作者 | 小白(遇见数学翻译组核心成员)
证明是一种逻辑论证,它可以毫无疑问地确定某件事或某句话是真实成立的。数学家是如何着手证明自己的论点的呢?他们又是为什么如此热衷于证明呢?
▲ 几何原本中有许多证明的技巧,上图是俄克喜林库斯29号莎草纸《几何原本》卷2关于命题5的证明
证明的方式有什么?
在日常生活中,当我们使用理性分析时,我们通常会使用两种形式的推理:归纳推理和演绎推理。
归纳推理(Inductive Reasoning)会利用我们看到过的东西中归纳出一个一般性的结论。
例如,如果你见过的所有羊都是白色的,就可能会得出结论,所有的羊都是白色的。
这种形式的推理非常有用,科学家们以类似的方式,根据他们所做的观察来形成他们的理论。
但这种推理并非无懈可击的,因为能否肯定见过宇宙中的每一只羊了吗?所以永远不能确定有没有一只黑色的羊藏在某个尚未看到的地方,所以不能确定这个结论是绝对的真理。
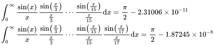
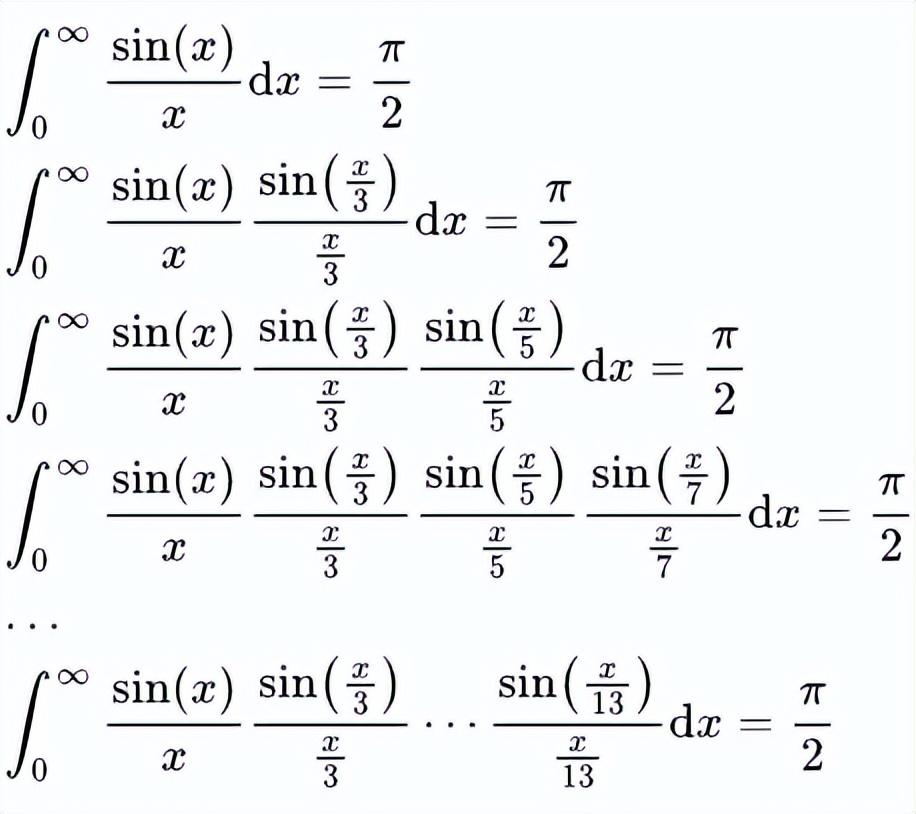
比如,再来看数学中的一个有意思的例子:
或许根据上面这些示例,能否宣称找到了某种模式,归纳出了这积分的公式了吗?先等一等,再往后算两个月看看:
积分的结果已经发生了变化,所以这样在使用归纳推理,新的证据出现时,就必须修改结论。
另一种推理被称为演绎推理(Deductive Reasoning),它与归纳推理的证明手法截然不同。从一个正确的概括性陈述开始,然后对一个具体的案例得出结论。
例如,你知道这样的事实,所有的羊都喜欢吃草,并且知道站在面前的就是一只羊,那么你肯定也知道这只也喜欢吃草。
这种形式的推理是无懈可击的。只有当前提是错误的(错误地认为所有的羊都喜欢草),或者你的观察是错误的(正在观察的动物并不是羊),它才会出错。但如果这两件事都是正确的,而你的结论推理自你的前提,那么它在任何地方都是正确的,并且恒为真。
关于公理
演绎推理在数学中的重要性在古希腊时期就为人们所知,被誉为“几何学之父”的欧几里德提出了5个公理(公设),他认为这些陈述显然是正确的,不需要进一步的证明。
在欧几里得的数学世界中,他从这些选定的公理出发,严谨地推导证明出更多定理、不断拓展概念,将公元前七世纪以来希腊几何积累起来的丰富成果,整理在严密的逻辑系统运算之中,使几何学成为一门独立的、演绎的科学。
书中里面的一些定理,如勾股定理在任何地方都是正确的,这就是数学基于演绎推理的原因。证明是从你确信为真的命题中推导出要证明的命题的论据。
其中包括第 5 条公理又称为平行公设,它并不像前面四条公理那么简单明了,等价这个说法:三角形内角加起来等于 180°。这样的话,如果给你一个三角形中的两个角的大小,就可以利用一个平面中三角形内角和等于 180° 这一事实推断出第三个角的大小。
欧几里得认为任何其他关于几何的陈述,例如勾股定理,都应该通过演绎推理从5个公理中推导出来。他所作《几何原本》就是基于这种推理,也因如此,成为了有史以来最有影响力和最成功的书籍之一,在逻辑与现代科学发展进程中发挥了重要的作用。
但当然,你仍然需要非常小心地使用演绎推理,因为错误很容易溜进去。要确定结论是正确的,需要确保你的一般假设是正确的,并且您已经正确地使用了它们。
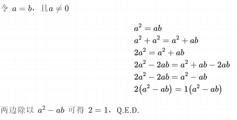
一个无效证明示例:
例如,上面的那个无效证明只使用了关于如何处理方程的基本假设,但所得结论是 。你能找出其中的问题所在吗?
