并证实了光确实可以产生火花,并在《物理学年鉴》上发表了他的发现,但没有进一步进行研究。
爱因斯坦指出,詹姆斯·克拉克·麦克斯韦的经典电磁辐射理论与气体和其他物质的理论模型有极大的不同,从而开启了他自己对赫兹观测效应的研究。也就是说,前一种理论指出,电磁场是由连续函数描述的。因此,根据麦克斯韦的理论,纯电磁现象(如光)的能量应该被表示为一个连续的现象。也就是说,与其他现象的能量相反,比如物质,它应该由原子和电子的离散和来表示。
爱因斯坦承认麦克斯韦的光波理论在表示纯光学现象方面的有用性,但他认为“我们应该认为光学实验只观察到时间平均值”,因此,尽管麦克斯韦的理论与实验观察结果完全一致,“使用连续的空间函数来描述光可能会导致与实验的矛盾,特别是当应用到光的产生和转化时”。
换句话说,爱因斯坦在他的论文开头声称,尽管光在麦克斯韦的电磁理论中被视为一个连续的现象,但各种实验观察表明,“光的能量”似乎不是连续的,而是“在空间中不连续地分布”。
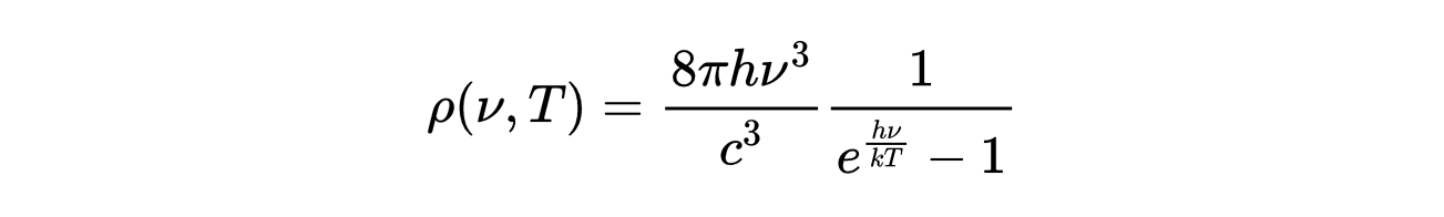
为了证实他的说法,爱因斯坦接着把范围缩小到黑体辐射的概念上。1900年,马克斯·普朗克发现了黑体辐射定律,即“普朗克定律”:
黑体辐射是在热力学平衡状态下,由黑体(一种理论的,不透明的,不反射的物体)发射出来的物体内部或周围的热电磁辐射。把黑体想象成一个吸收所有撞击它的电磁辐射(光)的物体,并以同样的速率以热的形式发出辐射,以保持热平衡。室温下的辐射是红外线(因此肉眼看不见),但随着温度的升高,辐射开始看得见,如红、橙、黄、白和蓝。
爱因斯坦的研究开始讨论黑体辐射理论的“一个困难”,注意到普朗克定律(方程1)似乎与实验一致,但与经典物理学中其他已建立的概念不一致。爱因斯坦的简单论证基于经典理论中的两个已知概念:
普朗克方程中,U表示频率为v的一维谐振子的平衡能级,其频率和温度为T:
经典统计力学的均分定理(方程3),其中R为气体常数,N为阿伏伽德罗常数,R/N = k为玻尔兹曼常数,根据该定理,一维谐振子的平衡能级由下式确定:
很简单,爱因斯坦从这两个方程中,代入U(v,T)得到了下面这个方程,这个方程后来被称为瑞利-杰斯定律(Rayleigh-Jeans law):
爱因斯坦的主张很简单,尽管普朗克定律与实验相符,但截至1905年,爱因斯坦仍无法使它与现存的经典理论相符,尽管他付出了最艰苦的努力:
我试图使物理学的理论基础适应这种(新型)知识的所有尝试都彻底失败了。就好像地面被人从底下拔了出来,没有看到任何牢固的地基。——爱因斯坦(1949a)
爱因斯坦通过想象一个充满自由移动的电子和气体分子、具有完美反射壁的空腔来说明这种差异。此外,空腔中充满了数个电子,这些电子被力束缚在空间分离的点上,这些力随分离度线性变化,他称之为“谐振器”,因为它们吸收和发射特定频率的电磁波。他指出,根据光的产生理论,腔内的辐射必须与黑体辐射相同。
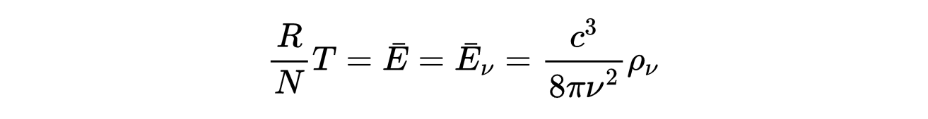
首先,他考虑了黑体热平衡的要求,即空腔的温度在空间上是均匀的,温度是恒定的。根据气体的动力学理论,动态平衡要求谐振器(束缚在空间分离点上的电子)的平均动能等于自由移动的气体分子的平均动能。将谐振器的运动分解为三个相互垂直的振荡(在三维空间的运动),爱因斯坦发现谐振器电子的这种线性振荡的平均能量必须由以下给出:
