波动方程让我们对水波、声波、光波和弹性振动有了更深入的理解。地震学家利用波动方程推断出地球内部的结构。石油公司也用类似的方法寻找石油。物理学家用它预测电磁波的存在的,从而导致无线电、电视、雷达和现代通信的出现。
我们生活在一个波的世界里。我们的耳朵能探测到空气中的压缩波:我们称之为“听觉”。我们的眼睛能探测到电磁波:我们称之为“视觉”。当一艘船在海上上下颠簸时,它是对水中的波浪所作出的反应。冲浪者利用海浪来娱乐;收音机、电视和移动电话使用的是电磁波。微波炉……名字就已经说明了一切。
几个世纪以前,数学家就开始思考“波”了,他们首先研究的是音乐,特别是小提琴,小提琴的弦是如何发声的?
一根小提琴的弦可以被合理地假设成一条无限细的线,它的振动发生在一个平面上。这样的假设起到了降维的作用,从而使得问题变得简单。一旦我们理解了简单的波的原理,就可以把这种理解推广到现实中的波。如果没有一些数学家思考小提琴的发声原理,就不会有今天的电子世界和全球通信。
毕达哥拉斯学派认为世界是基于数字的,他们认为的数字是指整数或整数之间的比。
毕达哥拉斯一些重要的世界观来自音乐。有一个故事说,毕达哥拉斯路过一家铁匠铺,他注意到不同大小的锤子发出不同音调的声音,用简单的数字联系起来的锤子(比如一个锤子的大小是另一个的两倍)碰撞发出的声音是和谐的。
毕达哥拉斯使用一根可拉伸的弦进行一系列实验。托勒密在公元150年左右的《和声(Harmonics)》中提到了这些实验。通过将支撑物沿弦移动到不同的位置,毕达哥拉斯发现,当两根张力相等的弦的长度呈简单的比例时(如2:1或3:2),它们就能发出和谐的声音,而复杂的比例则是不和谐的。
音乐家们根据音符之间的音程来描述一对音符。最基本的音程是八度。在小提琴上,在一个开放的弦上演奏一个八度以上的音符的方法是在指板上按弦的中间。所以八度音符与一个简单的2:1的数值比有关。
其他和谐的音符也与简单的数字比率有关。西方音乐中最重要的是4:3的比例和3:2的比例。如果考虑整个音符的音阶,这些名字就说得通了,比如C、D、E、F、G、A、B、C。以C为基准,第四度对应的音是F,第五度对应的音是G,八度是C。
这些比例为音乐音阶提供了理论基础,并发展成了现在大多数西方音乐中使用的音阶。为了以后方便,我将把3:2写成分数3/2。从一个基本音开始,升到五度,得到一串长度的音
计算得出
所有这些音符,除了前两个,都太高了,不能保持在一个八度内,但我们可以把它们降低一个或多个八度,重复地把分数除以2,直到结果在1和2之间。这就得到了分数
最后,排序得到:
这些音与钢琴上的C、D、E、G、A、B音相当接近。注意F没了。事实上,对耳朵来说,81/64和3/2之间的间隙比其他的听起来更宽。为了填补这个空白,我们插入4/3——第四度的比率,它非常接近钢琴上的F。现在我们得到了一个完全基于四度、五度和八度的音阶,
我们现在已经解释了钢琴上的白色音符,但还有黑色的音符。这是因为音阶中连续的数字有两个不同的比率:9/8(称为一个音)和256/243(半音)。例如,81/64与9/8之比是9/8,而4/3与81/64之比是256/243。“音”和“半音”这两个名称表示音程的近似比较。数值分别为1.125和1.05。第一个音较大,所以一个音对应的音高变化比半音大。两个半音的比率是1.05^2(大约是1.11),所以两个半音很接近一个音。
继续这个脉络,我们可以把每个音分成两个音程,得到一个12个音符的音阶。这可以通过几种不同的方式实现,并产生略微不同的结果。无论如何,当我们改变一段音乐的音调时,可能会有细微的但可听得出的问题:如果把每个音符向上移动一个半音,音程会有轻微的变化。如果我们为半音选择一个特定的比率,让它的12次方等于2,这种效果是可以避免的。那么那么两个音就会形成一个准确的半音,12个半音组成一个八度音阶,你可以通过固定的幅度上下移动所有音符来改变音阶。
毕达哥拉斯关于自然和谐的理论实际上是建立在西方音乐的基础上的。为了解释为什么简单的比率与音乐和谐紧密相关,我们必须看看弦振动的物理现象。
声明:我不是乐理专家,表述有误的地方希望留言指出。
关键是牛顿第二运动定律,它把加速度和力联系起来。我们还需要知道拉力作用下,弦是如何随着弦的移动、轻微的拉伸或收缩而变化的。为此我们需要胡克定律:弹簧长度的变化与施加在它上的力成正比。小提琴的弦实际上是一种弹簧。但仍然有一个障碍存在:小提琴的弦是一个连续体,一条由无穷多个点组成的线。所以研究周期的数学家们认为弦是大量紧密的质点,由弹簧连接在一起。这就就可以写出小提琴弦的振动方程。
