一 、f(x)在 x0 处的导数(或变化率):
图(1)
① 瞬时速度:
瞬时速度图
② 瞬时加速度
瞬时加速度图
二、 函数 y = f(x)在点 x0 处的导数的几何意义:
函数 y = f(x)在点 x0 处的导数是曲线 y = f(x)在点 P(x0 , f(x0)) 处的切线的斜率 f '(x0);
相应的切线方程是: y - y0 = f '(x0)(x - x0)。
三、几种常见函数的导数:
① C' = 0 (C 为常数);
② 幂函数
幂函数求导公式图
③ 三角函数
正弦和余弦函数求导公式图
④ 指数函数
指数函数求导公式图
⑤ 对数函数
对数函数求导公式图
四、导数的运算法则:
导数的运算法则图
五、复合函数的导数:
复合函数求导公式图
六、导数在函数中的应用:
① 函数 y = f(x)在区间 (a , b)的单调性与导数
单调性图
② 判别 f (x0)是极大(小)值的方法:
当函数 f(x)在点 x0 处连续时,
(1)如果在 x0 附近的左侧 f '(x0)> 0 ,右侧 f '(x0)< 0,则 f (x0)是极大值;
(2)如果在 x0 附近的左侧 f '(x0)< 0,右侧 f '(x0)> 0,则 f (x0) 是极小值 。
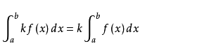
七、定积分的性质:
①
定积分的性质图(1)
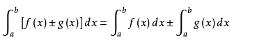
②
定积分的性质图(2)
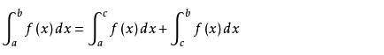
③
定积分的性质图(3)
④ 如果在闭区间 [a,b] 上,f(x) ≥0 , 则
定积分的性质图(4)
八、微积分基本定理:
如果函数 f(x) 是闭区间 [a,b] 上的连续函数,并且有 F′(x) = f(x),那么有
微积分基本定理图
九、定积分的几何意义:
由连续曲线 y = f(x)( f(x)≥ 0 )和 x = a , x = b 及 y = 0 围成的平面图形 AabB 称为曲边梯形,如下图所示:
定积分的几何意义图(1)
① 若 f(x)≤ 0 (如下图所示)则曲边梯形的面积为
定积分的几何意义图(2)
② 把由直线 y = c,y = d (c < d )及两条连续曲线 x = g1(y),x = g2(y) ( g1(y) ≤ g2(y)) 所围成的平面图形称为Y-型图形。
定积分几何意义图(3)
图中阴影部分的面积:
求图中阴影部分面积公式图(1)
③ 由连续曲线 y = f1(x), y = f2(x)和 直线 x = a , x = b 围成的图形的面积 。
定积分几何意义图(3)
图中阴影部分的面积:
求图中阴影部分面积公式图(2)
十、定积分在物理上的应用
① 变速 v = v(t)(t ≥ 0) 时间在 [ a , b ] 段 ,路程
定积分在物理上的应用图(1)
② 变力 F = F(x), 物体沿力的方向从 a 移动到 b ,做功
定积分在物理上的应用图(2)
版权声明:我们致力于保护作者版权,注重分享,被刊用文章【定积分的性质证明(高中数学导数及定积分总结)】因无法核实真实出处,未能及时与作者取得联系,或有版权异议的,请联系管理员,我们会立即处理! 部分文章是来自自研大数据AI进行生成,内容摘自(百度百科,百度知道,头条百科,中国民法典,刑法,牛津词典,新华词典,汉语词典,国家院校,科普平台)等数据,内容仅供学习参考,不准确地方联系删除处理!;
工作时间:8:00-18:00
客服电话
电子邮件
beimuxi@protonmail.com
扫码二维码
获取最新动态
