连续性方程可以说是所有科学中应用最频繁的方程之一,几乎无处不在。从空气动力学和流体力学一直到电磁学和量子力学,这个方程主导了大多数的物理学领域。但是,这个方程究竟在直观层面上揭示了什么,为什么它如此重要?
连续性方程是描述某种量w守恒传输的微分方程。
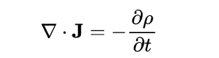
连续性方程的一般形式如下:
其中
ρ是单位体积内w量的数量,即其密度。j是数量w的通量。σ描述了w的产生(或移除)。我们应该立即注意到的第一件事是,数量w没有被指定。因此,连续性方程本身并不是一个具体的方程,而是一种关于守恒量传输的方程的一般结构。
但在我们深入研究连续性方程的复杂性和应用之前,让我们退一步,建立必要的理论背景,以便更好地理解我们将要讨论的一切。
强度性质(intensive property )和广度性质( extensive property)
我们可以把材料和系统的物理特性分为强度性质和广度性质
强度性质不取决于系统的大小或系统中材料的数量。强度性质的例子包括:
温度,T密度,ρ折射率,n一个物体的硬度,η沸点相比之下,广度性质依赖于系统大小或系统中材料的数量。广度性质被认为是子系统的可加性。广度性质的例子包括:
质量,m体积,V长度,L重量,w熵考虑到这些定义,我们可以给出连续性方程一个更普遍的定义。
例如,如果我们要处理的强度性质是质量密度,那么这个方程就是简单的质量守恒的表述:质量的变化是离开边界的东西和出现在边界内的东西的总和;没有任何质量是不被考虑的。
通量
在传输现象中,通量被定义为单位面积上一个量的流动速率。简单地说,通量就是在单位时间内,单位面积内流动的量。
在物理学中,有很多种类的通量。例如,我们将电通量定义为电场流经特定区域的速度。如果我们想用数学方法计算通量,我们必须采取表面积分,这也被称为通量积分。
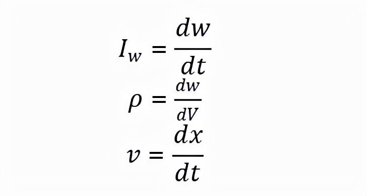
有一个重要的通量公式,在许多不同的情况下都会出现。假设有一个非常小的体积元素,其长度用Δx表示,其宽度用Δy表示,其高度用Δz表示。其所有的侧表面的面积为ΔA。
我们知道,假设有一个量w——可以是质量、电荷等,正通过x方向流动,如上图所示。
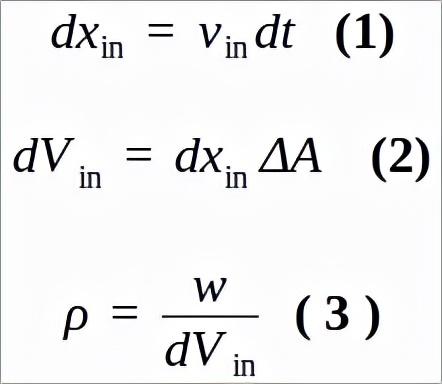
在一个无限短的时间dt内,一个无限少的量dw_in,流入体积,另一个无限少的的量dw_out,正在离开体积。
现在,如果w以速度v_in进入体积元素,那么在时间dt内,它已经走过了一个无限小的距离dx_in。因此,现在的无限小体积等于dx_in乘以ΔΑ。最后,我们可以定义量w的体积密度,ρ。下面是我们到目前为止所说的所有数学公式:
现在让我们做一些数学上的运算,以便得出一个通量的公式。
我们现在已经得出了一个一般的公式,因为还没有指定数量w具体是什么。
为了在数学上更加精确,我们可以取极限,当体积趋于0时,Δx, Δy, Δz, ΔA分别变成dx, dy, dz, da,最终得到:
这里:
首先,让我们回答一个基本问题。
什么是扩散?
