惯性,是用来描述具有一定质量的物体,在外力作用下,由静止变为运动,或者相反,由运动变为静止的时候展现出来的抗性力。惯性,或者说是物体抵抗运动状态变化的趋势,与质量正相关。和较轻的物体相比,较重的物体在静止时难以加速运动,在运动时也会难以停止。
工业飞轮具有很大的转动惯量,可以用来抗拒转速的改变。当动力源对旋转轴作用有一个变动的力矩时(例如往复式发动机),或是应用在间歇性负载时(例如活塞或冲床),飞轮可以减小转速的波动,使旋转运动更加平顺。
在物理学上,“矩”这个前缀通常用来描述一个线性量对应的转动物体。因此,“转动惯量(惯性矩)”就是物体的线性运动的转动当量,通常用“I”来表示。与之类似的一个词“(力矩)”就是线性力的转动当量,也可称作扭矩。
旋转物体相对于其旋转轴的转动惯量I等于它的质量与它本身到旋转轴距离的平方的乘积。但是,这个算法只对均匀物体有效,比如说一个绑在绳子上的以一定角速度旋转的球体。
而对于不均匀物体,转动惯量的计算通常是由各个独立的点质量与各点到其旋转轴距离的乘积之和。这种通用算法可以计算任何物体的转动惯量,因为所有的物体都可以看作是许多类似点质量的组合。
走钢丝者手里端着长杆,为了靠转动惯量保持平衡,对抗转动运动。
要计算这种点质量分布在不同距离的不均匀物体的转动惯量,我们用到了微积分,因为微积分可以灵活计算连续变量。
飞轮拥有很大的转动惯量,可以用来使机械运转顺滑。
我们将物体质量进行微分,将物体分为无穷个小质量块微分dm,转动惯量的微分即为dI = r^²dm。要计算物体总质量M的转动惯量I,我们将物体质量微分dm对应的转动惯量的微分dI进行求和。或者简而言之,我们对其进行积分:
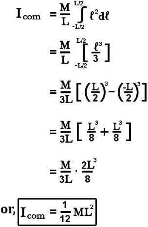
假设一个细杆的质量为M,长度为L,其线性密度λ即为M/L。根据其旋转轴的位置,细杆具有两个矩:一个是当旋转轴垂直穿过细杆的中心,同时穿过细杆的重心;第二个是当轴垂直于细杆的一端。
与无穷个小质量块微分dm类似,假设其具有无穷个小长度单元微分dl,将重心的原点置于旋转轴上,我们会发现从原点到左端的距离为-L/2,而从原点到右端的距离是+L/2。
如果细杆是均匀物体,那么其线密度是一个常量
将式子中dm的值带入转动惯量的计算,可得:
由于现在的积分分量为长度(dl),积分上下限需要从之前公式中的质量M改为需要分量长度L。
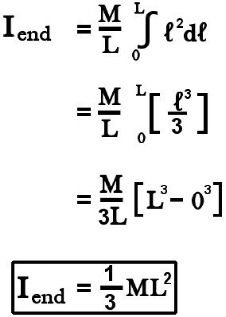
为了计算旋转轴垂直于细杆一端的转动惯量,我们将原点放在细杆的末端。
我们使用的是同样的等式,但是依旧要改变积分上下限,因为现在旋转轴位于末端,现在的积分上下限是从0(原点)到L(细杆另一端)
积分后可得:
(在这里d指的是从原点到细杆末端的距离)
我们也可以用平行轴理论计算出相同的转动惯量结果,如下:
当长度L为L/2时,我们发现:
这是和我们之前的发现完全一致的。
1.WJ百科全书
2.天文学名词
3. Akash Peshin- sciabc
麻省理工学院
波士顿大学物理系
乔治亚州立大学
如有相关内容侵权,请于三十日以内联系作者删除
转载还请取得授权,并注意保持完整性和注明出处
版权声明:我们致力于保护作者版权,注重分享,被刊用文章【转动惯量平行轴定理证明(转动惯量到底是什么)】因无法核实真实出处,未能及时与作者取得联系,或有版权异议的,请联系管理员,我们会立即处理! 部分文章是来自自研大数据AI进行生成,内容摘自(百度百科,百度知道,头条百科,中国民法典,刑法,牛津词典,新华词典,汉语词典,国家院校,科普平台)等数据,内容仅供学习参考,不准确地方联系删除处理!;
工作时间:8:00-18:00
客服电话
电子邮件
beimuxi@protonmail.com
扫码二维码
获取最新动态
