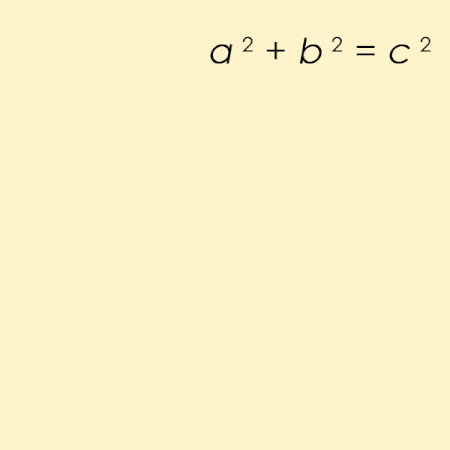
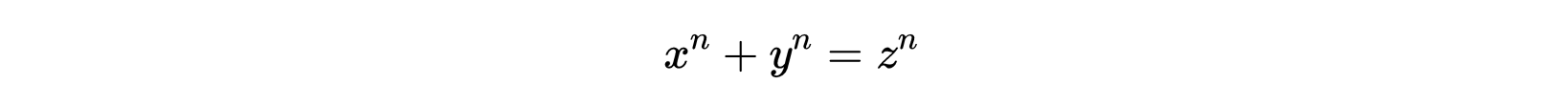
费马大定理(FLT)指出没有正整数x,y和z满足以下丢番图方程:
对于任意的n:
式中,Z为整数集合。1637年,法国律师、数学家皮埃尔·德·费马(Pierre de Fermat)在一本《算术》(arithtica)的页边空白处提出了这个猜想。《算术》是公元3世纪亚历山大的丢番图(Diophantus)撰写的一部古希腊数学著作。
据说,费马证明出了费马大定理,但证明过程太长,书页的空白处放不下。英国数学家安德鲁·怀尔斯(Andrew Wiles)在费马大定理提出的350多年之后,于1995年首次成功地证明了这个猜想。
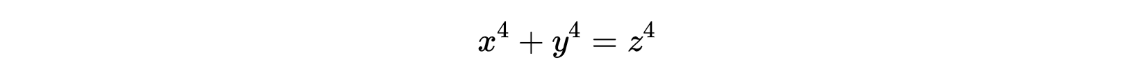
我们将证明n=4的情况,它是最简单的。然而,在此之前,我们需要证明以下关于勾股定理的更简单的辅助定理。
辅助定理
所有符合勾股定理的三元组:
由下式给出:
其中:
其中u和v是奇数,N是自然数的集合。注意,x和y是可以交换的。因为,如果(x, y, z)是一个解,那么(y, x, z)也是。
证明如下。
第1部分
首先,证明式4中的三元组满足式3是很简单的。只需将前者代入后者,经过几行代数运算,我们就得到了想要的结果。
第2部分
我们现在要证明所有满足式3的三元组都由式4给出。我们首先假定(x, y, z)是一个本原三元组,这意味着它们没有公因数,而y是偶数。这意味着y^2的两个因子:
如果没有公因式,每个公因式都是一个平方数,我们称之为u^2和v^2。因此:
这就结束了辅助定理的证明。在最后证明之前,我们还需要一个更重要的概念:无限下降法。
数学插曲:用无限下降法证明
根据维基百科“无限下降法证明是反证法”,用来表示一个命题不能适用于任何数,通过证明如果这个语句适用于一个数字,那么同样的道理也适用于更小的数字,导致无限下降,最终产生矛盾。
