极限的定义总共有两个。
设是一个数列,a是一个数
对于任意ε>0,存在正整数N,当n>N时,
若,则数列收敛且极限为a。
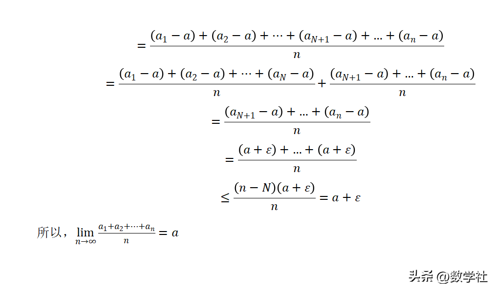
例1:已知极限.证明
设是一个数列,a是一个数
对于任意ε>0,若在之外数列中的项至多只有有限个,则称数列收敛于极限a.
通常用它证明数列不收敛。
例2:求数列的极限.
解:当n趋近于无穷大时,数列在1和-1的任意邻域内都有无穷多项
所以,数列的极限不存在.
数列是一种特殊的函数,求数列极限的方法也能用于求函数极限。
版权声明:我们致力于保护作者版权,注重分享,被刊用文章【用定义证明极限(用极限的定义求极限)】因无法核实真实出处,未能及时与作者取得联系,或有版权异议的,请联系管理员,我们会立即处理! 部分文章是来自自研大数据AI进行生成,内容摘自(百度百科,百度知道,头条百科,中国民法典,刑法,牛津词典,新华词典,汉语词典,国家院校,科普平台)等数据,内容仅供学习参考,不准确地方联系删除处理!;
工作时间:8:00-18:00
客服电话
电子邮件
beimuxi@protonmail.com
扫码二维码
获取最新动态
