上两篇文章我们阐述和讨论了有关反物质的一些问题,也不能说全部吧,基本上把反物质带来的一些问题都涉及到了,有兴趣的朋友可以戳下面链接:
围剿反物质︱它为何消失?存在反光子吗?反物质能否产生反引力
今天不谈宇宙,我们将讨论一个数学问题:无限自然数的和是什么,放空思想,清理思维,开始一场数学之旅吧!
"有限如何把握无限?" —— 约翰·德莱顿
无限的不一致性和奇异性使得数学充满了乐趣。如果你观察无穷级数1 + 2 + 3 + 4 +···,你会发现它的和不能给出一般意义上的一个确定的值,而是向无穷发散。这个级数叫做发散级数。发散级数本质上是一类无穷级数,其无穷序列的部分和没有有限极限。所以,为了更好地理解它我们来看看什么是部分和?
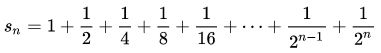
顾名思义,一个部分和是序列或数列中某个特定部分的总和。求和是从第一项到那个特定项的总和。为了更清楚一点,看看这个系列1 + 2 + 3 + 4 +····的部分和。
第一项(1) = 1
第一项+第二项(1+2) = 3
第一项+第二项+第三项(1+2+3) = 6
第一项+第二项+第三项+第四项(1+2+3+4) = 10
因此,序列1 + 2 + 3 + 4 +····的部分和为1,3,6,10,15...等等。那么,现在你一定已经理解什么是部分和了。
我们得到的部分总和也可以叫做三角数,因为它们可以排列成等边三角形
该特殊系列1 + 2 + 3 + 4 +···的第n个部分和由以下简单公式给出:
1 + 2 + 3 + 4 + + n = n(n+1)/2从公式中很容易看出部分和的值趋向于+∞(正无穷)。因此这是一个发散级数。
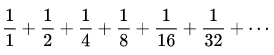
当我们了解了发散级数,学习收敛级数也变得很重要。那么什么是收敛级数?看看这个数列:
正如你看到的,当你向级数的最后一项移动时,这一项变得越来越小,我们可以说它无限趋于零。而且它们的部分和趋于极限。这种级数叫做收敛级数。我们可以求出这类级数的定和。
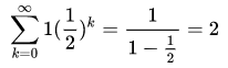
一些小伙伴可能对此有所怀疑:一个包含无数项的数列怎么可能有一个确定的值呢?它应该是无限的,难道不对吗?(有这样的怀疑和疑问也不奇怪,因为伟大的古代哲学家芝诺,也被这个问题弄糊涂了。)事实上这个数列收敛到2 。让我告诉为什么会无限趋近于2。
以下是该系列的视觉图像表现:第一个正方形的面积+第二个正方形的面积= 2平方。
如图所示,我们有两个方块(每个方块1平方米),一个是整体,其面积代表数列的第一项,即1,第二个正方形代表所有后面项的总和。如你所见,我们已经将第二个正方形分成了不同的部分:红色= 1/2,蓝色= 1/4,黄色= 1/8,绿色= 1/6等等。因此,以类似的方式,即使我们把第二个正方形分成无限多个部分,它们的面积之和仍然是1平方米。这就是这个级数所表示的,所以我们得到了答案2。
如果你熟悉几何级数(你一定在高中读过),这里有一个计算无穷几何级数的漂亮公式:当-1 < r < 1时
[r是公比,a是第一项,在收敛级数中r = 1/2, a = 1]
因此,如果我们在无穷收敛级数中应用这个公式,我们会得到:
[显然-1 < 1/2 <1]
如果你还不有点不信,那么还有一个更简单的方法:
然后
现在从2Sn减去Sn我们得到,
当n趋于为无限大是S趋于2,是不是觉得很简单!