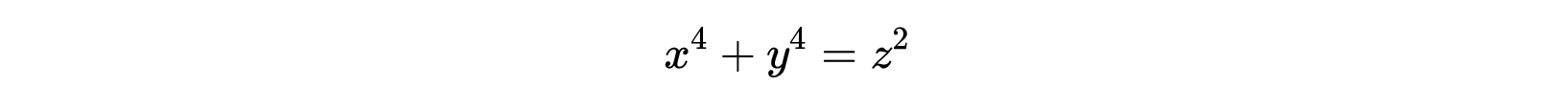
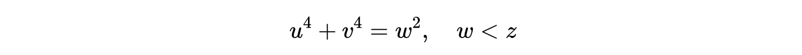
我们现在准备解决n=4的特殊情况下的费马大定理。
根据费马大定理的n=4的情况,不存在互质的三元组(x, y, z)∈N^3,使得:
运用上述的无限下降法,我们首先证明存在三元组(x, y, z)符合以下条件:
意味着存在着另一个三元组,满足:
由辅助定理可知,存在这样的相对素数:
现在请注意,三元组(n, y, m)是互质的勾股数,因为:
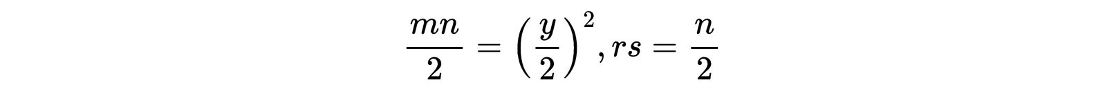
因此,引入新的相对素数:
既然(m, n/2)和(r, s)是相对素数对:
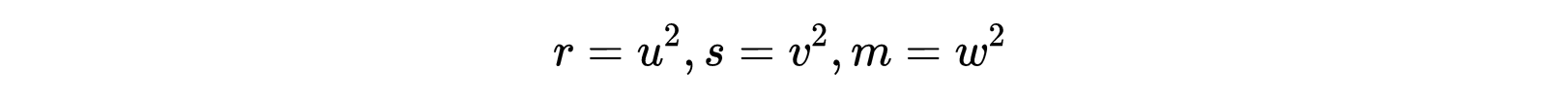
我们得出m,n/2,r和s都是平方数。因此,我们可以这样写:
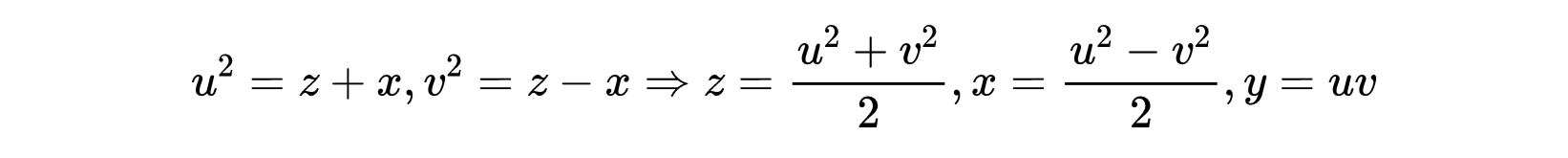
那么式11中的第三个元素就给了我们:
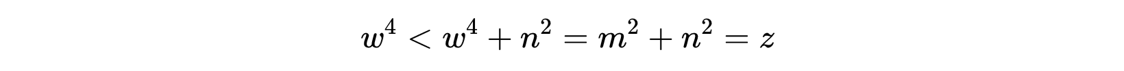
但我们知道,通过构造:
这个过程的重复将会给我们无穷多个解,并且每个解都有一个新的w小于前一个w。因此,使用无限下降的方法我们得出了证明。
想了解更多精彩内容,快来关注老胡说科学
版权声明:我们致力于保护作者版权,注重分享,被刊用文章【费马原理的证明(费马大定理的证明)】因无法核实真实出处,未能及时与作者取得联系,或有版权异议的,请联系管理员,我们会立即处理! 部分文章是来自自研大数据AI进行生成,内容摘自(百度百科,百度知道,头条百科,中国民法典,刑法,牛津词典,新华词典,汉语词典,国家院校,科普平台)等数据,内容仅供学习参考,不准确地方联系删除处理!;
工作时间:8:00-18:00
客服电话
电子邮件
beimuxi@protonmail.com
扫码二维码
获取最新动态