扩散是任何东西(例如,原子、离子、分子、能量)从高浓度区域向低浓度区域的净移动。
例如,有一个房间,在它的一个角落释放一团气体,然后气体会扩散,在一段有限的时间内填满整个房间。它会从浓度较高的区域(气体所在初始角落)移动到浓度较低的区域(房间的其余部分)。
扩散并不神奇。简单地说,由于在房间的初始角落里有许多气体粒子,那么这些粒子发生碰撞的概率就会更高。随着越来越多的碰撞发生,粒子将随机地散落在空间中。如果它们最终出现在没有很多其他粒子的区域,那么它们可能会留在那里,因为碰撞的概率大大降低。如果它们最终出现在同一个角落,它们可能会再次散开,直到它们弥漫整个房间。
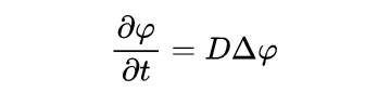
但我们需要一种数学方法来表达这种过程。这就是菲克定律发挥作用的地方。
注意:在下面的方程式中,凡是你看到希腊字母φ(Phi)的地方,实际上就是密度ρ。Ι没能找到使用ρ的方程式的图像。
我们现在可以使用这个通量公式,并将其代入连续性方程,以得出称为扩散方程的东西(为简单起见,我们假设Sigma=0)。
其中。
Δ = ∇^2,拉普拉斯算子。D是一个比例常数,通常被称为扩散性。φ是体积密度。扩散方程最常用的地方之一是热方程,热方程经常出现在工程和物理问题中。
电磁学
在电磁理论中,连续性方程是电荷守恒的一种表达。在这种情况下,强度量是体积电荷密度ρ,即每单位体积的电荷量,而通量是电流通量或通常所说的电流密度J。我们假设没有电荷的源和汇,因此σ=0。
流体动力学
在流体力学中,连续性方程基本上是一个数学表述,即质量进入一个系统的速度等于质量离开系统的速度。它是质量守恒的一种表达。强度量是流体的密度ρ,而乘积密度乘以速度就是我们已经讨论过的通量。我们再次假设没有质量的源和汇。
当我们处理不可压缩的流体(其密度在流动过程中不发生变化的流体)时,上面的方程可以进一步简化。由于流体的密度ρ是恒定的,那么它的导数就是零。此外,我们可以在发散项中剔除ρ,最后得到以下方程。
这是描述流体流动的两个著名的纳维尔-斯托克斯方程(Navier-Stokes equations)之一。
量子力学
任何研究过量子力学的人都知道,这都是关于概率的。我们从不确定粒子的属性(如它们的位置或它们的动量),试图计算它们具有特定值的概率。考虑到这一点,在整个空间守恒的量是概率密度。此外,我们可以定义该概率的通量,称为概率流。同样,σ=0。
连续性方程是一种更强的局部形式的守恒定律。例如,能量守恒定律的一个弱化版本指出,能量既不能被创造,也不能被毁灭,即宇宙中的能量总量是固定的。这一说法并不排除这样的可能性:一定数量的能量可能从一个点消失,同时出现在另一个点。一个更有力的说法是,能量是局部守恒的:能量既不能被创造也不能被摧毁,也不能从一个地方 "传送 "到另一个地方,它只能通过连续的流动而移动。连续性方程是表达这种说法的数学方法。
版权声明:我们致力于保护作者版权,注重分享,被刊用文章【拉普拉斯方程证明(连续性方程)】因无法核实真实出处,未能及时与作者取得联系,或有版权异议的,请联系管理员,我们会立即处理! 部分文章是来自自研大数据AI进行生成,内容摘自(百度百科,百度知道,头条百科,中国民法典,刑法,牛津词典,新华词典,汉语词典,国家院校,科普平台)等数据,内容仅供学习参考,不准确地方联系删除处理!;
工作时间:8:00-18:00
客服电话
电子邮件
beimuxi@protonmail.com
扫码二维码
获取最新动态