我们谈论了无穷级数,现在让我们回到我们的无穷自然数数列,著名的斯里尼瓦瑟·拉马努金求和。
虽然我们知道和1 + 2 + 3 + 4 +···是发散的,我们找不到一个确定的值,但是拉马努詹开发了一种方法来计算这个表达式的值。
斯里尼瓦瑟·拉马努金是一个天才印度数学家,他生活在英国统治印度期间。虽然他没有接受过正规的纯数学训练,但他在数学分析、数论、无穷级数和连分数方面都做出了巨大的贡献,包括解决一些被认为是无法解决的数学问题
拉马努金发展了他自己的方法来解决这类无穷级数,用两种不同的方法求解了无穷自然数列,其中比较简单的方法如下图:
拉玛努詹的原始笔记本
所以,让我把整个式子再写一遍:
正如公式所示,拉马努金把这个系列作为常数 c 减去c的4倍,要得到这样一个级数:1- 2 + 3 - 4 +····
但是他怎么会得到:1 - 2 + 3 - 4 + 5 - 6 +··· = 1/(1+1)²,因为拉马努金知道:1-1+1-1+···=1/(1+1),而且
你现在可能有点困惑,这两个等式怎么成立,不要慌,让我们逐一讨论这两个新数列。
首先看看系列1–1+1–1+····这也是一个无穷级数并且不收敛。它也被称为格兰迪级数。因为这是一个发散级数,所以它缺少一个确定的和。如果我们按照下面的方法在级数中加上括号,我们会得到一个“0”:
(1 - 1) + (1 - 1) + (1 - 1) + = 0 + 0 + 0 + = 0
如果我们把括号放在稍微不同的地方,把第一项放在一边,我们就会得到答案“1”以下内容:
1+(1-1)+(1-1)+(1-1)+= 1+0+0+0+= 1
你会感叹,这么神奇的数列!这就是为什么这是也是一个收敛级数。然而,数学家对此系列还有一个奇怪的答案即1/2。如果我们把这个级数当作收敛级数,并用我们的一般代数方法,我们会得到这个和的一个特殊答案:
s = 1-1+1-1+···
1-S = 1(1-1+1-1+···)= 1-1+1-1+···= S
1-S = S
1 = 2S,
因此,S =1/2
即1-1+1-1+···=1/2
也许拉马努金就是这样得到他的1/(1+1)。
让我们直接进入下一个系列,1 - 2 + 3 - 4 +···,看看会有什么结果。这也是一个发散的无穷级数,你可以看到它的部分和也不趋向于任何有限极限。这个系列比前一个更加复杂,即使通过Cesaro(塞萨罗)求和也无法解决。它需要一些更复杂的求和,比如阿贝尔求和。但有一些其他更简单的方法来显示这个总数。一种不太严格的方法,如下:
S =1 - 2 + 3 - 4 + 5 - 6 +····
0 + S = 0 + 1 - 2 + 3 - 4 + 5 - ····
2S =1 - 1 + 1 - 1 + 1 - 1 +····
这是我们刚才说的格兰迪数列,所以我们有,
有些人可能会说,我们不能在开头加上“0”。这与数学规则不一致。还有另一个可信的方法来证明这一点:
拉马努金写道:
1 - 2 + 3 - 4 + = 1/(1+1)^2
我们知道
1-1+1-1+····=1/(1+1)
所以我们可以写:
1-2+3-4+···=(1 - 1 + 1 - 1 +···) ^2
= (1 - 1 + 1 - 1 +···)× (1 - 1 + 1 - 1 +···)
你可能会想,我们怎么平方这个无限的格兰迪级数,它不是很复杂吗?确实如此,要找到这个结果需要无限次的乘法和加法。我们试着用简单得多的方式来解释,看以下内容:
我们可以写,(1 - 1 + 1 - 1 +···) ^2
并用以下方式直观地表示它:
如果你观察对角线上的阴影并把数字加起来,你会得到以下一数列:
1 - 2 + 3 - 4 +····
这就是我们如何写:
1 - 2 + 3 - 4 +····=(1 - 1 + 1 - 1 +···) ^2=1/(1+1)^2=1/4
在得到所有重要的结果之后,让我们回到拉马努金的总结和他的结果。现在你可以很容易地理解他是怎么写的:
因此,1 +2 + 3 +4 + …= -1/12
所以,看似不合逻辑的总和得到了证明。但是……
这个结果可能看起来很神奇很有成就感,但是如果你把这个答案写在你的数学作业里,你可能会得到一个很大的0!
