1687年,在哈雷(Halley)的鼓动和支持下,不敢轻易发表作品的牛顿(Newton)出版了他耗时3年写成的数学巨著《自然哲学的数学原理》,此书无论之于数学还是物理,都具有划时代的意义。
牛顿《自然哲学的数学原理》首版图书封面
大家熟知的“力学三大定律”、“万有引力定律”,以及“微积分”的发明,都集中体现在Newton的《自然哲学的数学原理》一书中。
但是此书还有一个对微积分影响深远的发现,大家却未必知晓。在《原理》第三篇的引理五“求通过任意个点的抛物线类曲线”中,Newton以几何的形式给出、并简单证明了这个发现——“牛顿插值公式”(Newton interpolation formula)。
《自然哲学的数学原理》中的“牛顿插值公式”
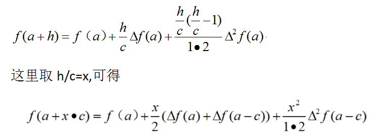
当然,在欧洲“牛顿插值公式”的发现不只属于Newton,同时期的格雷戈里(gregory)、莱布尼茨( Leibniz)也享有独立的发明权。为了便于大家快速理解这个公式的用途和来由,我们使用现代符号来表示:
我们称之为“插值公式”是因为根据已知的n个点得到的这个公式,可以用来近似的估计原函数在其他点的函数值。就好比在这n个点之间插入了一个比较贴近原函数的值,这个功能与“拟合”类似,但不同的是,“插值公式”中已知的n个点一定满足公式。
“插值公式”的证明不困难,只需设
并将n+1个点的值逐一带入f(x)求出系数即可。
Newton在这里首次引入了“差商”的概念,差商指的是两个点之间纵坐标之差比上横坐标之差,即△y/△x。
数学中不可避免的会遇到这些新概念,但我们只要多看看,熟悉了也就顺眼了。现在,对“插值公式”稍作变化。令“插值公式”中的c=△x,并让△x→0得,
这就是大名鼎鼎的泰勒级数(Taylor series)。
泰勒画像
泰勒级数是牛顿插值公式的一个重要推广和运用,由于可以轻松将无理函数转化为级数展开形式,泰勒级数在分析学形成早期的函数求导、求积中扮演了最重要的角色。
根据泰勒级数可以得到正弦函数y=sinx的级数展开式:
如下图,即使是取
,也可以较好的估计y=sinx在(-90°,90°)之间的值。以18°的正弦值为例,g(π/10)≈0.30902与sin(π/10)的值0.30901699...在小数点后5位才出现悬殊。
用y=g(x)来估计正弦函数
当然如果我们取的级数展开式的项数越多,得到的正弦值也就越精确。而结合当代计算机的强大功能,我们可以快速计算任意角度的足够精确的正弦值。泰勒级数的功能之强大、过程之简洁实在让人震撼!
但需要说明一点,关于“正弦函数”的展开式,虽然我们常用以上“微分”的方法来求解。但是在牛顿时代,却是通过更复杂的形式——“积分”的方法来得到的。具体参见附录【1】。再往前几个世纪,印度数学家Mādhava最早给出了正弦、余弦、正切的级数展开式,只是当时的欧洲数学家并不知晓。
总结一下,从“分析”的角度解决“正弦值”问题,不但可以直接计算正弦函数在任意角度处的近似值,而且操作简单、精确度有保证,在计算机普及的今天,“正弦表”更是可有可无。但是,早期的天文学家就没有这么幸运,他们的每一次计算都离不开“弦表”,因为这是他们处理数据的基础。既然如此,那早期数学家是如何计算“正弦值”并绘制“正弦表”的呢?
还得继续提到数学大家Newton,他和gregory等数学家在欧洲首先发现了插值公式,但实际上插值公式的最初发现并非在欧洲,而是7世纪初的中国。公元600年,隋朝天文学家刘焯(zhuo)创《皇极历》,并用“二次插值公式”来计算日、月、五星的运行速度.
刘焯画像
随后,也是在7世纪,印度著名数学家婆罗摩笈多(Brahmagupta) 为了讨论“*正弦”(这里加*是为了与现在的“正弦”作区分,“*正弦”指的是弧所对正弦线或半弦值),在《肯达克迪迦》(Khandakh1dyaka,音译)一书中也使用了“二次插值公式”。
婆罗摩笈多(Brahmagupta)
Brahmagupta首先列出了0°到90°每隔15°的“#正弦值”,然后使用“二次插值公式”:
如果需要计算37°的正弦值,利用等式 37°=30°+(7/15)15°,令a=30°,x=7/15,c=15°.则f(a)=*sin30°.....带入公式即可。
最后回到我们的老熟人——古希腊著名数学家托勒密Ptolemy这里。在上一篇文章中,我们说到,Ptolemy的“弦表”是现存最早的“正弦表”,其值指的是2α°弧所对弦长|BC|的值.
Ptolemy的“弦表”中的弦长|BC|
计算中Ptolemy取圆周为360等分,半径为120等分。为免混淆,下面用# sinα°来表示Ptolemy的“弦值”,以区别于现在的sinα°。
具体步骤如下:
“弦表”绘制步骤
古希腊的数学著作大多以几何形式呈现,数学概念是几何的、数学推导也是几何的。Ptolemy的著作也不例外,上面的推导过程记录在《至大论》(Almagest)一书中,篇幅有限,不能一一说明它们的具体推导过程,但如果你需要继续思考下去,下面的3个问题会是一个好的出发点:
问题1:如何计算sin72°的值?
问题2:如何用“托勒密定理”推导“正弦的和、差角公式”?
问题3:如何用“托勒密定理”推导“半角公式”?
以上问题答案,可参考附录【2】
Ptolemy绘制的“弦表”建立在几何——尤其是托勒密定理的基础上,并且已经有了等价于现代“正弦的和、差公式”、“半角公式”等三角公式,更难能可贵的是大胆的使用了“不等式”来逼近函数值。后世的印度、阿拉伯数学家对他的方法、成就做了继承和发展,逐步演变成现在比较成熟的“三角学”。
“正弦的和公式”
阿拉伯数学家瓦法(Wafa)是第一个计算现代意义下的“正弦值”的人,他使用“不等式逼近法”编制了高度精密的“正弦表”。在计算30′正弦值得时候,使用了不等式:
最后计算得到sin30′≈0.008726536673.这个近似值精确到了小数点后9位。这在以前的“弦表”里是见不到的,没错,Wafa创了记录。
阿布·瓦法(Abū al-Wafāʾ,公元940-998年)
到这里,我们对“弦表”的制作史介绍就告一段落了,三角学这门学科从隶属于天文学,历经千年后独立发展并逐步壮大,离不开一代代的数学巨匠们的奋斗,让我们一起向这些伟大的开拓者和继承者们致敬!
附录:
【1】.微积分的历程.William Dunham.人民邮电出版社.2012
【2】.世界数学通史(上).梁宗巨.辽宁教育出版社.2005. P438-440
版权声明:我们致力于保护作者版权,注重分享,被刊用文章【托勒密定理证明(历经千年)】因无法核实真实出处,未能及时与作者取得联系,或有版权异议的,请联系管理员,我们会立即处理! 部分文章是来自自研大数据AI进行生成,内容摘自(百度百科,百度知道,头条百科,中国民法典,刑法,牛津词典,新华词典,汉语词典,国家院校,科普平台)等数据,内容仅供学习参考,不准确地方联系删除处理!;
工作时间:8:00-18:00
客服电话
电子邮件
beimuxi@protonmail.com
扫码二维码
获取最新动态
