矩阵的行列式,determinate(简称det),是基于矩阵所包含的行列数据计算得到的一个标量。是为求解线性方程组而引入的。
计算方式:对角线法则
计算方式:对角线法则
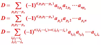
计算排列的逆序数
性质1: 行列式与它的转置行列式相等
注:行列式中行与列具有同等的地位,行列式的性质凡是对行成立的对列也同样成立.
性质2 : 互换行列式的两行(列),行列式变号
推论 : 如果行列式有两行(列)完全相同,则此行列式为零
性质3 : 行列式的某一行(列)中所有的元素都乘以同一个倍数k,等于用数k乘以此行列式.
推论:行列式的某一行(列)中所有元素的公因子可以提到行列式符号的外面.
性质4 : 行列式中如果有两行(列)元素成比例,则此行列式为零.
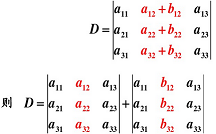
性质5 :若行列式的某一列(行)的元素都是两数之和,则等于对应的两个行列式之和.
性质6 :把行列式的某一列(行)的各元素乘以同一个倍数然后加到另一列(行)对应的元素上去,行列式不变.
1)利用定义
2)利用性质把行列式化为上三角形行列式,从而算得行列式的值
定理中包含着三个结论:
1)方程组有解;(解的存在性)
2)解是唯一的;(解的唯一性)
3)解可以由公式(2)给出.
定理4 :如果线性方程组(1)的系数行列式不等于零,则该线性方程组一定有解,而且解是唯一的 .
定理4′ :如果线性方程组无解或有两个不同的解,则它的系数行列式必为零.
定理5 如果齐次线性方程组的系数行列式D不等于0,则齐次线性方程组只有零解,没有非零解.
定理5′ 如果齐次线性方程组有非零解,则它的系数行列式必为零.
1. 用克拉默法则解线性方程组的两个条件
1) 方程个数等于未知量个数;
2) 系数行列式不等于零.
2. 克拉默法则的意义主要在于建立了线性方程组的解和已知的系数以及常数项之间的关系.它主要适用于理论推导.
对角线法则只适用于二阶与三阶行列式.
本节主要考虑如何用低阶行列式来表示高阶行列式.
版权声明:我们致力于保护作者版权,注重分享,被刊用文章【克拉默法则证明(线性代数中的行列式知识点总结)】因无法核实真实出处,未能及时与作者取得联系,或有版权异议的,请联系管理员,我们会立即处理! 部分文章是来自自研大数据AI进行生成,内容摘自(百度百科,百度知道,头条百科,中国民法典,刑法,牛津词典,新华词典,汉语词典,国家院校,科普平台)等数据,内容仅供学习参考,不准确地方联系删除处理!;
工作时间:8:00-18:00
客服电话
电子邮件
beimuxi@protonmail.com
扫码二维码
获取最新动态
