设函数
在闭区间
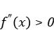
上具有二阶导数,且
,证明:
(1)
;(2)
【分析】:第一问,先考虑将原式拆分区间,再利用区间再现公式进行等价化简,其后利用二阶导数的性质将问题转化;第二问先分部积分,再考虑利用(1)中的结论,即可证明。
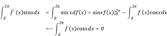
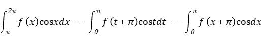
【解析】:(1)先对原式进行区间拆分,直接对原式进行
以及
的区间进行划分,
再换元,设
,则有
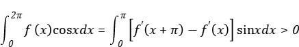
所以,
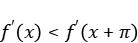
同时,由于函数在
上
,所以
是单调递增的,于是,在
时,有
,因此
(2)利用(1)中结论,所以
作者:小熊
写作日期:10.3
版权声明:我们致力于保护作者版权,注重分享,被刊用文章【定积分证明题方法总结(利用区间再现公式以及导数性质证明一道定积分的不等式问题)】因无法核实真实出处,未能及时与作者取得联系,或有版权异议的,请联系管理员,我们会立即处理! 部分文章是来自自研大数据AI进行生成,内容摘自(百度百科,百度知道,头条百科,中国民法典,刑法,牛津词典,新华词典,汉语词典,国家院校,科普平台)等数据,内容仅供学习参考,不准确地方联系删除处理!;
工作时间:8:00-18:00
客服电话
电子邮件
beimuxi@protonmail.com
扫码二维码
获取最新动态