1727年,约翰·伯努利开始着手解决这个问题。在他的数学模型中,只有一根两端固定的弦,没有小提琴;弦在一个平面上上下振动。在这个实验中,伯努利发现弦在任何时刻振动的形状都是正弦曲线;振动的振幅也遵循一个正弦曲线(在时间而不是空间上)。他的解是sinct sinx,其中c是常数。
sinx告诉我们振动的形状,在t时刻,乘以一个因子sinct 。振荡的周期是2π/c。
这是伯努利得到的最简单的解,但还有其他形式
同样,正弦曲线是任何时刻弦的形状,它的振幅乘以一个时间相关因子,这个因子也是正弦变化的。公式是sin2ct sin2x, sin3ct sin3x等等。振动周期为2π/2c,2π/3c等等。所以波越多,弦振动得越快。
通过乐器的构造和数学模型的假设,琴弦上有些点总是处于静止状态。这些“点”是毕达哥拉斯实验中出现简单数值比率的原因。例如,由于振动模式2和3(上图)发生在同一弦上,所以模式2节点之间的间隙是模式3应间隙的3/2倍。这解释了为什么像3:2这样的比例会自然地从振动弹簧的动力学中产生,但却解释不了为什么这些比例是和谐的。在解决这个问题之前,我们先介绍一下本文的主题——波动方程。
波动方程源于牛顿第二运动定律。1746年,让·勒朗·达朗贝尔将振动的小提琴弦视为质点的集合。他推导出一个方程来描述弦的形状如何随时间变化。但在我解释它是什么样子之前,我们需要先了解一个概念,叫作偏导数。
如果函数u只依赖于一个变量x,我们把它的导数写成
但波高u,不仅取决于x,也取决于时间t。在任何固定的时刻,我们可以求出du/dx,它告诉我们波的局部斜率。但我们也可以固定空间,让时间变化,它告诉我们一个质点上下跳动的速率。
我们可以用du/dt来表示时间导数,并将其解释为u的微小变化除以t的微小变化。但是这种表示法隐藏了一种模糊性:高度的小变化du,在这两种情况下可能是不同的,通常也是不同的。当我们对空间进行微分时,我们让空间变量稍微改变一点然后看看高度是如何变化的;当我们对时间求导时,我们让时间变量改变一点看看高度是如何变化的。没有理由说随时间的变化应该等于随空间的变化。
因此,数学家们决定通过改变符号d来处理这种模糊性。他们选择了符号∂。
然后他们把这两个导数写成
只要你看到∂,它就告诉你,你将看到关于几个不同变量的变化率。这些变化率被称为偏导数,因为概念上你只改变了变量集合的一部分,保持其余的不变。
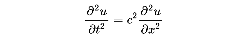
当达朗贝尔解出振动弦的方程时,他面对的就是这种情况。弦的形状取决于空间和时间。牛顿第二运动定律告诉他,一小段弦的加速度与作用在其上的力成正比。加速度是速度对时间的导数。但这个力是相邻线段的拉力,“相邻”意味着空间上的微小变化。当他计算这些力时,他得到了这个方程
其中u(x, t)是t时刻弦上x处的垂直位置,c是与弦的张力和弹性有关的常数。
达朗贝尔的公式就是波动方程,和牛顿第二定律一样,它是一个微分方程,它涉及到u的二阶导数。因为这些都是偏导数,所以它是一个偏微分方程。第二个空间导数表示作用在弦上的合力,第二个时间导数是加速度。波动方程开创了一个先例:大多数经典数学物理的关键方程都是偏微分方程。
一旦写出波动方程,就可以解出它。因为它是一个线性方程。偏微分方程有很多解,通常是无穷多,因为每个初始状态都有一个独立解。例如,(原则上)小提琴的弦可以弯曲成任何你喜欢的形状。“线性”意味着如果u(x, t)和v(x, t)是解,那么任意线性组合au(x, t) + bv(x, t)也是解,其中a和b是常数。
波动方程的线性特性源于伯努利和达朗贝尔做出的近似:所有的扰动都被假设为很小。现在,弦上的力可以近似地用各个质量的位移的线性组合来表示。一个更好的近似将得出一个非线性偏微分方程,这就复杂得多了。
达朗贝尔知道他的思路是正确的,因为他找到了一个固定形状沿着弦运动的解,就像波一样。波的速度在方程中是常数c。波可以向左或向右传播,叠加原理在这里发挥了作用。达朗贝尔证明了每个解都是两个波的叠加,一个向左传播,另一个向右传播。此外,每一个单独的波可以有任何形状。在有固定末端的小提琴弦中发现的驻波是两种形状相同的波的组合,一种是向左移动的,另一种是向右移动的。在两端,这两种波正好相互抵消:其中一种波的波峰与另一种波的波谷重合。所以它们符合物理边界条件。
