代数基本定理断言任意݊n(n>0)次复系数多项式方程在复数域中至少有一个根, 事实上,有许多等价的陈述方式,例如,每个݊n( n> 0)次复系数多项式在复数域上一 定有一个一次因式,它是代数学中非常重要且基础的一个定理。
17 世纪的代数方程 论开始于方程根的数目究竟有多少的问题,吉罗拉莫·卡尔达诺是第一个意识到三次方程可能有三个根,四次方程可能有四个根等,曾指出实系数方程的复根是成对出现的,并引入负数的平方根,但是只考虑正根, 而不考虑负根。
1629年荷兰数学家阿尔伯特∙吉拉德在“代数的新发明”一书中断言,如果把虚根考虑在内,并按重数计算重根的数目,则݊n次代数方程有݊n个根,吉拉德首次将负数与正数等量齐观并承认复根,虽未能给出证明,但克服了大多数不愿将复数根视为合理的情况。
1637 年勒内·笛卡尔在他的“几何学”第三卷中推 测每个方程根的数目等于未知数的维数,与吉拉德的说法类似,但是对笛卡尔来说, 虚根从来不对应任何实数,摒弃了复根。
从 16 世纪初到17世纪中叶的方程理论中, 缺少对“虚量”的精确表述,对于线性因子分解和根的数目的一般陈述并非代数基本定理。
18 世纪初,约翰·伯努利和戈特弗里德·威廉·莱布 尼茨的工作构成了代数基本定理史的起点。
伯努利在1702 年的文章“关于积分学问题的解答”的开头得出一个结论:有理微积分总是可以约化为双曲线的求积(如果对数是实的)或圆的求积(如果对数是虚的)。但是他没有给出一般证明,莱布尼兹通过举例积分:
同时依赖于双曲线和圆的求积,并指出只要有理分式的分母分解成一次或二次实因式,就会有一个与圆或双曲线求积相同的相依积分,并提出了代数基本定理问题:即每一个实系数多项式都能分解成线性因式的乘积或分解成实系数的 一次因式和二次因式之积。但是莱布尼茨否定了问题的答案,并以:
为例,认为不能对所有的多项式得到这样的实因式解。这样就开启了一段围绕实系数多项式能分解成线性因式的乘积为主题的工作。
对于方程根的存在性问题的普遍关注是在十八世纪,代数基本定理的第一次证明通常归功于法国数学家让·勒朗·达朗贝尔,他在1746 年详细阐述了此定理,并于 1748年出版。1749年瑞士数学家莱昂哈德·欧拉发表了一个与达朗贝尔截然不同的证明,在接下来的几十年里,弗朗索瓦·戴维,约瑟夫·拉格 朗日,以及皮埃尔-西蒙·拉普拉斯等人给出了代数基本定理的其他代数证明方法。
直到1799 年,冠以“数学王子”称号的德国数学家约翰卡尔·弗里德里希·高斯在赫尔姆施泰特写的博士论文《每个单变量的整有理代数函数均可分解为一次和二次实因式积的新证明》中才首次给出代数基本定理较严格的证明,它包含了对达朗贝尔、欧拉、戴维、拉格朗日的工作的批评,然后运用几何方法给出自己的证明,该证明为数学中证明存在性问题提供了创新思想。
高斯在后来的1815 年、1816 年、1849 年又分别给出代数基本定理的另外三个证明,1815年给出的是完全依赖于代数原理的证明,1816 年给出的是纯粹解析性的证明,1849年的证明是为纪念其获得博士学位 50 周年而作,将第一次证明扩展到复数域。高斯一 生中对代数基本定理提供了四个不同的证明,涵盖其整个成年生活的五十年的时间跨度。
自高斯的博士论文揭示了前期数学家证明的不足之后,关于此定理的证明便接踵而至,意大利数学史学家吉诺·洛里亚于1891年整理了一份 从1749 年(达朗贝尔)至 1891年期间将近80位数学家证明基本定理的文献清单, 基于这些文献清单,深入剖析为什么有这么多关于代数基本定理的证明。
从1749年到1849 年期间,代数基本定理的证明历史分为代数证明史和分析证明史,主导代数证明的数学家主要有欧拉、拉格朗日、戴维、拉普拉斯、伍德、高斯。主导分析证明的数学家有达朗贝尔、高斯、阿尔冈、柯西。
高斯一生为此定理提供 4次证明:1799 年的第一次证明作为博士论文发表于赫尔姆施泰特大学,在以后的1815 年、1816 年、1849年分别给出代数基本定理的另外三个证明。高斯在1816年发表的第三次证明开篇讲道:
方程理论中最重要的定理,前两个早期证明版本的不同之处在于:前者非常简 短和简单,但部分基于几何考虑,而另一个则纯粹是分析性的,但要复杂得多。另一 方面,基于完全不同的原理,目前的第三个证明也是纯粹的分析性的,但在简单和简 洁性方面甚至超过了第一个。
可见第三次证明对高斯的重要性,从19 世纪中叶至 20 世纪末期,有研究者复原高斯第三次证明的思想过程,其对应于吴文俊先生提倡的数学史研究范式中的 “古证复原”方法。本文基于原始文献和研究文献,在遵循高斯原始证明思想的基 础上,对第三次证明中函数y提供一种新的证明思路。
