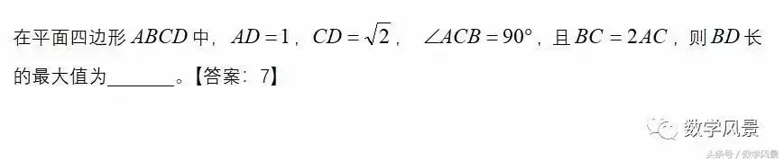
在刚刚过去的“河北省五个一名校联盟2019届高三摸底考试”中遇到这样一道考题:
这道题,是作为填空压轴题16题出现的,不易思考,但是考察的知识点是明确的,解三角形中的正余弦定理。
现将解题方法分享如下:
按照这一思路讲完后,班级里有一学神级人物,站起来说,老师,这还可以利用Ptolemy(托勒密)不等式解决:
当时尴尬了,“有眼不识托勒密,只缘身在题海溺!”
托勒密:
克罗狄斯·托勒密(古希腊语:ΚλαύδιοςΠτολεμαῖος;拉丁语:ClaudiusPtolemaeus,约90年-168年),又译托勒玫或多禄某,相传他生于埃及的一个希腊化城市赫勒热斯蒂克。罗马帝国统治下的著名的天文学家、地理学家、占星学家和光学家。
在天文学方面,托勒密全面继承了亚里士多德的地心说,并利用前人积累和他自己长期观测得到的数据,写成了8卷本的《伟大论》。在书中,他把亚里士多德的9层天扩大为11层,把原动力天改为晶莹天,又往外添加了最高天和净火天。托勒密设想,各行星都绕着一个较小的圆周上运动,而每个圆的圆心则在以地球为中心的圆周上运动。他把绕地球的那个圆叫“均轮”,每个小圆叫“本轮”。同时假设地球并不恰好在均轮的中心,而偏开一定的距离,均轮是一些偏心圆;日月行星除作上述轨道运行外,还与众恒星一起,每天绕地球转动一周。托勒密这个不反映宇宙实际结构的数学图景,却较为完满的解释了当时观测到的行星运动情况,并取得了航海上的实用价值,从而被人们广为信奉。
除了在天文学方面的造诣, 托勒密在地理学上也做出了出色的成就。他认为,地理学的研究对象应为整个地球,主要研究其形状、大小、经纬度的测定以及地图投影的方法等。他制造了测量经纬度用的类似浑天仪的仪器(星盘)和后来驰名欧洲的角距测量仪。托勒密有地理学著作八卷,其中六卷都是用经纬度标明的地点位置表。他的多数地点位置好像都是根据他的本初子午线和用弧度来表现的平纬圈之间的距离来计算的,因为他的经度没有一个是从天文学上测定的,只有少数纬度是这样测定的。托勒密采用了波昔东尼斯测定的地球周长的较小数值,这就使得他所有用弧度表现的陆向距离都夸大了,因为他把每一弧度的距离定为五百希腊里,而不是六百希腊里。这样一来,从欧洲到亚洲横贯大西洋的洋面距离,看上去就比埃拉托斯特尼的计算值小得多,这项计算最后还导致了哥伦布从西面驶往亚洲的企图。托勒密对世界情况比他的前辈熟悉得多,埃拉托斯特尼的地图东面只到印度的恒河为止,但是托勒密知道有马来半岛和“蚕丝之国”,即中国。
在数学方面,他用圆周运动组合解释了天体视动,这在当时被认为是绝对准确的。他对光学也作过研究,认为光线在折射时入射角与折射角成正比关系。他还论证了四边形的特性,即有名的托勒密定理。
一般几何教科书中的“托勒密定理”,实出自依巴谷(Hipparchus)之手,托勒密只是从他的书中摘出。
摘出并完善后的托勒密(Ptolemy)定理指出,圆的内接凸四边形两对对边乘积的和等于两条对角线的乘积。定理表述:圆的内接四边形中,两对角线所包矩形的面积等于一组对边所包矩形的面积与另一组对边所包矩形的面积之和。
从这个定理可以推出正弦、余弦的和差公式及一系列的三角恒等式,托勒密定理实质上是关于共圆性的基本性质。
托勒密定理的推广:托勒密不等式:凸四边形的两组对边乘积和不小于其对角线的乘积,取等号当且仅当共圆或共线。
复数证明:
回过头,再看我班学神的人物的解答那就是完美的了。借助于托勒密不等式,轻松解决了平面四边形线段的最值问题。
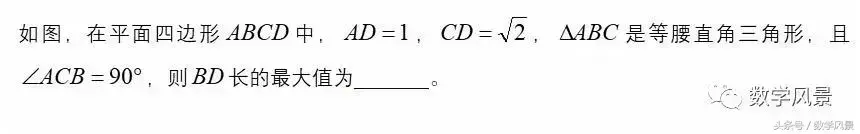
再练一道,熟悉一下:
版权声明:我们致力于保护作者版权,注重分享,被刊用文章【托勒密定理证明(托勒密不等式现身摸底考试)】因无法核实真实出处,未能及时与作者取得联系,或有版权异议的,请联系管理员,我们会立即处理! 部分文章是来自自研大数据AI进行生成,内容摘自(百度百科,百度知道,头条百科,中国民法典,刑法,牛津词典,新华词典,汉语词典,国家院校,科普平台)等数据,内容仅供学习参考,不准确地方联系删除处理!;
工作时间:8:00-18:00
客服电话
电子邮件
beimuxi@protonmail.com
扫码二维码
获取最新动态
