林根数学 今天
周春荔先生在一篇文章中,谈到了一个例题:
“证明存在两个无理数x,y,使z=x的y次方是有理数。
证法一:用反证法,
设对于任何两个无理数x,y,来说,z=xy都是无理数,那么
就一定是无理数.进而
也就是无理数。
但是
是有理数,因此得出矛盾。这表明,存在有两个无理数,使得z=x的y次方是有理数。”
这个证明本身没有什么问题,但它没有给我们一个实际的构造方法,即,对一般情况的两个无理数α,β,我们如何判断α的β次方是不是无理数呢?
实际上,比无理数更深一点的概念是代数数和超越数。
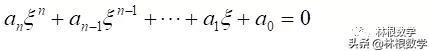
定义:一代数数ξ乃适合方程
之根,此处,an,an-1,…,a1,a0是有理整数,若此式不可分解,且an≠0,则此ξ称为n次的代数数.若an = 1,则此ξ称为n次的代数整数.
非代数数的数称为超越数。
超越数的判断很困难,现在人们所知的超越数不多,比如常见的数e,π,Hermit第一个证明了e是超越数,Lindemann第一个证明了π是超越数。
至于其它的证明,虽然时有声称只用简单方法就证出这个结论,但正确性未经同行检验。
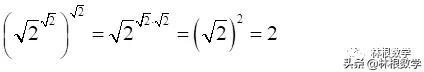
比如下面的证明:
(见《中学数学杂志》2010年第 7期)
两个方面需要注意:
(1)超越数的理论更艰深。人们对无理数甚多了,可是对超越数的了解现在还极少,甚至还没有入门;
(2)超越数的数的测度远远大于无理数,意思说,无理数是无穷的,可是它和超越数相比,就几乎是0个;就如同自然数是无穷的,可是与无理数相比几乎是0个一样的。换句话说:“几乎”所有数都是超越数!
通过文首周先生的文章,我们知道了无理数的无理数次方有可能等于有理数,但我们只是知道有了这样的数,但这个到底在哪儿?如何构造出来?却不是那么容易的。好在,有个 Gelfond-Schneider 定理,这个定理由AleksandrGelfond和Theodor Schneider在1934年独立证明,它回答了希尔伯特第七问题。
1900年,Hilbert提出了著名的23个数学大问题,其中第7个问题是:
若α≠0,1,且是一代数数,β是一非有理数之代数数,问α的β次方是否是超越数。并举出两例:即能否证明
是超越数。
关于此问题第一个作出重要贡献的前苏联数学家Гельфонд,他在1929年证明了eπ是超越数。
后来,两人前苏联数学家Куэьмин和Гельфонд再接再厉,将Гельфонд的方法推广到实二次域,在1630年证明了2的√2次方是超越数。
至于说类似的形式,比如:π的e次方, π的π次方,e的e次方,是不是超越数,感兴趣的读者可以试一下证明。
谢谢阅读!
更多内容,请关注“林根数学”微信公众号。
林根数学,专注初高中数学辅导,全国清北自主招生讲座巡讲上百场,使一大批学生获得清北自主招生加分,帮助他们圆了清华、北大梦。
2019年辅导多名学生获全国高中联赛一等奖.
在微信公众号及头条号发表高考压轴题及数学竞赛题速解等相关公益文章500多篇,欢迎阅读及转发,期待更多的学生受益.
《林根数学》资料(说明:以下资料随堂使用,不单独提供 )
1.《高考数学全观》(上、下)(高考第一轮)教案及学案
2.《高考数学重观》(高考第二轮)教案及学案
4.《中考数学微观》教案及学案
5.人教版必修1—5全套教案及学案
版权声明:我们致力于保护作者版权,注重分享,被刊用文章【证明根号2加根号3是无理数(√2的)】因无法核实真实出处,未能及时与作者取得联系,或有版权异议的,请联系管理员,我们会立即处理! 部分文章是来自自研大数据AI进行生成,内容摘自(百度百科,百度知道,头条百科,中国民法典,刑法,牛津词典,新华词典,汉语词典,国家院校,科普平台)等数据,内容仅供学习参考,不准确地方联系删除处理!;
工作时间:8:00-18:00
客服电话
电子邮件
beimuxi@protonmail.com
扫码二维码
获取最新动态
