首页
教育资讯
学习方法
公务员考试
院校大全
知识库
首页
/
证明线性无关的方法
证明线性无关的方法(机器学习与线性代数简明教程)
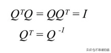
机器学习与线性代数简明教程(上)线性代数在机器学习(ML)和深度学习(DL)中是必不可少的。即使我们努力为许多理论创建精确的机器学习模型,线性代数仍然是这些研究中的重要工具。正交矩阵如果方形矩阵a的所有列/行都是正交的,那么a就是一个正交矩阵如果Q由q1到qn列组成,它
时间:2025-08-29 | 阅读:432
证明线性无关的方法(图解线性代数)
线性代数是数学中的一个非常重要科目, 需要研究线性空间, 线性变换和线性方程组. 至于应用就太广泛了, 图像处理, 压缩, 信号处理, 统计分析, 机器学习, 网页排序......刚开始学习线性代数感觉抽象也很正常, 国内很多教材看着都头大. 这里 [遇见数学] 强烈推荐与B站视频《线性
时间:2025-08-29 | 阅读:1025
证明线性无关的方法(线性变换)
线性变换是线性空间中的运动, 而矩阵就是用来描述这种变换的工具. 这样说还是没有直观印象, 所以还是直接看图解的动画吧.矩阵不仅仅只是数值的表: 其实表示了在该矩阵的作用下, 线性空间是怎样的变化, 观察下图二维平面中水平和垂直方向的伸缩过程:从上面动画中可以观察到: 垂
时间:2025-08-28 | 阅读:835
证明线性无关的方法(基底)
上一次《图解线性代数》微文中, 介绍了向量的概念以及加法和数乘运算, 这样就构成了线性空间.基底在二维线性空间中, 只要用两个特殊的向量就可以来用定位(表示)出任意向量:空间中的任何向量都是可以通过缩放这两个向量再相加表示出来. 现在想象, 譬如向量 (3,2) 就是沿着 i 的
时间:2025-08-08 | 阅读:311
证明线性无关的方法(线性代数应该这样学)
(之前的章节请查看往期文章,如果不了解《线性代数应该这样学》这本书,直接用今日头条app上方的搜索框输入“线性代数应该这样学”,头条搜索真的很强大,很方便,内容丰富,更快更全)这样即可今天我们来介绍两个重要的概念,一个是基,一个是维数。2.8基基是什么?我们单单
时间:2025-08-08 | 阅读:610
全面的学校信息库
院校搜的目标不仅是为用户提供数据和信息,更是成为每一位学子梦想实现的桥梁。我们相信,通过准确的信息与专业的指导,每一位学子都能找到属于自己的教育之路,迈向成功的未来。助力每一个梦想,实现更美好的未来!
文章
2178095
标签
159354
浏览量
100W+
阅读排行
7580℃
1
2022年陕西交通职业技术学...
7273℃
2
2023年面向港澳台地区招收...
6874℃
3
重庆2023年开设汽车运用与...
6223℃
4
2020甘肃高考一本I段投档最...
5686℃
5
福建省二本的文科大学排名
5653℃
6
眉山药科职业学院是民办大...
5626℃
7
南京传媒学院奖助学金有哪...
5475℃
8
英语教育考研难吗?
猜你喜欢
家里和学校都交了医保(大学生医保)
成考入学后需要进行全天制学习吗?
成都航空新生报读流程
江苏专科学校排名
366分的民办本科
考监理工程师证的好处
湖北医药学院2021年招生章程
2017海南英语高考答案(为何眼科医生不做近视眼手术)
2024年钻井技术专业就业前景及就业方向最新
研究生可以用本科学历参加省考吗
云南中医学院在江西招生计划和招生人数一览表
重庆传媒职业学院2022年录取分数线是多少
热门标签
985
综合类院校
工科类院校
师范类院校
艺术类院校
财经类院校
高仿手表哪里可以买到
农业类院校
清华大学校花
中国传媒大学校花
北京在明律师事务所
中国农业大学动物科技学院
北京在明律师事务所地址电话
中级会计考试时间
哪有健身培训学校
大学生征兵政策
民族类院校
会计案例分析
我要关灯
我要开灯
客户电话
工作时间:8:00-18:00
客服电话
电子邮件
beimuxi@protonmail.com
官方微信
扫码二维码
获取最新动态
返回顶部