[遇见数学]会陆续推出更多图解数学系列文章, 欢迎关注[遇见数学]!
三角函数在小数、大数以及其他变量值时的行为;
三角函数的导数;
简谐运动.
7.1 三角函数的极限
考虑下面两个极限, 唯一区别是, 左边极限考察的是在 x 趋于 0 , 而右边在 x 趋于无穷大取的极限. 也就是需要留意是在很小很小数, 还是很大很大的数上取得极限.
7.1.1 小数的情况
事实表明, sin(x) 和 x 在 0 附近近似相等, 观察下面 x 在 -1 和 1直接的图形, 当 x 非常非常小的时候, sin(x) 近似等于 x , 那么 sin(x)/x=1成立.
7.1.3 大数的情况
7.1.4 "其他的"情况
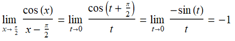
如果计算 x 趋于 a 的极限, 这里 a≠0 , 这里有一个解决的方法, 就是用 t=x-at=x-a 做替换, 将问题转化为 t 趋近于 0 , 比如下面的例子:
7.1.5 一个重要极限的证明
7.2 三角函数的导数
现在把所有三角函数以及反三角函数做个总结(公式自: 中文维基百科).
反三角函数的导数:
7.2.2 简谐运动(Simple harmonic motion)
三角函数经常会用来描述弹簧的震荡运动. 设 x 是弹簧振子在时刻 t 的位置, 取向上的方向作为正方向, 那么描述 x 的方程大致类似于x = r sin (ω t). 类似也可以用余弦来代替, 因为两者总是来回震荡, 而这类运动就被称为简谐运动.
(本章完)「予人玫瑰, 手留余香」
您能帮助[遇见数学]更快发展吗?感谢支持!
版权声明:我们致力于保护作者版权,注重分享,被刊用文章【简谐运动的证明(三角函数的极限和导数)】因无法核实真实出处,未能及时与作者取得联系,或有版权异议的,请联系管理员,我们会立即处理! 部分文章是来自自研大数据AI进行生成,内容摘自(百度百科,百度知道,头条百科,中国民法典,刑法,牛津词典,新华词典,汉语词典,国家院校,科普平台)等数据,内容仅供学习参考,不准确地方联系删除处理!;
工作时间:8:00-18:00
客服电话
电子邮件
beimuxi@protonmail.com
扫码二维码
获取最新动态
