北京大学
北京大学创办于1898年,初名京师大学堂,是中国第一所国立综合性大学。
北京大学2021年本科普通批次录取分数线(上下滑动查看):
清华大学
清华大学的前身清华学堂始建于1911年,1912年更名为清华学校。目前,清华大学共设21个学院、59个系,已成为一所综合性、研究型大学。
清华大学2021年本科普通批次录取分数线(上下滑动查看):
中国人民大学
中国人民大学是第一所新型正规大学,是一所以人文社会科学为主的综合性研究型全国重点大学,直属于教育部,由教育部与北京市共建。
中国人民大学详细介绍(点击文字阅读,下同):大学丨这所大学文科实力强劲,顶尖学科数量仅次清北!!
中国人民大学2021年本科普通批次录取分数线(上下滑动查看):
中央民族大学
中央民族大学坐落于北京学府林立的海淀区,南邻国家图书馆,北依中关村科技园,校园环境典雅,古朴幽美,人文氛围浓郁,具有鲜明的民族特色。
中央民族大学详细介绍:大学 | 这所汇聚了五十六个民族的大学,是民族类大学里的“NO.1”
中央民族大学2021年本科普通批次录取分数线(上下滑动查看):
大连理工大学
大连理工大学是教育部直属全国重点大学,是国家“211工程”和“985工程”重点建设高校。
大连理工大学详细介绍:大学丨被校名“耽搁”了的这所大学,工科实力却是国内顶尖?
大连理工大学2021年本科普通批次录取分数线(上下滑动查看):
主校区(含开发区校区)
盘锦校区
复旦大学
复旦大学校名取自《尚书大传》之“日月光华,旦复旦兮”,始创于1905年,原名复旦公学,1917年定名为复旦大学,是中国人自主创办的第一所高等院校。
复旦大学详细介绍:大学丨这所大学颜值实力都在线,近一半毕业生在国家重要行业工作!
复旦大学2021年本科普通批次录取分数线(上下滑动查看):
复旦大学(10246)
复旦大学上海医学院(19246)
厦门大学
厦门大学,简称厦大,由著名爱国华侨领袖陈嘉庚先生于1921年创办,是中国近代教育史上第一所华侨创办的大学,也是国家“211工程”和“985工程”重点建设的高水平大学。
厦门大学2021年本科普通批次录取分数线(上下滑动查看):
东南大学
东南大学坐落于六朝古都南京,是享誉海内外的著名高等学府。学校是国家教育部直属并与江苏省共建的全国重点大学,是国家“985工程”和“211工程”重点建设大学之一。
东南大学详细介绍:大学丨别以为这是所野鸡大学!它的实力足以惊掉你的下巴!!!
东南大学2021年本科普通批次录取分数线(上下滑动查看):
华南理工大学
华南理工大学地处广州,是直属教育部的全国重点大学,它是“四大工学院”之一,也是“建筑老八校”之一。
华南理工大学详细介绍:大学丨这所工科强校太有爱:来这免费吃鱼、吃芒果、吃莲雾……
华南理工大学2021年本科普通批次录取分数线(上下滑动查看):
哈尔滨工业大学(深圳)
哈尔滨工业大学(深圳)由哈工大与深圳市政府合作共建的一个校区,哈工大(深圳)以全日制本科生与研究生教育为主、非全日制教育为辅,是首所进驻深圳招收本科生的中国九校联盟(C9)成员、国家“985工程”建设高校和“双一流”建设A类高校。
哈尔滨工业大学(深圳)2021年本科普通批次录取分数线(上下滑动查看):
四川大学
四川大学是教育部直属全国重点大学,是国家布局在中国西部的重点建设的高水平研究型综合大学。
四川大学2021年本科普通批次录取分数线(上下滑动查看):
东北大学
东北大学始建于1923年4月26日,学校是国家首批“211工程”和“985工程”重点建设的高校,2017年9月,经国务院批准,进入一流大学建设高校行列。
东北大学详细介绍:大学 | 雪都是南方孩子羡慕的厚度!拥有多个第一!是东北哪所大学?
