开普勒总结出了行星运动三定律,牛顿用平面几何证明了椭圆轨道、双曲轨道都对应平方反比的吸引力,牛顿第二定律加微积分证明了平方反比的吸引力作用下运动轨迹为圆锥曲线(双曲线、抛物线、椭圆、圆等)。
撰文 | 曹则贤(中国科学院物理研究所研究员)
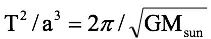
行星的运动,恰巧是人的特征尺度上可研究的问题。行星的量度足以为人眼所分辨,其运动的特征时间又与人的特征时间(年、日)相吻合[1]。人类数千年关于行星在天空中位置变化的观测,在1602年达成了质的跃变。那一年,德国天文学家开普勒指出,行星绕太阳的运动在相同的时间内扫过相同的面积。这后来被称为开普勒第二定律。用近代物理的语言表述,它说的是有心力场内的运动保持角动量守恒。1605年开普勒又指出行星绕太阳运动的轨道是太阳居于焦点之一的椭圆。这后来被称为开普勒第一定律。开普勒第一、第二定律收录于Astronomia Nova (《新天文学》)一书。1619年开普勒宣告了他的第三定律,行星轨道周期的平方与其半长轴的立方成正比。第三定律收录于开普勒的Harmonices Mundi[2]一书。
一般书里介绍开普勒三定律,基本上是照着字面一成不变地转述:1)行星轨道为椭圆,太阳在椭圆的焦点之一上;2) 行星轨道在相同的时间内扫过相同的面积;3) 行星轨道周期的平方与其半长轴的立方成正比。至于从近代物理的角度看这三定律的含义是什么,内在关系是什么,未来有什么进展,还有对中国人来说比较重要的汉译是否正确,则鲜有论及。请允许笔者稍作补充。
关于第一定律,开普勒一开始考虑的轨道是卵形线,毕竟他手里只有有限的、不准确的关于火星和太阳的观测数据,连起来不会看起来如完美的椭圆。但那时候没人知道卵形线的方程——卵形线的方程还得等二百四十多年才由麦克斯韦(James Clerk Maxwell,1831-1879)给出。椭圆作为行星轨道的选择有点不那么自然而然,一个可能的原因是椭圆有两个焦点(focus) 而天上只有一个太阳,凭什么太阳在这个焦点而不在那个焦点上?实际上,天上有一个太阳,太阳是个大火炉,火炉才是拉丁语focus (furnace)的本义。后来我们知道,椭圆,与双曲线、抛物线、圆、直线、点等几何图形一样,都是圆锥曲线的特例,本质上是一致的,都可以是平方反比力场作用下物体的运动轨迹。抛物线就只有一个焦点,而椭圆也有只需一个焦点的定义——到一点的距离和到一条直线距离之比为小于1的常数的点的集合是椭圆!第一定律确定了行星轨道的全局几何性质,第二定律确定的是行星在轨道不同位置上的运动快慢问题。用现代物理语言来说,行星绕太阳运动,其角动量守恒。第三定律讲述的轨道大小(由椭圆的半长轴, a, 和偏心率表征) 与运动快慢(与轨道的大小和周期, T, 有关)之间的关系,
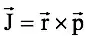
。从现代物理的角度来看,第三定律引入了能量的问题,能量大的椭圆轨道离太阳更远以至变成抛物线或者双曲线。也就是说,行星轨道问题关系到的物理量分别是角动量
和能量
。后来的尼尔斯·玻尔(Niels Bohr, 1885-1962)熟知这一点,所以他为了给电子绕氢原子核运动的能量只有一些
的分立值而非如同在经典的太阳-行星模型中那样能量是连续的找个恰当理由,只能到角动量上去找,而角动量恰恰与量子力学的标签——普朗克常数 h——有相同的量纲,于是有了神奇的所谓玻尔量子化条件
[3]。
那么,开普勒的这三个定律后来有证明吗?或者,挑个软柿子捏,如何证明行星的轨道是椭圆。证明的意思是,找个理由,从这个理由顺着严格的数学逻辑能到达椭圆这个几何图形。
早在开普勒时期,人们就已经意识到太阳与行星之间有随距离增大而渐弱的引力(gravity, gravitation),确切地说是与距离平方成反比的引力。到牛顿时期,想到或者愿意接受万物之间皆存在平方反比引力的人已经很多了。但是,如何证明这平方反比引力
是这宇宙的决定性力量,也就是说如果存在万有引力这个理由的话,如何从万有引力导出椭圆形的行星轨道?这个证明,利用牛顿第二定律加上微积分技术是容易得到的(参见Herbert Goldstein,Classical Mechanics)。但牛顿那时手里还没有成熟的微积分技术,他是用欧几里得几何证明的。这个证明在牛顿的《自然哲学的数学原理》一书中不足一页 (因为老是引用前面的结果),后来钱德拉塞卡(Subrahmanyan Chandrasekhar,1910-1995)给拓展成了好几页才让一般人看得懂。
牛顿在《自然哲学的数学原理》第一编第三部分(Book 1,section 3)里假设物体沿椭圆轨道运行,求证指向椭圆一个焦点的力的定律。紧接着假设物体沿双曲线之一支运行,求证指向焦点的力的定律。牛顿证明了力应当服从平方反比律。严格说来,这应该看成是在椭圆(双曲)轨道的前提下,对太阳-行星间的引力遵循平方反比律的证明。牛顿的证明,不好懂,愿意证明自己的平面几何连皮毛都没学到的读者可以挑战一下自己。原文不长,照录如下。如图1,S 是椭圆的焦点之一。作SP交椭圆直径DK于点E,交纵标线(ordinate) Qv于x。作平行四边形QxPR。显然,有EP等于半长轴AC,这是因为如果从椭圆另一焦点H作HI与线EC (DK)平行,因为CS=CH,于是有ES=EI。EP 为PS与PI之和的一半;也就是PS与PH之和的一半(HI 与PR平行,而根据椭圆的性质,