埃尔∙拉梅引理
1834年,法国数学家加布里埃尔∙拉梅发表了一篇关于以太流体平衡定律的文章, 论文第二部分共轭正交面一节中,拉梅证明了如下定理:
当一个曲面系统由一般方程:
定义时,ε_1,ε_2表示为ρ_1,ρ_2的各个函数, 令
α,β是不动点坐标,常数α,β和A之间互不相同,以上方程式给出:
从而有:
证得曲面系统是 正交且等温的。
函数y的重新构造
高斯首先设系数为实数的多项式:
至少有一个(实数或复数)解,使得݂f(x)=0,r,φ为其他变量并设:
高斯将函数݂f(x)替换为:
并分为实部t和虚部u:
事实上,用到棣莫弗公式:
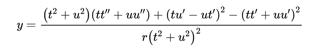
辅助变量t和u存在的合理性在1799年的论文中已被证明,第三次证明确实处于与他的第一个证明相似的条件下。 接下来,高斯直接给出函数:
论文并没有给出y的推导过程,后来数学界对函数y提出两种不同的构造方法,其中方法之一是取决于反正切函数:
高斯的第三次证明本质上是从反正切函数ܽ开始的。实际上,从拉梅证明的一个定理中发现,我们可以从对数函数:
出发构造复杂函数y,令θ=logr,β是t和u的函数,则:
从而得出:
因此,这两个量满足方程:
二次求偏导的值恰好是:
高斯在第三次证明的脚注中解释了确定最后一个积分的方法:
要使用它是不言自明的,此外,不定积分很容易用理解为:
它可以从另一个来源证实,该值必须确定为φ = 360°,或扩展为݊n× 360°,即2݊nπ,然而,这是没有必要的计划。
高斯试图说明使他产生矛盾的假设,但是他想表明的是没有必要,即使这样,多值函数当时已经被高斯仔细考虑过了,݊n次有理函数݂f(x)的圆弧在围绕零点足够大的 圆上旋转时,
将经历2nπ的变化,高斯1811年与贝塞尔的通信中分析了对数函数:
如果通过:
定义logx,从x=1开始,则到达logx时,不包括点x=0或者多次绕过它;每次添加常量或-2πi。
可见,通过圆的圆周时,logx的变化为2nπi,无论是ܽ反正切函数或݈对数函数都可以在遵循高斯原始思想的前提下,证明代数基本定理。
接着同高斯一样把证明代数基本+2πi定理的证明转化成考察二重积分次序的问题,积分的值与积分次序无关,最后所得结果应该一致,如果能找到一个可微函数y,使得积分的值因积分顺序不同而不同,与原假设产生矛盾,基本定理得到了证明。
计算二重积分:
积分区域是半径为ܴR,圆心在原点处的一个圆,R对应于1799 年证明中找到曲线交点的圆的半径,先从0到2π对φ积分,积分值:
调换积分次序,高斯引入辅助定义:
Rܴ是一个足够大的正实数,满足:
Rܴ的选取可以保证T,U,T',U'都是正数。如果r=R,得出函数t^2+u^2的值是ܶT^2+U^2,tt'+uu'的值是TT'+UU',因此是正的。如果假设积分从r=0 扩展到r=R,对于φ的任何确定的实数值, 得到:
而:
所以产生矛盾。
高斯在第三次证明中未对函数y的构造提供解释,将此定理的证明转换成积分与路径无关的问题,主要归结为曲线积分与路线无关的问题,而线积分与路线无关的条件与线积分沿任一简单闭曲线的值都为 0 的条件相同,于是可以归结为研究沿任一简单闭曲线积分值为0的条件,就是现代数学教材中的柯西积分定理,高斯 1811年给贝塞尔的信件中写道:
现在我断言积分只有一个值,即使是通过不同的路径,只要在两条路径所围的空间内φ(x)是单值的,并且不变为无穷。这是一个很美丽的定理,它的证明并不难,我将在一个适当的机会给出这证明。
但是,高斯从未回过头来继续讨论这个问题和重积分中的积分顺序问题,反而成为柯西在复分析领域的出发点。 高斯1816 年对代数基本定理的纯解析证明篇幅较短,但是理清高斯发现这一解法的思路是很困难的,一些数学家对高斯的思想过程做出猜测,发现高斯证明的关键点在于对多值函数的研究,利用拉梅已证明的一个定理,对函数y提供一种新构造方法。
版权声明:我们致力于保护作者版权,注重分享,被刊用文章【拉普拉斯定理证明(代数基本定理)】因无法核实真实出处,未能及时与作者取得联系,或有版权异议的,请联系管理员,我们会立即处理! 部分文章是来自自研大数据AI进行生成,内容摘自(百度百科,百度知道,头条百科,中国民法典,刑法,牛津词典,新华词典,汉语词典,国家院校,科普平台)等数据,内容仅供学习参考,不准确地方联系删除处理!;
工作时间:8:00-18:00
客服电话
电子邮件
beimuxi@protonmail.com
扫码二维码
获取最新动态
