微积分基本定理也称为牛顿-莱布尼兹公式(Newton-Leibniz formula),把一个函数的导数与其积分联系到了一起。
这个定理可以表述为两个部分。
第一部分:导数与定积分互为逆运算
第二部分:用反导数计算定积分
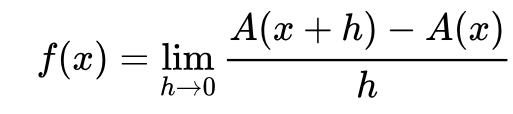
对于图为曲线的连续函数y=f(x),x的每个值都有一个对应的面积函数A(x),表示曲线下面0到x之间的面积。
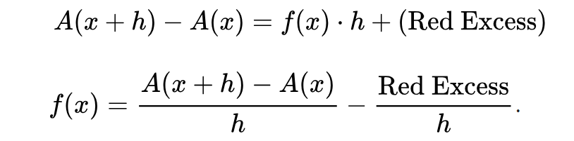
在x和x+h之间的曲线下面积可以通过找到0和x+h之间的面积,然后减去0和x之间的面积来计算,换句话说,这个“红色带”的面积将是A(x+h)-A(x)。
还有另一种方法来估计同一条“红色带”的面积。如上图所示,h*f(x)是矩形的面积,该矩形的面积与此条“红色带”的大小大致相同:
如果加上右上角红色曲线三角部分Excess,则可以准确表述为:
推导出:
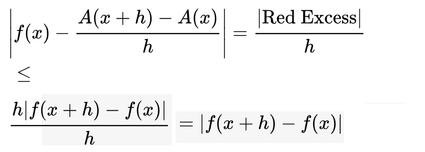
h|f(x+h)-f(x)|为右上角小长方形的面积。|Red Excess|<=小长方形面积
也就是:
当h→0上,上式右值→0,相应的左值→0。所以有
也就是f(x) = A′(x)
3.1 准备知识
3.1.1 介值定理
介值定理,又名中间值定理,是闭区间上连续函数的性质之一。在数学分析中,介值定理表明,如果定义域为[a,b]的连续函数f,那么在区间内的某个点,它可以在f(a)和f(b)之间取任何值,也就是说,介值定理是在连续函数的一个区间内的函数值肯定介于最大值和最小值之间。
3.1.2 积分估值定理
3.1.3 积分中值定理
积分中值定理的几何解释:
3.2 公式推导导数与定积分互为逆运算
推导微积分基本定理的第二部分:
-End-
版权声明:我们致力于保护作者版权,注重分享,被刊用文章【定积分的性质证明(微积分基本定理)】因无法核实真实出处,未能及时与作者取得联系,或有版权异议的,请联系管理员,我们会立即处理! 部分文章是来自自研大数据AI进行生成,内容摘自(百度百科,百度知道,头条百科,中国民法典,刑法,牛津词典,新华词典,汉语词典,国家院校,科普平台)等数据,内容仅供学习参考,不准确地方联系删除处理!;
工作时间:8:00-18:00
客服电话
电子邮件
beimuxi@protonmail.com
扫码二维码
获取最新动态
