这是1=0.999...系列文章的第三篇,本篇是把上一篇中讨论一个典型错误后面的证明内容单独放到这里,方便大家阅读。
同时还增加了一节根据物理学知识的推理。
那么如何证明0.999...=1,或者0.3333...=1/3呢?
初等数学的证明就不用了,这里引用几个极其简单,但不是那么严谨的证明。
首先,0.333...是序列{0.3, 0.33,0.333,...}的极限,或者
0.999...是序列{0.9, 0.99,0.999,...}的极限
其次1是0.333...x3的极限,或者0.999...的极限。
根据极限的唯一性,所以1=0.999...
同济大学版高等数学上册
假设1≠0.999...之间还有其他的数,那么1与0.999...的差必然是0.0000...01
但是因为减数有无限多位9,所以差里也必然有无限多个0,0.000...,无穷多个0,永远没有机会写最后的1,所以这个差只能是0
这里估计很多人看了会觉得别扭,反直觉,这是因为实数相等的判定和日常,7=7这样整数判定方式不同,因为实数是稠密的,完备的,连续的。
实数轴是没有空隙,任意两个确定的实数的关系要么是大于,小于,要么等于,没有其他。两个不相等的实数中间必然还有其他实数,而如果两个实数之间没有其它实数了,则他们必然相等。
两个实数相等的判定,不是“数轴上它们都是第102个点,所以相等”这样的方式,因为实数是稠密的,连续的,完备的,而是:
你可以想象它们的差是任意一个很小很小很小的正数,注意是任意的。然而不管这个差有多小,如果都还能再找到一个确定的位数N,它们在比较到这个第N位时达到了你给定的这个小差,然后,我都能告诉你,如果继续接着算到第N位以后,这两个实数的差比你任意给的那个小差还要小,如果这个小差不管取什么值都是这样的结果,那这两个实数就相等。
简单说就是,不管你觉得它们的差有多小(确定的有限),我都能告诉你实际比你想的还要小(因为是无限)。
所以,事实并不是如和很多人所想“因为无限接近,它们就肯定不能相等”,这样朴素的直观感觉,而是有严格逻辑的。而这正是数学无穷小危机已经解决了的问题。
其实无限接近并不是没达到,而是已经严格相等了(见上面的解释),否则如果达不到的话,阿基里斯就永远追不上乌龟了,而事实是在有限的时间内乌龟就被追上了,当然你还可以搬出普朗克,说空间是不连续的,然而实数相等的定义也解决了这个追乌龟问题,文章下面一节会提到一个根据物理知识的推理,讨论一下物理世界里1如何等于0.999...。
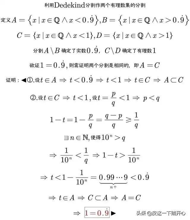
引用网友的证明
现代物理学认为空间和时间都不是无限可分的,不是连续的,而是存在最小的长度,即普朗克长度(数量级为10的-35次方),和最短的时间间隔,即普朗克时间(数量级为10的-43次方)。
假定1≠0.999...
在纸上画出一段表示数轴的线段,然后放大0.999...与1之间的差,当你放大到第35个9与1的差之后,就会发现,表示数轴的那段空间已经不能再细分了,这个时候这段空间0.999...已经和1重和在一起,成为一个点了。这个时候在现实中1与0.999...已经相等了然后不看空间而再回到数轴上,既然现实不能用了,还能利用头脑中抽象的思维:数学概念里,空间是连续的,表示实数轴的那条线是连续的,在这条线上你还可以继续放大和细分下去。从第36个9开始,表示1和0.999.的差就已经在现实里不存在了,而数学上的差比这个“不存在”还要小,而且还能比这个还要小,其他任意还小得多。这个思路其实与前面实数相等的判断是一致的,甚至可以说是一个具体的例子,估计很多人可能没想到这个任意小来的这么快,1-0.999...的差,只数了35个9就遇到现实了这堵高墙。我知道,无论怎么讲解,还是会有很多人会一直坚信1与0.999...就是不相等,在下一篇文章里,我会来个简单粗暴的:
直接告诉你教材里是如何白纸黑字写着1就是0.999...
版权声明:我们致力于保护作者版权,注重分享,被刊用文章【数学证明(1)】因无法核实真实出处,未能及时与作者取得联系,或有版权异议的,请联系管理员,我们会立即处理! 部分文章是来自自研大数据AI进行生成,内容摘自(百度百科,百度知道,头条百科,中国民法典,刑法,牛津词典,新华词典,汉语词典,国家院校,科普平台)等数据,内容仅供学习参考,不准确地方联系删除处理!;
工作时间:8:00-18:00
客服电话
电子邮件
beimuxi@protonmail.com
扫码二维码
获取最新动态
