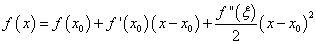
拉格朗日中值定理说,如果一个函数f(x)在闭区间[a,b]上是连续的,在开区间(a,b)内可导,那么在(a,b)内至少存在一点ξ,使得
或
拉格朗日中值定理的意思就是:
连接图像上两个点 A、B画一条线,要求画出的线每个点都连续可导,那么你画出的这条线中至少会有一个点处的切线是与连接 A、B的直线平行的。
我们可以用一个直观的例子说明这个中值定理的意思:
有一辆汽车加速行驶,用8秒时间将距离从0推进到200米,很容易算出这8秒钟内汽车的平均速度为25米/秒,那么在这8秒内一定有某一时刻汽车的速度正好是25米/秒。
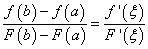
下面,柯西表示有话要说:
柯西中值定理说,如果函数f(x)和F(x)在闭区间[a,b]上是连续的,在开区间(a,b)内可导,并且对任一x∈(a,b)有F'(x)≠0,那么在(a,b)内至少存在一点ξ,使得
这样写可能不好理解,但是我们变化一下大家看是不是就很熟悉了:
这不就是刚才拉格朗日中值定理的别墅二层小楼形式么,所以这里就不过多解释
柯西中值定理是拉格朗日中值定理的推广,是微分学的基本定理之一。其几何意义为,用参数方程表示的曲线上至少有一点,它的切线平行于两端点所在的弦。该定理可以视作在参数方程下拉格朗日中值定理的表达形式。
柯西中值定理粗略地表明,对于两个端点之间的给定平面弧,至少有一个点,弧的切线通过其端点平行于切线。
在柯西中值定理中,若取g(x)=x时,则其结论形式和拉格朗日中值定理的结论形式相同。
因此,拉格朗日中值定理为柯西中值定理的一个特例;反之,柯西中值定理可看作是拉格朗日中值定理的推广。
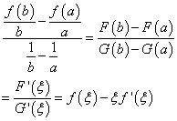
若令u=f(x) , v=g(x),这个形式可理解为参数方程,而f(b)-f(a)/g(b)-g(a)则是连接参数曲线两端点弦的斜率,f'(ξ)/g'(ξ)表示曲线上某点处切线的斜率,在定理的条件下,结论可理解如下:
用参数方程表示的曲线上至少有一点,在这一点处的切线平行于连接两个端点的弦。
柯西中值定理最主要的应用是证明带有拉格朗日余项的n阶泰勒公式,只要反复使用柯西中值定理多次就能证明,下面以n=1为例说明。
例 1
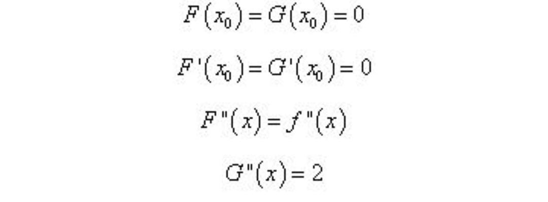
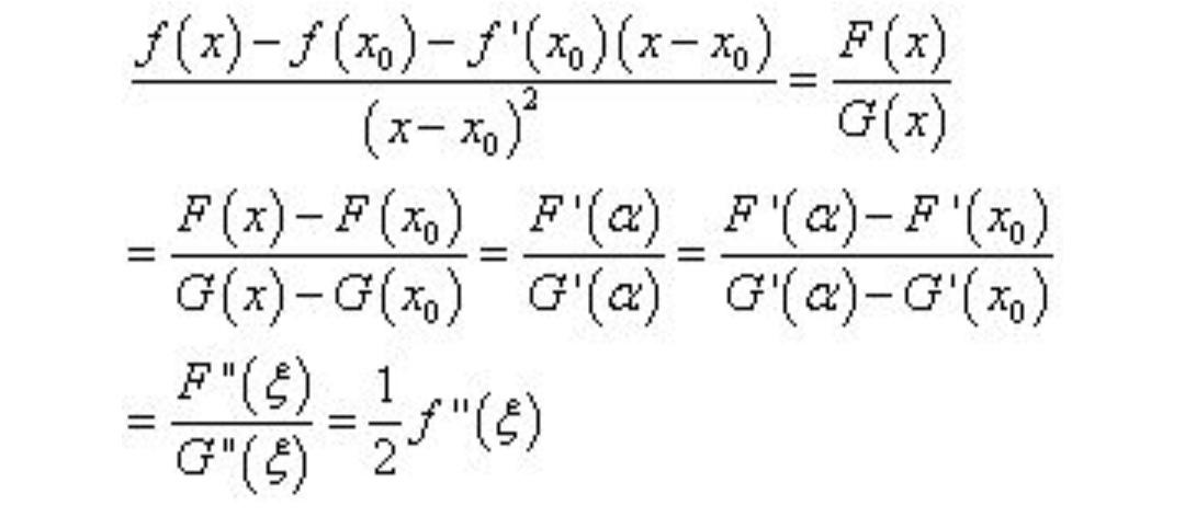
设f(x)在(a,b)内二次可微,证明:任意的x , x0∈(a,b),在x , x0之间存在ξ,使