除以零的错误。
我们需要证明吗?
为什么数学家坚持要证明这一切呢?
比如,在法庭审判过程里,如果证据足够多,法官就很笃定给嫌疑人敲锤定罪,宣判其罪行已经被证明是“无可辩驳的”。但冤案不是没有发生过,正义也迟来。
不过令人欣慰的是,数学也许是唯一可以绝对确定的领域,这就是为什么数学家如此重视证明的原因。此外,如果数学家不坚持证明的话,错误可能会悄悄出现,而问题很难被发现。
上面提到,欧几里德第5公理相当于说所有三角形的内角之和是 180° ——他认为平行公理是如此明显,而无需证明,人们应该自然地接受它。
然而,在他之后的许多数学家们认为他们可以做得更好,试图从欧几里得前面 4 各种公理中推导出平行公理,这样仅用 4 个公理就能建构出整个庞大的几何学体系。
数学家们为这一目标奋斗了几百年。在 19 世纪,它甚至成了一种给数学家下的魔咒,以至于匈牙利数学家鲍耶·法尔科斯(Farkas Bolyai)在挑战该问题失败后,觉得有必要严肃警告他的儿子鲍耶·亚诺什(Bolyai János)一定要远离它,别搭上自己大好的时光:
“看在上帝的份上,我恳求你放弃它。对它的恐惧丝毫不亚于感官上的激情,因为它也可能占用你所有的时间,剥夺你的健康、心灵的安宁和生活的幸福。”
▲ 椭圆几何、欧氏几何和双曲几何比较(图自维基@Cmglee作品)
鲍耶·亚诺什还在坚持尝试,毫无疑问和其他人一样,也遭受到了失败的打击。但与他人不同,他由此怀疑平行公设并非总是正确的。只有当你在平面上画三角形时,它才能起作用。而如果把它画在一个球体上,比方说画在一个橙子上,内部角度加起来就超过 180°。在试图证明 180° 这一结果的过程中,数学家(包括亚诺什)偶然发现了另一个非常奇怪的曲面,称为双曲平面,在这个曲面上,三角形的角度加起来不到 180°。
双曲平面很抽象,但它类似于一片甘蓝叶,随着你向边缘移动,它会变得越来越皱。
虽然我们在日常生活中不会遇到这种奇怪的表面,但它是非常重要的。爱因斯坦的狭义相对论就是用双曲线几何表述的。狭义相对论诞生了广义相对论,没有广义相对论,现代的卫星导航设备和具有 GPS 功能的手机都将无法工作。
数学证明还需要人类来做吗?
数学家常常引以为豪的是,他们的研究只需要一支笔和一张纸就可以了。
但近几十年来,这种情况已经开始改变:计算机进入了数学领域,并引发了许多争论。这场争论与使用计算器或计算机进行奇怪的计算无关。数学家使用这些设备让他们的研究变得更容易,就像其他人一样。但这却让那些完全依赖于计算机的证明是否可信产生了新的争议。
有两种方式可以实现计算机证明:计算机辅助证明与自动化定理证明。
在计算机辅助证明(computer assisted proofs)里,计算机被用来执行大量的步骤,这些步骤是个人不可能在有限时间内完成的。1976年,数学家凯尼斯·阿佩尔和沃夫冈·哈肯借助电子计算机首次完成四色定理的证明,这是计算机辅助证明的经典例子。证明的方法是将地图上的无限种可能情况减少为1936种状态,并由计算机对每个可能的情况进行验证。
当然,证明本身的逻辑仍然来自人类,但如果没人能够检查计算机处理过的所有计算,就不能百分之百确定证据中没有错误,所以有些数学家会认为这样的证明是无效的,仍努力寻找不借助计算机来完成证明。
近年来,计算机科学家还开发了自动化定理证明(Automated theorem proving,ATP)的计算机程序,它可以使用逻辑规则从一些基本前提推导出结果,从而证明它。到目前为止,ATP 仍然需要大量的人力投入才能正常工作,但可以想象,在未来,它们将变得更加强大。它们能否取代人类还有待观察,这是一个被激烈辩论的话题。
版权声明:我们致力于保护作者版权,注重分享,被刊用文章【数学证明(数学家为什么需要证明)】因无法核实真实出处,未能及时与作者取得联系,或有版权异议的,请联系管理员,我们会立即处理! 部分文章是来自自研大数据AI进行生成,内容摘自(百度百科,百度知道,头条百科,中国民法典,刑法,牛津词典,新华词典,汉语词典,国家院校,科普平台)等数据,内容仅供学习参考,不准确地方联系删除处理!;
工作时间:8:00-18:00
客服电话
电子邮件
beimuxi@protonmail.com
扫码二维码
获取最新动态
