问题:1³+2³=,1³+2³+3³=,1³+2³+3³+4³=,…,你能发现自然数的立方和有什么规律吗?
分析:试算一归纳一猜想一论证是研究与发现数学规律的重要手段,也是探求数学模式的重要途径。要解决本题,我们可先考察前2个自然数的立方和,前3个自然数的立方和,前4个自然数的立方和等特殊情形,再从中寻求一般的规律。
解:试算:1³+2³=9=3²,1³+2³+3³=36=6²,1³+2³+3³+4³=100=10² ,1³+2³+3³+4³+5³=225=15²。
归纳:从以上的试算可发现它们的结果均为一个平方数,那么这些平方数又有怎样的规律呢?
我们再进行试算:1+2=3,1+2+3=6,1+2+3+4=10,1+2+3+4+5=15
由此我们可进一步归纳发现前n个自然数的立方和正好等于前n个自然数和的平方。
因此我们猜测:1³+2³+3³+…+n³=(1+2+3+…+n)²
反思:以上为了发现前n个自然数的立方和的规律,我们先观察n=2,3,4,5的一些特殊情况,从中发现规律,进而对它的一般情况作出预测,猜测前n个自然数的立方和为前n个自然数之和的平方。数学家或科技人员面对某一个问题,在研究它的一些特殊情况的基础上,对它的一般情况作出预测,这样的预测叫做猜想。例如,德国数学家哥德巴赫(Gold-bach,1690—1764)经过观察,发现一个有趣的现象:任何大于5的整数,都可以表示为三个质数的和,他猜想这个命题是正确的,但他本人无法给予证明。
1742年6月6日,哥德巴赫去求教当时颇负盛名的瑞士数学家欧拉(Euler,1707—1783)欧拉经过反复研究,发现解决问题的关键在于证明任意大于2的偶数,都能表示为两个质数的和。于是,欧拉对大于2的偶数逐个加以观察,得到如下一张长长的表:4=2+2,6=3+3,8=3+5 ,10=3+7=5+5 ,12=5+7 ,14=3+11=7+7,16=3+13=5+11 ,18=5+13=7+11 ,20=3+17=7+13 ,22=3+19=5+17=11+11
,24=5+19=7+17=11+13,26=3+23=7+19=13+13,28=5+23=11+17…,
这张表还能继续延长下去,最后欧拉猜想上述结论是正确的。6月30日,他复信哥德巴赫,信中指出:"任何大于2的偶数都是两个质数的和,虽然我还不能证明它,但我确信无疑这是完全正确的定理。"
这就是著名的哥德巴赫猜想。两百多年来,许多优秀的数学家为攻克这猜想付出了辛勤的劳动。目前,利用计算机已经验证了1亿3千万个偶数,还未发现反例。
我国数学家在对筛选法作了重大改进后,于1966年5月,证明,任何一个充分大的偶数,都可以表示成两个数之和,其中一个是素数(即质数),另一个或者是素数,或者是两个素数的乘积。这结果震惊中外,被命名为"陈氏定理"。这定理已与证明哥德巴赫猜想仅一步之遥了,但这是最艰难的一步。近年来,各国数学家竞相攀登,但至今还未有人能摘到这颗数学"皇冠上的明珠"。人们对一个个猜想所作的大量研究工作,无论是攻克了,还是没有攻克,均促进了数学的发展。
数学中的许多定理、法则等都是以个别、特殊的数学现象中,通过寻求共性,发现规律,作出合情合理的猜想后得到的。猜想不一定总是成立,有时它是正确的,但有时也可能是错误的,必须对它加以证明,才能确认。法国数学家费尔马1640年发现:
即F(0)=3,F(1)=5,F(2)=17,F(3)=257,F(4)=65537,都是质数,于是,他猜想F(n)(n为自然数)都是质数,
4294967297,这个数能被641整除,所以f(5)不是质数,后来又有人发现n=6,7,8,9,11,12,15,18,23时,f(n)都不是质数。
虽然由猜想得出的结论并不一定可靠,然而从数学发现和培养探索能力的角度来说,则是十分重要的。牛顿也曾说过:"没有大胆的猜想,就做不出伟大的发现"。
对于以上归纳猜测得到的1³+2³+…+n³=(1+2+…+n)²这种与自然数有关的数学命题,我们常采用数学归纳法来证明它们的正确性。
所谓数学归纳法就是:先证明当n取第一个值n0(例如n0=1)时命题成立,然后假设当n=k(k∈N,k≥n0)时命题成立,证明当n=k+1时命题也成立(因为证明了这一点,就可以断定这个命题对于n取第一个值后面的所有自然数也都成立)。
证明:(这里用几何方法)
当n=1时,画一个边长为1个单位的正方形,面积为1²,数值上等于1³。
当n=2时,把长为1的正方形看作第1层壳,在它上面再镶上第2层壳,构成边长为1+2的正方形,面积为(1+2)²,这层壳的面积为8,因此(1+2)²=1+8=1³+2³,再镶上第3层壳(图1—1)
就有(1+2+3)²=1+8+27=1³+2³+3³,
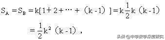
需要证明:第k层壳(图1—2)的面积S为k³。
因为S=SA+SB+SC
SC=k2
此处无声胜有声,因为数学证明中包含的美丽与精巧实在是一道亮丽的风景线,而这种亮丽甚至不需要用语言来描述。下面进行无字证明(图形证明):
方法1;
方法2:
方法3:
观察(或试算)往往可以看出事物的个别的特征,是探索规律的基本条件。归纳就是将所反映出来的特征进行分类、整理、加工、使之初步上升为本质的东西。它是探索规律的前提。正确的归纳,抓住规律的本质,充分根据数字、式子、图形的基本特征,是合理猜想的基础。猜想不是盲目瞎猜,是根据特征分析,带有规律的发现,证明是用数学工具对思维的正确程度加以判断的手段,只有严格论证才能反映出对规律猜想的合理性。观察(或试算)、归纳,猜想,证明在探求或研究具体数学规律中有机地结合在一起,这样能起到积极的作用。
最后,再说明一点,通常猜想是指数学家对重大数学问题,根据所发现的规律作出的合情推理,对于我们所遇到的数学问题,在发现规律后,所作的合情推理,往往只能称为猜测。猜测法也是解决问题的一个重要策略,它有助于构思解题的方向。在解决问题时,学会做各种数学猜测,然后加以证明,有利于发展创造性思维。
42,可以写成3个整数的立方和!这是数学界的一大突破,由MIT和布里斯托大学的数学家共同发现,他们以"生命、宇宙以及一切"的网页标题,公布了这一成果。
人类第一次将42写成了3个整数的立方和!
昨天,有人在 MIT 数学系的网站上贴出一个等式,网页很简单,但没给出结果:
(-80538738812075974)³ + 80435758145817515³ + 12602123297335631³
等于 42!
版权声明:我们致力于保护作者版权,注重分享,被刊用文章【证明两个偶函数的和是偶函数(没有大胆的猜想)】因无法核实真实出处,未能及时与作者取得联系,或有版权异议的,请联系管理员,我们会立即处理! 部分文章是来自自研大数据AI进行生成,内容摘自(百度百科,百度知道,头条百科,中国民法典,刑法,牛津词典,新华词典,汉语词典,国家院校,科普平台)等数据,内容仅供学习参考,不准确地方联系删除处理!;
工作时间:8:00-18:00
客服电话
电子邮件
beimuxi@protonmail.com
扫码二维码
获取最新动态
