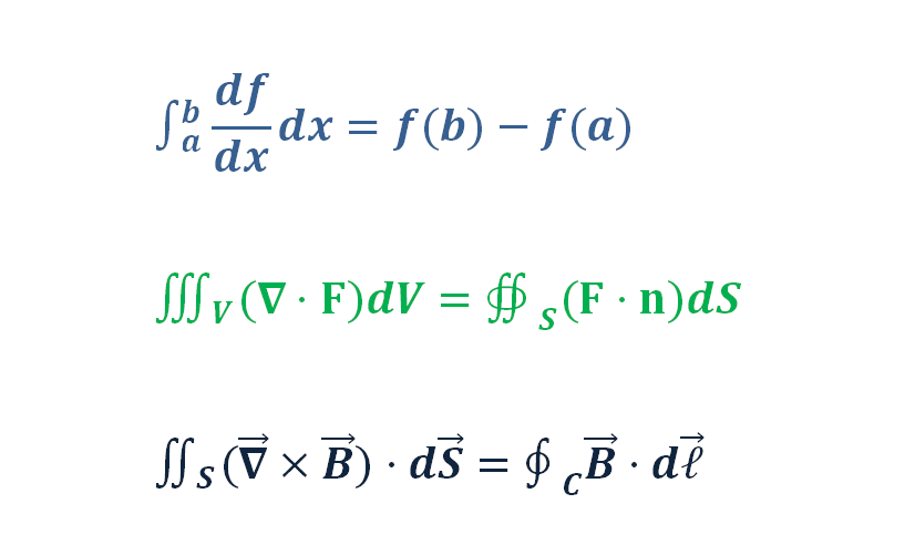
我们在大学都学过的微积分基本定理,它是这样的:
该定理背后的直觉是非常简单的。函数从点a到点b的导数的积分是所有df变化的和,而不是它的离散级数的和:
在上述和中,"中间 "项在每一轮求和之后都会相互抵消,最后只剩下 "边界 "项,即第一个和最后一个。
我们现在要讨论的是,我们如何利用上述定理的直觉,以便在更深的层次上掌握高斯定理和斯托克斯定理?
高斯定理,又称散度定理,一个向量场通过一个封闭的二维表面的向外流量等于这个场在整个表面上的散度之和。我们用数学的形式书写成:
诚然,第一次看到这个定理时似乎有点令人生畏,但它背后的直觉其实很简单,它与微积分基本定理类似。我们知道,一个向量场在某一点的散度是衡量该向量场在该点 的发散程度。
因此,上述定理左边的三重积分,将向量场分散在整个体积V上的所有趋势(散度)加起来,也就是曲面S所包围的体积V。
上述曲面积分中的点积在右手边只 "用 "了矢量场的法向分量,即相对于封闭曲面的法向分量。在此基础上,右手边的表面积分计算出S表面上矢量场的总向外通量。
上述两个量,即边界处的外向通量和体积内所有点的发散量之和,之所以相等,其直觉和我们理解微积分基本定理的直觉一样。当上述所有散度加起来时,由于相反的散度,在体积的中间会有很多抵消,向量场中唯一“幸存”的部分是不能被抵消的部分,即沿表面边界的法线部分,这是向外通量的另一个说法。
在理解这些定理时,应该牢记以下的一般概念:
一个导数(可以是标准导数,也可以是散度或旋度)在一个区域上的积分等于该区域边界处的函数值。
我们将用这个思想来直观地理解斯托克斯定理。
斯托克斯定理说,一个三维表面上的矢量场的总旋度等于该表面边界上的场的环流。我们这样写:
让我们用一些更简单的词来描述斯托克斯定理。就像高斯定理关注的是一个矢量场的散度,斯托克斯定理关注的是一个矢量场的旋度。
矢量场的旋度是衡量矢量场围绕有关点的卷曲程度。
因此,左边的曲面积分将向量场沿特定三维曲面S旋度的所有趋势相加。
右边的线积分有个名字。它被称为向量场的环流,它是向量场围绕有向曲线C(在这种情况下是曲面S的边界)循环的程度的度量。
到目前为止,向量场相对于一个曲面的环流和总旋度相等的原因应该是显而易见的。表面内部“相反”的旋度趋势相互抵消,最终留下的是场的环流,即场在表面边界的旋度。
想了解更多精彩内容,快来关注老胡说科学
版权声明:我们致力于保护作者版权,注重分享,被刊用文章【大学物理高斯定理公式(微积分基本定理背后的直觉)】因无法核实真实出处,未能及时与作者取得联系,或有版权异议的,请联系管理员,我们会立即处理! 部分文章是来自自研大数据AI进行生成,内容摘自(百度百科,百度知道,头条百科,中国民法典,刑法,牛津词典,新华词典,汉语词典,国家院校,科普平台)等数据,内容仅供学习参考,不准确地方联系删除处理!;
工作时间:8:00-18:00
客服电话
电子邮件
beimuxi@protonmail.com
扫码二维码
获取最新动态