这就是函数f(x)在点x0邻域内的一阶泰勒公式。
证明:令
G(x)=(x-x0)²利用
在两次应用到柯西中值定理后可以得到:
命题得证。
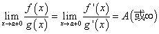
柯西中值定理的一个最重要的应用就是可以推导计算待定型的极限最有效的方法——洛必达法则。
洛必达法则是求两个无穷小量或两个无穷大量的比的极限。在满足一定条件下可以化成两个函数的导数的比值极限,这样就有可能使得原待定型变成简便而有效的求非待定型极限的问题。
我们得出下面这个定理(洛必达法则):
⑴ 两个函数f(x)和g(x)在开区间(a,b)可微,并且在这个开区间上,g(x)的导数不等于0;
⑵ 存在极限
其中A为一个有限的常数。则在以下情况下:
或者
那么就有:
在区间的另一个端点也存在相类似的结果。这个定理就称之为洛必达法则,能有效地应用于待定型的极限计算。
柯西中值定理在不等式的证明也有广泛应用,关键是f(x)和g(x)要选得恰当。
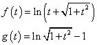
例2
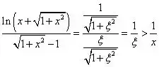
试证明当x>0时,1+x ln(x+√1+x²)>√1+x²。
证明:设
则f(t)和g(t)在区间[0,x]上满足柯西中值定理条件,所以存在ξ∈(0,x),使
即
结论得证。
中值点的存在性的证明是柯西中值定理最典型的应用之一。
例3
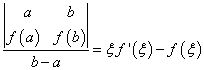
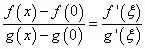
设a>0,函数f(x)在区间[a,b]上连续,在(a,b)内可导,则存在ξ∈(a,b),使得
证明:设F(x)=f(x)/x,G(x)=1/x,显然F(x),G(x)在[a,b]上满足柯西中值定理的条件,于是存在ξ∈(a,b),使得
即存在ξ∈(a,b),使得
即可得结论。
怎么样你学会了吗?动动手指转发给更多的同学吧!
版权声明:我们致力于保护作者版权,注重分享,被刊用文章【柯西中值定理证明(微分学核心定理)】因无法核实真实出处,未能及时与作者取得联系,或有版权异议的,请联系管理员,我们会立即处理! 部分文章是来自自研大数据AI进行生成,内容摘自(百度百科,百度知道,头条百科,中国民法典,刑法,牛津词典,新华词典,汉语词典,国家院校,科普平台)等数据,内容仅供学习参考,不准确地方联系删除处理!;
工作时间:8:00-18:00
客服电话
电子邮件
beimuxi@protonmail.com
扫码二维码
获取最新动态