其中R是气体常数,N是阿伏伽德罗常数,T是电子的绝对温度。由于动能和势能的时间平均值,他认为Ē的能量是单个自由气体分子动能的2/3。即使某些东西,如辐射过程导致谐振器的平均时间能量偏离Ē值,与自由电子和气体分子的碰撞会通过吸收或释放能量将其平均能量返回到Ē。因此,只有当每个谐振器都有平均能量Ē时,系统才可能存在动态平衡。
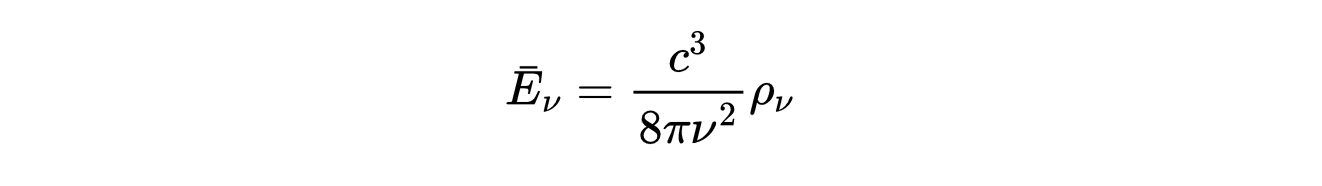
在根据统计力学建立了谐振电子的能级之后,爱因斯坦接着进行了一个类似的考虑,即谐振电子与腔内环境辐射相互作用时能量的变化。他将普朗克方程应用于频率为v的谐振器的平均能量:
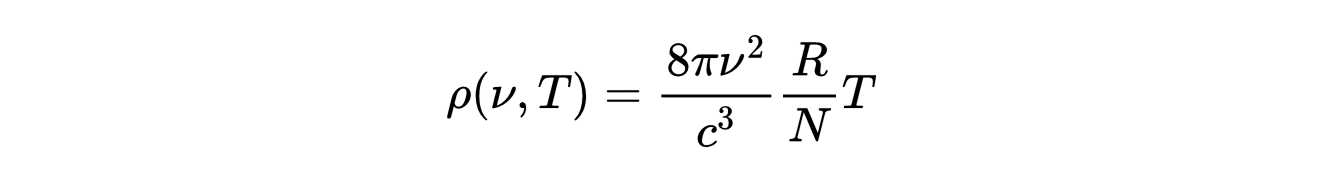
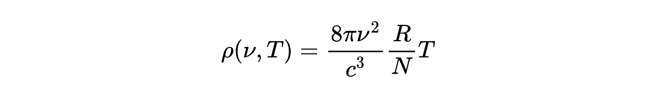
ρ表示腔体辐射的能量密度。爱因斯坦指出,如果在v频率共振的电子的净能量不不断增加或减少(违反动态平衡的条件),则必须遵从下列等式:
重写后会是:
方程4是一个动态平衡的条件,爱因斯坦风趣地指出:“它不仅与实验不一致,还排除了物质与以太之间存在平衡的任何可能性。”选择的频率范围越宽,空间中的辐射能量就变得越大:
这是灾难性的。爱因斯坦已经证明,1897年的普朗克方程给出了黑体动态平衡的条件,与已知的、经实验验证的给出了正确的电子谐波振荡能量的理论不一致。
如果普朗克得出了这个结论,他可能就不会有伟大的发现了(爱因斯坦,1949)
爱因斯坦的讨论接下来开始修改黑体辐射的理论,这是基于当时的实验结果。爱因斯坦使用的实验信息是所谓的维恩定律(代替普朗克方程的有效性)。维恩方程可以写成:
爱因斯坦选择维恩定律作为他研究的开始:
爱因斯坦从这个定律中提取了光量子假设,他将维恩状态下的辐射与由(经典)不相互作用的点粒子组成的气体(通常被称为理想玻尔兹曼气体)进行类比。具体地说,他利用了熵对这种气体的体积依赖关系。——节选,“爱因斯坦和量子理论”。
爱因斯坦从热力学第二定律和理想气体定律出发,从玻尔兹曼熵公式推导出了后一种关系(熵与体积):
由式可知,从状态a到另一状态b的可逆变化满足以下关系式,其中R为气体常数,N为阿瓦伽德罗数,W为气体宏观状态对应的微观状态数:
爱因斯坦接着考虑一个由子系统1、2、…组成的系统,这些子系统不相互作用,因此在统计上是独立的。W = W_1×W_2×…,则系统a和b状态之间的变化如下:
对于理想玻尔兹曼气体(理论气体由许多随机运动的粒子组成,它们唯一的相互作用是完全弹性碰撞),子系统可以被认为是每个单独的分子。
爱因斯坦接着论证说,如果我们让气体a和b分别有体积和温度(v₀,T), (v₀,T),则对所有的i有:
因为分子在统计上是独立的,所以下列关系成立:
综上所述,方程12和13可以被解释为理想玻尔兹曼气体从状态a到状态b的熵变化,由下列公式给出:
推导出这个关系后,我们现在可以回到黑体辐射问题。
设 ϕ(v,T)dv为v与v+dv频率区间内单位体积的熵密度。那么对于能量密度ρ :