有两种方法可以解波动方程:伯努利方程可以得到正弦和余弦;达朗贝尔方程可以得到任意形状的波。起初,达朗伯特的解看起来似乎更一般:正弦和余弦是函数。但大多数函数不是正弦和余弦。然而,波动方程是线性的,所以可以把伯努利解组合起来。简单起见,只需考虑固定时间的波,摆脱时间依赖性。下图以5sinx + 4sin2x−2cos6x为例。它的形状相当不规则,而且摆动幅度大,但它仍然是平滑的和波浪状的。
让数学家们烦恼的是,有些函数是非常粗糙或锯齿状的,我们不能把它们写成正弦和余弦的线性组合。但如果你使用了有限的多个正弦和余弦,就不是这样了——这就提出了一个解决办法。一个收敛的无穷级数的正弦和余弦也满足波动方程。它是否能表示锯齿函数?数学家们为这个问题争论不休,当热理论中出现了同样的问题时,争论终于达到了高潮。关于热流的问题自然涉及到带有突然跳跃的不连续函数,这比锯齿状函数更糟糕。但结果是,大多数“合理的”波形可以用正弦和余弦的无穷级数来表示,所以它们可以通过有限的正弦和余弦的组合来近似地表示。
正弦和余弦解释了让毕达哥拉斯学派所推崇的和谐比率。这些特殊形状的波在声音理论中很重要,因为它们代表着“纯净”的音调。任何真正的乐器都能产生纯音的混合。如果你拨动小提琴的弦,听到的主要音符是sinx波,但它上面还叠加了一点sin2x,也许还有sin3x等等。主音叫做基音,其他的是它的和声。x前面的数字叫做波数。特别地,sin2x的频率是sinx的两倍,它比原来高一个八度。这个音与基音一起演奏时最和谐。
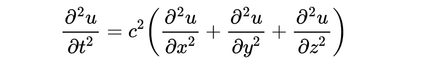
数学家们首先用最简单的方法推导出波动方程:一条振动线(一个一维系统)。但在实际应用中,需要更一般的理论来模拟二维和三维的波。即使是在音乐中,也需要两个维度来模拟鼓皮振动的模式。物理学的许多其他领域都涉及二维或三维模型。将波动方程扩展到更高的维度是很简单的,所要做的就是重复那些计算小提琴弦的方法。
例如,在三维空间中,我们使用三个空间坐标(x, y, z)和一个时间t。波由一个依赖于这四个坐标的函数u来描述。例如,它可以描述声波穿过空气时空气中的压力。用与达朗贝尔相同的假设,同样的方法可以得到一个同样漂亮的方程:
括号里的公式叫作拉普拉斯公式。这个表达式在数学物理中经常出现,所以它有自己的特殊符号:
为了得到二维的拉普拉斯方程,只需去掉z这一项。
高维的主要问题在于,波浪产生的形状(称为方程的域),会很复杂。在一维空间中,唯一相连的形状是一个区间,一条线段。然而,在二维空间中,它可以是平面上的任何形状,而在三维空间中,它可以是空间中的任何形状。
波动方程取得了惊人的成功,在物理学的某些领域,它非常接近于描述现实。然而,它的推导需要几个假设。当这些假设是不现实的,同样的物理思想可以加以修改以适应实际需要,导致波动方程的不同版本。
地震就是一个典型的例子。这里的主要问题不是达朗贝尔的假设,即波的振幅很小,而是域的物理性质的变化。这些特性会对地震波产生强烈的影响,地震波是一种穿过地球的振动。通过了解这些影响,我们可以深入地球内部,了解它的构成。
地震学领域最大的目标是找到一种可靠的方法来预测地震和火山爆发。事实证明,这是很难的,因为引发这些事件的条件是许多地点许多因素的复杂组合。但地震学家对波动方程的研究为许多正在研究的项目提供了理论基础。
波动方程也有一些商业应用。石油公司勘探地下几公里处的“液态黄金”,方法是在地表实施爆炸,并利用爆炸所产生的地震波回波来绘制地下地质情况。这里的主要数学问题是根据接收到的信号重建地质,这是反向使用波动方程。
版权声明:我们致力于保护作者版权,注重分享,被刊用文章【拉普拉斯方程证明(从小提琴中振动出的波动方程)】因无法核实真实出处,未能及时与作者取得联系,或有版权异议的,请联系管理员,我们会立即处理! 部分文章是来自自研大数据AI进行生成,内容摘自(百度百科,百度知道,头条百科,中国民法典,刑法,牛津词典,新华词典,汉语词典,国家院校,科普平台)等数据,内容仅供学习参考,不准确地方联系删除处理!;
工作时间:8:00-18:00
客服电话
电子邮件
beimuxi@protonmail.com
扫码二维码
获取最新动态
