对高考题的回顾可以让我们更加了解出题者的出题方式和习惯,对高考题进行一题多解的思考,可以帮助我们在遇到类似题目时可以进行多角度解题。深本老师今天为大家介绍一题2009年山东的高考题,一起来看看这道题的解题方法吧!
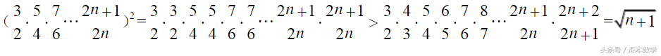
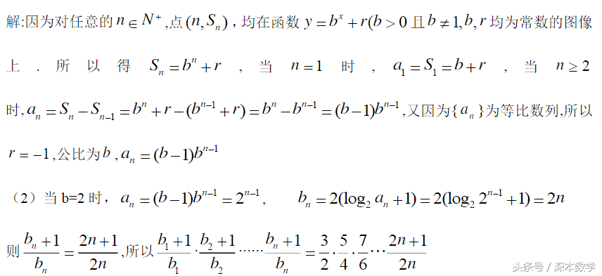
这道题主要考察等比数列的定义,通项公式等知识点,可以运用数学归纳法证明与自然数有关的命题,以及放缩法证明不等式。
根据这道题在试卷上位置,这道题其实并不算非常难的题目,第一问基本没有问题,那么,对第二问的解答到底有什么好的办法,让我们一起来看看!
构造数列实质上是构造函数的特例,因为数列是特殊的函数,构造数列证明不等式的关键是证明数列的单调性
通过对以上5种解法的学习,我们可以发现,其实我们所学过的知识点是相关的,等比数列题不仅可以用数列的知识点来解,还可以用函数等方法来解。日常学习中,我们需要更加重视"知识即法律",在做题时多思考"这道题该用什么知识点来解?"而不是"这道题我什么时候做过"。
版权声明:我们致力于保护作者版权,注重分享,被刊用文章【等比数列证明(回顾高考题一题多解)】因无法核实真实出处,未能及时与作者取得联系,或有版权异议的,请联系管理员,我们会立即处理! 部分文章是来自自研大数据AI进行生成,内容摘自(百度百科,百度知道,头条百科,中国民法典,刑法,牛津词典,新华词典,汉语词典,国家院校,科普平台)等数据,内容仅供学习参考,不准确地方联系删除处理!;
工作时间:8:00-18:00
客服电话
电子邮件
beimuxi@protonmail.com
扫码二维码
获取最新动态