爱因斯坦首先假定维恩定律是适用的。然后:
如果辐射包含在体积v中,则 S(v, v, T) = ϕ×v dv和E(v, v, T) = ρ×v dv分别为[v, v+dv]区间内的总熵和总能量。然后,假设维恩定律为真,我们发现熵变为:
将玻尔兹曼关系式所表达的熵变与维恩定律所表达的熵变进行比较,爱因斯坦得出了他的光量子假说。
低密度单色辐射在热力学方面表现为由大小为Rβv/N的相互独立的能量量子组成。
爱因斯坦本人在他的论文中把上述假设作为一个定理,尽管它是基于维恩定律(尽管在那之前与实验一致),仍然需要从第一原理中证明。用爱因斯坦的自己的话:
如果单色辐射具有足够低的密度,就其熵的体积依赖性而言,它是由Rβv/N量级的能量量子组成的不连续介质,研究光的创造和转化的规律是有道理的,也如光由能量量子组成。
换句话说:
光量子假说是关于自由电磁辐射的量子特性的断言,启发式原理是光的这些性质的试探性延伸到光和物质之间的相互作用。
基于这一“启发式原理”,爱因斯坦为光电效应提出了以下最简单的图景:
光量子把它所有的能量都给了一个电子。
他还指出,从黑体内部射出的电子在到达表面之前通常会遭受能量损失。设 Eₘₐₓ是电子能量,在能量损失为零的情况下。然后,爱因斯坦提出了这个关系:
其中,h是普朗克常数,v是辐射频率,P是从物体表面逃逸所需的能量。爱因斯坦指出,方程式18解释了莱纳德1902年的观察结果,即电子能量“丝毫不依赖于光强度”。这个等式同样值得注意,因为它做出了非常强有力的预测:
首先,它表明单个射出电子的能量随光的频率线性增加;第二,它表明(E,v)图的斜率是一个常数,与被辐照材料的性质无关;第三,它表明(E,v)图的斜率的值被预测为普朗克常数,由辐射定律决定。换句话说,爱因斯坦在他的论文中提出,每个光量子的能量等于光的频率乘以一个由辐射定律决定的常数,这个常数现在被称为普朗克常数h。
他的预测解释了光源的能量势能只取决于光的频率而不是光的强度:
低强度、高频率的光源可以提供少量产生光电效应的高能光子,而一个高强度、低频率的光源不能提供足够的单独能量来“驱逐”任何电子的光子。1914年,罗伯特·安德鲁斯·米利根(Robert Andrews Millikan)通过实验对爱因斯坦的预测进行了修正。
正是爱因斯坦发现了光粒子,即“光子”,以及他的预言:当光子频率超过一定阈值时,就会以光电效应的方式发射电子,而光电效应可以说导致了20世纪物理学的量子革命。这也为爱因斯坦赢得了1921年的诺贝尔物理学奖,诺贝尔委员会认为这个奖应该授予爱因斯坦。
想了解更多精彩内容,快来关注老胡说科学
版权声明:我们致力于保护作者版权,注重分享,被刊用文章【证明爱因斯坦关系式(详解爱因斯坦关于光电效应的论文)】因无法核实真实出处,未能及时与作者取得联系,或有版权异议的,请联系管理员,我们会立即处理! 部分文章是来自自研大数据AI进行生成,内容摘自(百度百科,百度知道,头条百科,中国民法典,刑法,牛津词典,新华词典,汉语词典,国家院校,科普平台)等数据,内容仅供学习参考,不准确地方联系删除处理!;
工作时间:8:00-18:00
客服电话
电子邮件
beimuxi@protonmail.com
扫码二维码
获取最新动态
