(1)了解定积分的实际背景,了解定积分的基本思想,了解定积分的概念.
(2)了解微积分基本定理的含义.
一、定积分
1.曲边梯形的面积
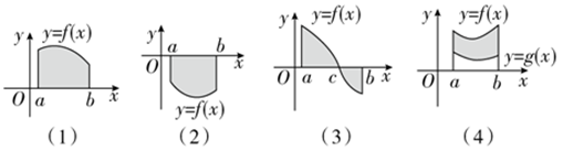
(1)曲边梯形:由直线x=a、x=b(a≠b)、y=0和曲线 y=f(x)所围成的图形称为曲边梯形(如图①).
(2)求曲边梯形面积的方法与步骤:
①分割:把区间[a,b]分成许多小区间,进而把曲边梯形拆分为一些小曲边梯形(如图②);
②近似代替:对每个小曲边梯形“以值代曲”,即用矩形的面积近似代替小曲边梯形的面积,得到每个小曲边梯形面积的近似值(如图②);
③求和:把以近似代替得到的每个小曲边梯形面积的近似值求和;
④取极限:当小曲边梯形的个数趋向无穷时,各小曲边梯形的面积之和趋向一个定值,即为曲边梯形的面积.
2.求变速直线运动的路程
如果物体做变速直线运动,速度函数为v=v(t),那么也可以采用分割、近似代替、求和、取极限的方法,求出它在a≤t≤b内所作的位移s.
3.定积分的定义和相关概念
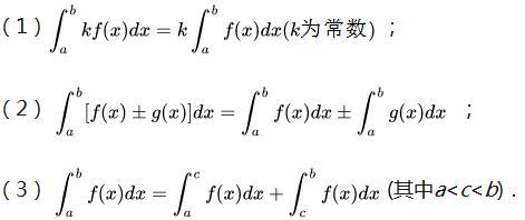
4.定积分的性质
【注】定积分的性质(3)称为定积分对积分区间的可加性,其几何意义是曲边梯形ABCD的面积等于曲边梯形AEFD与曲边梯形EBCF的面积的和.
5.定积分的几何意义
6.定积分与曲边梯形的面积的关系(常用结论)
定积分的概念是从曲边梯形面积引入的,但是定积分并不一定就是曲边梯形的面积.这要结合具体图形来确定:
设阴影部分面积为S,则
7.定积分的物理意义
二、微积分基本定理
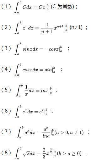
【注】常见的原函数与被积函数的关系
考向一 定积分的计算
1.求定积分的三种方法
(1)利用定义求定积分(定义法),可操作性不强;
(2)利用微积分基本定理求定积分;
2.用牛顿—莱布尼茨公式求定积分的步骤
(1)把被积函数变形为幂函数、正弦函数、余弦函数、指数函数与常数的积的和或差;
(2)把定积分用定积分性质变形为求被积函数为上述函数的定积分;
(3)分别用求导公式找到一个相应的原函数;
(4)利用牛顿—莱布尼茨公式求出各个定积分的值;
(5)计算原始定积分的值.
3.分段函数的定积分
分段函数求定积分,可先把每一段函数的定积分求出后再相加.
4.奇偶函数的定积分
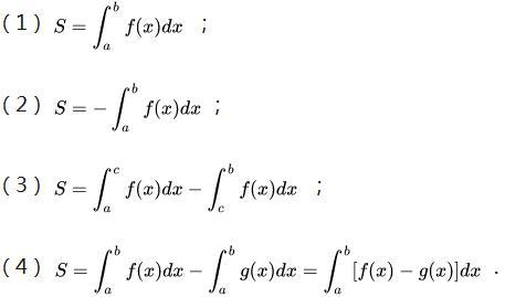
考向二 利用定积分求平面图形的面积
利用定积分求平面图形面积问题的常见类型及解题策略
(1)利用定积分求平面图形面积的步骤
①根据题意画出图形;
②借助图形确定出被积函数,求出交点坐标,确定积分的上、下限;
③把曲边梯形的面积表示成若干个定积分的和;
④计算定积分,写出答案.
(2)知图形的面积求参数
求解此类题的突破口:画图,一般是先画出它的草图;然后确定积分的上、下限,确定被积函数,由定积分求出其面积,再由已知条件可找到关于参数的方程,从而可求出参数的值.
(3)与概率相交汇问题
解决此类问题应先利用定积分求出相应平面图形的面积,再用相应概率公式进行计算.
考向三 定积分的物理意义
利用定积分解决变速直线运动与变力做功问题
利用定积分解决变速直线运动问题和变力做功问题时,关键是求出物体做变速直线运动的速度函数和变力与位移之间的函数关系,确定好积分区间,得到积分表达式,再利用微积分基本定理计算即得所求.
【名师点睛】
1、定积分的计算一般有三个方法:
①利用微积分基本定理求原函数;
②利用定积分的几何意义,即利用面积求定积分;
③利用奇偶性、对称性求定积分,如奇函数在对称区间的定积分值为0.
2、由函数图象或曲线围成的曲边图形面积的计算及应用,一般转化为定积分的计算及应用, 但一定要找准积分上限、下限及被积函数,且当图形的边界不同时,要讨论解决.具体步骤如下:
(1)画出图形,确定图形范围;
(2)解方程组求出图形交点坐标,确定积分上、下限;
(3)确定被积函数,注意分清函数图形的上、下位置;
(4)计算定积分,求出平面图形的面积.
3.由函数求其定积分,能用公式的利用公式计算,有些特殊函数可根据其几何意义,求出其围成的几何图形的面积,即其定积分.
版权声明:我们致力于保护作者版权,注重分享,被刊用文章【定积分的性质证明(高考考纲与考向分析)】因无法核实真实出处,未能及时与作者取得联系,或有版权异议的,请联系管理员,我们会立即处理! 部分文章是来自自研大数据AI进行生成,内容摘自(百度百科,百度知道,头条百科,中国民法典,刑法,牛津词典,新华词典,汉语词典,国家院校,科普平台)等数据,内容仅供学习参考,不准确地方联系删除处理!;
工作时间:8:00-18:00
客服电话
电子邮件
beimuxi@protonmail.com
扫码二维码
获取最新动态