) 。但PS+PH=2AC (椭圆的定义)。作QT 垂直于SP,如果用 L 表示椭圆的通径(principal latus rectum) 或者
图1. 牛顿《原理》一书第一编、第三章问题6的图
实话实说,读到这段时,我不知道牛顿证明的思路是从哪里来的。与300多年前的牛顿相比,我们对阿波罗尼乌斯(Appolonius of Perga,ca. 245-ca.190 BC)的圆锥曲线根本没学会。还有一个小迷惑,我不知道为什么管Qv叫ordinate。建议真想弄懂的读者,阅读钱德拉塞卡对牛顿这本书的通俗版解读。
太阳-行星体系是典型的两体问题(two-body problem):两个物体相互间的作用决定了它们的运动方式。由于这两个物体不受外界的作用,它们作为一个整体是作惯性运动的(这实际上是马赫的力学两个基本原理之第二),因此所谓的两体的运动,指的是两体之间的相对运动。若两物体之间的作用力是沿着两者之间的连线的,称为有心力(central force);万有引力是有心力,且力的大小与距离的平方成反比。我们的任务是证明:若两体之间的吸引作用力是平方反比的,则相对运动的轨迹是椭圆。
人类所处的近邻且可观测的世界,开启了人类的智慧思考。行星在天上的轨道,恰好是与人类尺度相恰的现象。行星轨道的开普勒三定律,是建立在零星的观测数据上的,但更多地还是建立在理性思考上的(天上哪有轨道啊)。从数据到椭圆这样的几何图形,到单位时间扫过相同面积以及周期平方与轨道大小的立方成正比这样严格的关系,反映了人类理性思考的威力,这些可都是宇宙的秘密啊。这些言之凿凿的严格关系,若能证明是某些原理的必然结果,那才见人类理性思考的威力呢。这个原理,就是经典力学中的最小作用量原理[4],与之相比,满足平方反比律的万有引力倒似是条件层面的了。从最小作用量原理和万有引力到开普勒三定律的证明,那就看数学的能耐了。从前和数学不分家的时候,物理学才是真物理学。
满足平方反比律的万有引力,
,其中牵扯到的物质特征,或者叫标签,是质量 m。质量 m 是个标量,而且是非极性的标量 (m>0)。与此相对照,满足平方反比律的库伦力,
,其中牵扯到的物质特征是电荷 q 。电荷 q 是个标量,但却是极性的标量,可正可负。电的世界比起引力的世界,就更精彩啦。洞悉电的世界之精彩,需要更加复杂的数学。不过,人类为此付出的努力,回报是巨大的,且在意想不到的方向上。比如,对电磁学之狄里希利(Johann Lejeune Dirichlet, 1805-1859)问题的研究,在20世纪带来了有限元方法,极大地提升了人类的工程能力。扯远了,打住。
注释
[1] 一点都不奇怪。地球和它的行星兄弟们的特征时间都是由它们同太阳(日)之间的相互作用决定的,都差不多。而人类的特征时间,又是由日-地-月系统所决定的。
[2] Harmonices Mundi, 汉译为“宇宙的和谐”,大谬也。Harmonices 不是啥和谐,是“组装到位”。本书讲宇宙的体系(太阳,行星,远处的星星)是如何组装的。Harmonic mean的汉译调和分析中的调和大约是正确的。
[3] 量子力学是经典力学的自然延续,没有革命。
[4] 正确的译法是最少动作原理,不解释。
建议阅读
1.Max Caspar, Johannes Kepler (德语版), W. Kohlhammer Verlag (1948); Kepler (英语版,C. Doris Hellman译), Dover Publications, Inc. (1993).
2. David Oliver, Shaggy steed of physics, 2^nd edition, Springer(2004).
3.Subrahmanyan Chandrasekhar, Newton’s Principia for the Common Reader, Clarendon Press (2003).
温馨提示
本文摘自《惊艳一击——数理史上的绝妙证明》(外语教学与研究出版社,2019年9月)。该书已开始预售,本刊读者将能够在第一时间以最优惠的价格预订此书,另将有10名幸运读者免费获得一本新书。感兴趣的朋友请关注近期《返朴》微信公众号的推送。
特 别 提 示
1. 进入『返朴』微信公众号底部菜单“精品专栏“,可查阅不同主题系列科普文章。
2. 『返朴』开通了按月检索文章功能。关注公众号,回复四位数组成的年份+月份,如“1903”,可获取2019年3月的文章索引,以此类推。
版权说明:欢迎个人转发,任何形式的媒体或机构未经授权,不得转载和摘编。转载授权请在「返朴」微信公众号内联系后台。
《返朴》,科学家领航的好科普。国际著名物理学家文小刚与生物学家颜宁共同出任总编辑,与数十位不同领域一流学者组成的编委会一起,与你共同求索。关注《返朴》(微信号:fanpu2019)参与更多讨论。二次转载或合作请联系fanpusci@163.com。
版权声明:我们致力于保护作者版权,注重分享,被刊用文章【拉普拉斯方程证明(数理史上的绝妙证明)】因无法核实真实出处,未能及时与作者取得联系,或有版权异议的,请联系管理员,我们会立即处理! 部分文章是来自自研大数据AI进行生成,内容摘自(百度百科,百度知道,头条百科,中国民法典,刑法,牛津词典,新华词典,汉语词典,国家院校,科普平台)等数据,内容仅供学习参考,不准确地方联系删除处理!;
工作时间:8:00-18:00
客服电话
电子邮件
beimuxi@protonmail.com
扫码二维码
获取最新动态
