哈喽哈喽大家猴,我是把代码写成bug的大头菜。公众号:大头菜技术(bigheadit)。原创不易,但欢迎转载。
前言
有网友指出《面试Java——集合之HashMap和ConcurrentHashMap》一文,关于为什么是8,还可以加一句符合泊松分布。于是我了解一下泊松分布后,确实和网友说的一致,同时非常感谢网友指出文章存在的瑕疵。接下来的内容,大头菜将试图用泊松分布来论证HashMap的链表变树的阈值为什么是8。
泊松分布
首先,什么是泊松分布?
维基百科官方解释:
泊松分布(法语:loi de Poisson,英语:Poisson distribution)又称Poisson分布、帕松分布、布瓦松分布、布阿松分布、普阿松分布、波以松分布、卜氏分布、帕松小数法则(Poisson law of small numbers),是一种统计与概率学里常见到的离散概率分布,由法国数学家西莫恩·德尼·泊松在1838年时发表。泊松分布适合于描述单位时间内随机事件发生的次数的概率分布。如某一服务设施在一定时间内受到的服务请求的次数,电话交换机接到呼叫的次数、汽车站台的候客人数、机器出现的故障数、自然灾害发生的次数、DNA序列的变异数、放射性原子核的衰变数、激光的光子数分布等等。
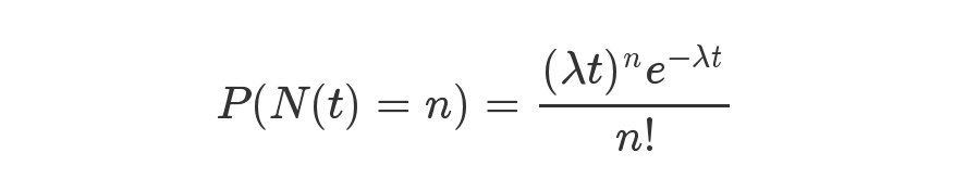
泊松分布的概率质量函数为:
我总结一下,简单点来说:泊松分布就是描述单位时间内,独立事件发生的次数。
简单举个例子,让大家熟悉一下:
比如:某医院平均每小时出生3个婴儿,请问下一个小时,会出生几个?
有可能出生6个,也有可能一个都不出生,这是我们没法知道的。
如果尝试用泊松分布来表示:等号的左边,P 表示概率,N表示某种函数关系,t 表示时间,n 表示数量,1小时内出生3个婴儿的概率,就表示为 P(N(1) = 3) 。等号的右边,λ 表示事件的频率。
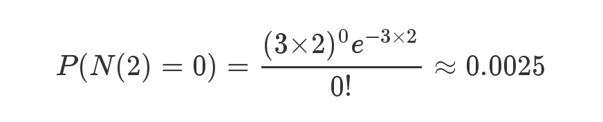
接下来两个小时,一个婴儿都不出生的概率是0.25%,基本不可能发生。
接下来一个小时,至少出生两个婴儿的概率是80%。
泊松分布的图形大概是下面的样子。
可以看到,在频率附近,事件的发生概率最高,然后向两边对称下降,即变得越大和越小都不太可能。每小时出生3个婴儿,这是最可能的结果,出生得越多或越少,就越不可能。
看完例子后,你应该对泊松分布有一个大概的认识了。接下来,我们尝试使用泊松分布去分析HashMap的链表变树。
HashMap的链表变树阈值为什么是8
根据泊松分布:单位时间内,独立事件发生的次数。
HashMap的key碰撞问题,每次key的碰撞,都可以认为是一次独立事件。与上次或下次是否发生key碰撞,都无关系。
因此,用泊松分布尝试表示:P 表示概率,N表示某种函数关系,t 表示时间,n 表示数量,每1秒key发送碰撞的次数为k,就表示为 P(N(1) = k) 。等号的右边,λ 表示事件的频率。关于一个key是否发生碰撞的概率为0.5。
e^-0.5 = 0.6065
把相应数值代入泊松分布公式:
P(N(1)=k) = 0.6065*(0.5^k)/k!
当k=0时,P= 0.6065当k=1时,p= 0.3032当k=2时,p= 0.0758当k=3时,p= 0.0126当k=4时,p= 0.0015当k=5时,p= 0.0001当k=6时,p= 0.000013当k=7时,p= 0.0000009当k=8时,p= 0.00000006当k=9时,p= 0.000000003有没有发现上述的结果有点熟悉:
对比一下HashMap的注释:
*0:0.60653066 *1:0.30326533 *2:0.07581633 *3:0.01263606 *4:0.00157952 *5:0.00015795 *6:0.00001316 *7:0.00000094 *8:0.00000006 *more:lessthan1intenmillion当k=9时,也就是发生的碰撞次数为9次时,概率为亿分之三,碰撞的概率已经无限接近为0。
如果设置为9,意味着,几乎永远都不会再次发生碰撞,换句话说,链表的长度此时为8,要发生碰撞才会从链表变树。但永远都不会变树,因为概率太小了。因此设置为9,实在没必要。
这就是链表变树的阈值为8的原因。
参考资料
维基百科阮一峰的网络日志——《泊松分布和指数分布:10分钟教程》絮叨
非常感谢你能看到这里,如果觉得文章写得不错 求关注 求点赞 求分享 (对我非常非常有用)。如果你觉得文章有待提高,我十分期待你对我的建议,求留言。如果你希望看到什么内容,我十分期待你的留言。各位的捧场和支持,是我创作的最大动力!
版权声明:我们致力于保护作者版权,注重分享,被刊用文章【泊松分布证明(用泊松分布来解释为什么HashMap的链表变树的阈值是8)】因无法核实真实出处,未能及时与作者取得联系,或有版权异议的,请联系管理员,我们会立即处理! 部分文章是来自自研大数据AI进行生成,内容摘自(百度百科,百度知道,头条百科,中国民法典,刑法,牛津词典,新华词典,汉语词典,国家院校,科普平台)等数据,内容仅供学习参考,不准确地方联系删除处理!;
工作时间:8:00-18:00
客服电话
电子邮件
beimuxi@protonmail.com
扫码二维码
获取最新动态