一般来说,把无穷级数当作有限和来处理是不正确的。在无限发散级数的任意位置加零可能导致结果的不一致性。例如,步骤4c = 0 + 4 + 0 + 8 +···不符合加法恒等式。即使在级数的前面添加一个0(就像我们在1 - 2 + 3 - 4 +···中做的那样)也会导致不一致的结果。例如:
如果
1 + 2 + 3 + 4 +··= x…(Ⅰ)
两边都加上0,
0 + 1 + 2 + 3 +··= 0 + x = x…(Ⅱ)
由(Ⅰ)减去方程(Ⅱ)得到,
(1 - 0)+ (2 - 1)+ (3 - 2)+ (4 - 3)+···= (x - x)
1 + 1 + 1 + 1 +···= 0……(ⅲ)
现在两边同时加0,
0 + 1 + 1 + 1 + 1 + 1 +··= 0 + 0…(iv)
再从(iii)减去(iv)
1 + 0 + 0 + 0 +···= 0
即,1 = 0
这明显是矛盾的,因此我们在无穷级数中任意位置加零的过程都是不正确的。
解决这个问题只有一个办法。我们可以通过对函数的依赖关系来约束插入零的位置,并跟踪序列中的每一项。例如,在1 + 2 + 3 + 4 +···系列中,每一项n都是一个数字,如果我们将n提升为一个函数n-s,其中‘s’是一个复变量,那么可以确定只添加了相似的术语。由此产生的系列可以用更合法的方式操纵。
通过使用解析开拓关于黎曼ζ函数(ζ函数正则化)我们可以扩展它的域来给出1 + 2 + 3 + 4 +=-1/12。让我们看看如何:
我们知道:
现在,通过将函数乘以2×2^-8我们得到:
如果我们用下面的方法进行减法运算,我们会得到:
因此,我们有
根据数学规则,这是完全可以的。通过分析延拓,我们可以把s = -1,然后我们会得到,
因此,我们以更严格的方式证明了结果。然而,拉玛努詹也发展了自己的公式来求解这些类型的无限发散级数。这种方法被称为拉马努金求和。
拉马努金在给G.哈迪写道: “亲爱的先生,我很高兴阅读你1913年2月8日的来信。我期待着你的回复,就像伦敦一位数学教授写的那样,要求我仔细研究布罗姆维奇的无穷级数,不要陷入发散级数的陷阱。我告诉他,根据我的理论,这个级数的无穷多个项之和:1+2+3+4+⋯= 1/12。如果我告诉你这些,你会立刻向我指出精神病院是我的目标。我详述这一点仅仅是为了让你相信,如果我在一封信中指明我前进的路线,你将无法遵循我的证明方法。……” 拉马努金,在他的给哈迪的第二封信,1913年2月27日这个结果在物理学的许多领域都很有用。例如,在玻色子弦理论中,结果被用来计算无限次量子谐振的总能量。这个事实也被用来说明弦理论在26维以外的维度上是不一致的。
1 + 2 + 3 + 4 +···的正则化也有助于计算一维标量场的卡西米尔力。-1/12的符号反映了卡西米尔力有吸引力。这一惊人的结果也可能在量子力学的其他领域以及未来更多领域得到应用
所以,数学非常合乎逻辑,有时会给我们带来一些有悖常理的结果。要么是我们真的错了,要么我们的宇宙就是这样。有时数学会给我们一些奇怪的结果,科学家有时容易忽略这些数学假象,但现在有一点是肯定的,这个看似不合常理的数学公式在物理的许多计算中起到了一定的作用。斯里尼瓦瑟·拉马努金为数学的发展做出了重要的贡献。
版权声明:我们致力于保护作者版权,注重分享,被刊用文章【证明数列收敛(1)】因无法核实真实出处,未能及时与作者取得联系,或有版权异议的,请联系管理员,我们会立即处理! 部分文章是来自自研大数据AI进行生成,内容摘自(百度百科,百度知道,头条百科,中国民法典,刑法,牛津词典,新华词典,汉语词典,国家院校,科普平台)等数据,内容仅供学习参考,不准确地方联系删除处理!;
工作时间:8:00-18:00
客服电话
电子邮件
beimuxi@protonmail.com
扫码二维码
获取最新动态
