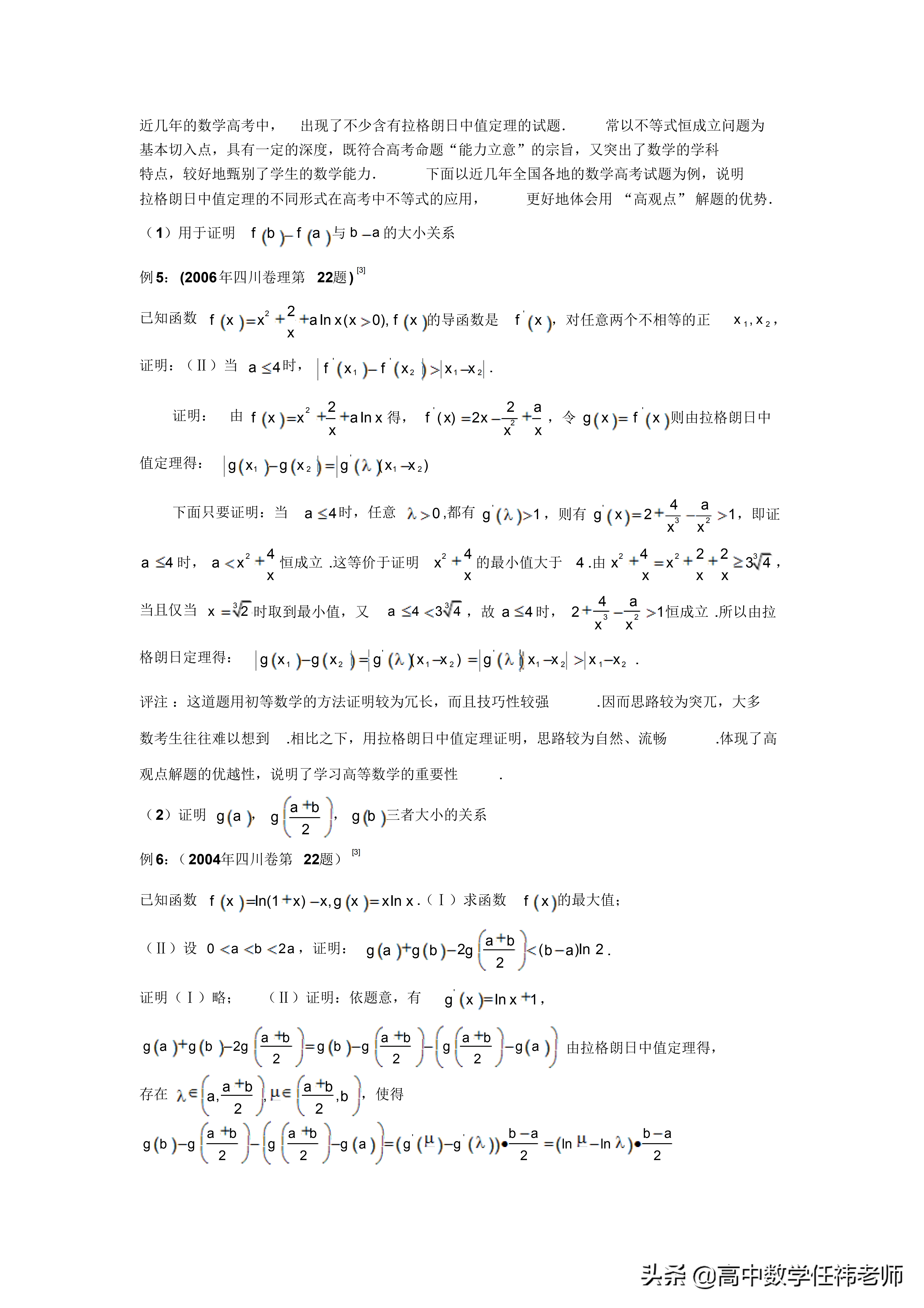
拉格朗日中值定理又称拉氏定理,是微分学中的基本定理之一,它反映了可导函数在闭区间上的整体的平均变化率与区间内某点的局部变化率的关系。拉格朗日中值定理是罗尔中值定理的推广,同时也是柯西中值定理的特殊情形,是泰勒公式的弱形式(一阶展开)。
拉格朗日
法国数学家拉格朗日于1797年在其著作《解析函数论》的第六章提出了该定理,并进行了初步证明,因此人们将该定理命名为拉格朗日中值定理。
获取资料方式:
1、点击关注任祎老师头条号
2、转发本文
3、私信“拉氏定理妙用”
版权声明:我们致力于保护作者版权,注重分享,被刊用文章【拉格朗日中值定理的证明(绝版资料)】因无法核实真实出处,未能及时与作者取得联系,或有版权异议的,请联系管理员,我们会立即处理! 部分文章是来自自研大数据AI进行生成,内容摘自(百度百科,百度知道,头条百科,中国民法典,刑法,牛津词典,新华词典,汉语词典,国家院校,科普平台)等数据,内容仅供学习参考,不准确地方联系删除处理!;
工作时间:8:00-18:00
客服电话
电子邮件
beimuxi@protonmail.com
扫码二维码
获取最新动态