东北大学2021年本科普通批次录取分数线(上下滑动查看):
湖南大学
湖南大学位于中国历史文化名城长沙,享有“千年学府,百年名校”之誉。学校是教育部直属全国重点大学、国家“211工程”“985工程”重点建设高校、国家“世界一流大学”建设高校。
湖南大学详细介绍:大学丨这所“千年学府,百年名校”的优势专业是工科?!是我无知了
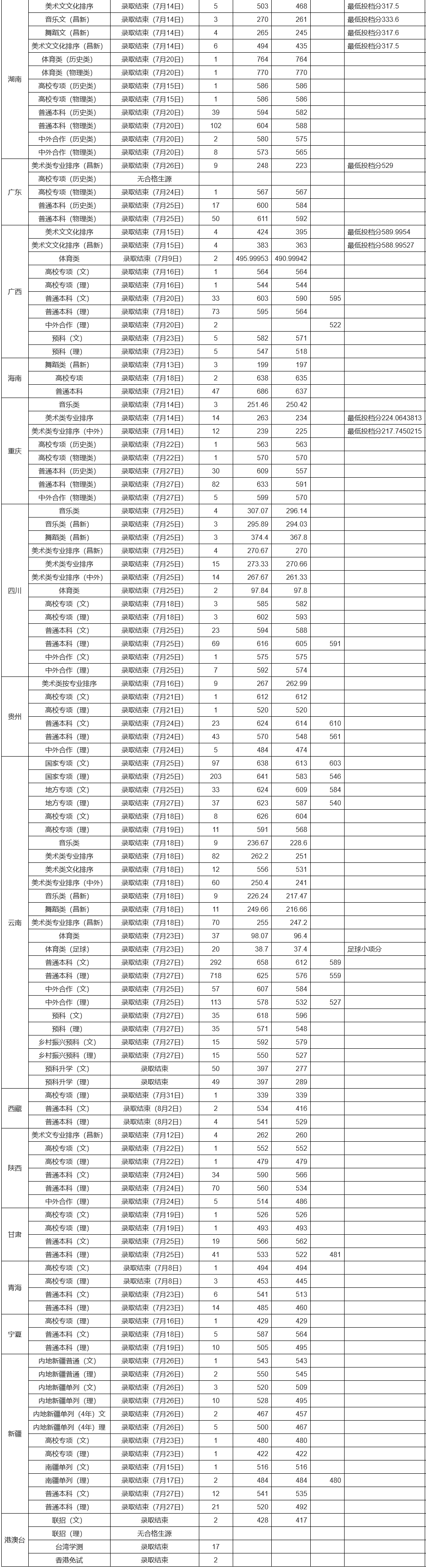
湖南大学2021年本科普通批次录取分数线(上下滑动查看):
云南大学
云南大学始建于1922年,时为私立东陆大学,1934年更名为省立云南大学,1938年改为国立云南大学,是我国西部边疆最早建立的综合性大学之一。
云南大学详细介绍:大学 | 这所双一流出台“最严体育校规”:体测挂科,将拿不到毕业证!
云南大学2021年本科普通批次录取分数线(上下滑动查看):
西北农林科技大学
西北农林科技大学地处中华农耕文明发祥地、国家级农业高新技术产业示范区——陕西杨凌,是教育部直属、国家原“985工程”和“211工程”重点建设高校。
西北农林科技大学详细介绍:大学 | 性价比超高的“985”!这里总有吃不完的福利!
西北农林科技大学2021年本科普通批次录取分数线(上下滑动查看):
中国农业大学
中国农业大学作为教育部直属高校,是我国现代农业高等教育的起源地,其历史起自于1905年成立的京师大学堂农科大学。
中国农业大学详细介绍:大学丨这所高校超“接地气”:实力强,上课“画风”也不一般!
中国农业大学2021年本科普通批次录取分数线(上下滑动查看):
表中各省分数为一志愿录取最低分:
武汉大学
武汉大学有百年校史,它是国家教育部直属重点综合性大学,是国家“985工程”和“211工程”重点建设高校,是首批“双一流”建设高校。
武汉大学详细介绍:大学丨武汉“凡尔赛”大学:在这念书真的很“凡”~
武汉大学2021年本科普通批次录取分数线(上下滑动查看):
自强计划录取分数线:
马克思主义理论录取分数线:
艺术类录取分数线:
民族班录取分数线:
港澳台录取分数线:
单设投档单位录取分数线:
备注:上表统计分数不含征集志愿分数
北京理工大学
北京理工大学1940年诞生于延安,是中国共产党创办的第一所理工科大学,是新中国成立以来国家历批次重点建设的高校,首批进入国家“211工程”和“985工程”,首批进入“世界一流大学”建设高校A类行列。
北京理工大学详细介绍:大学 | 常被忽略的理工大学,这个专业却是全国第一!
北京理工大学2021年本科普通批次录取分数线:
华中科技大学
华中科技大学是国家教育部直属重点综合性大学,它是国家“211工程”重点建设和“985工程”建设高校之一,是首批“双一流”建设高校。
华中科技大学详细介绍:大学丨它是“华中有实力大学”,却十分低调!
华中科技大学2021年本科普通批次录取分数线(上下滑动查看):
同济大学
同济大学历史悠久、声誉卓著,是中国最早的国立大学之一,是教育部直属并与上海市共建的全国重点大学。2017年,学校被列为国家世界一流大学建设高校。
同济大学2021年本科普通批次录取分数线(上下滑动查看):
想上重本,各科要多少分?
重点本科收分不低,想达到这个分数,需要考生各科成绩都很突出,且没有弱势学科。小桥综合历年高考情况来看,给您推推各科至少需要达到以下水平(满分750分),才有机会冲击重本:
语文:不低于110分数学:不低于125分外语:不低于120分物理/化学/生物:各科不低于80分历史/政治/地理:各科不低于75分(分数仅供参考,具体以实际招生分数为例)
高考临近,考生们要稳住心态,努力考取理想大学,考爸考妈们先帮他们收藏好上述内容,后期填志愿会用到的哦~
版权声明:我们致力于保护作者版权,注重分享,被刊用文章【各个大学录取分数线(上重点大学最少要多少分)】因无法核实真实出处,未能及时与作者取得联系,或有版权异议的,请联系管理员,我们会立即处理! 部分文章是来自自研大数据AI进行生成,内容摘自(百度百科,百度知道,头条百科,中国民法典,刑法,牛津词典,新华词典,汉语词典,国家院校,科普平台)等数据,内容仅供学习参考,不准确地方联系删除处理!;
工作时间:8:00-18:00
客服电话
电子邮件
beimuxi@protonmail.com
扫码二维码
获取最新动态
